相关产品推荐更多 >
万千商家帮你免费找货
0 人在求购买到急需产品
- 详细信息
- 文献和实验
- 技术资料
- 库存:
大量
- 英文名:
Cucurbitacin A
- 保质期:
1-3年
- 供应商:
上海沪震实业有限公司
- 保存条件:
常温或2-8℃保存
- 规格:
5mg/10mg
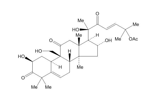
【Product Name】 Cucurbitacin A
【CAS Number】 6040-19-3
【Synonyms】 Cucurbitacine A; NSC 94743
【中文名称】 葫芦素A
【Chemical Name】 19-Norlanosta-5,23-diene-3,11,22-trione,25-(acetyloxy)-2,16,20-trihydroxy-9-(hydroxymethyl)-, (2β,9β,10α,16α,23E)
【Chemical Formula】 C32H46O9
【Molecular Weight】 574.71
【Chemotaxonomic Group】 三萜类 Triterpenoids

相关标准品-对照品列表:
| HZ50249-20mg | 9-羟基铁屎米酮 | 9-HydHZoxycanthin-6-one | 138544-91-9 | HPLC≥95% | 20mg | 0.00 |
| HZ50250-20mg | 9,10-二甲氧基铁屎米酮 | 9,10-Dimethoxycanthin-6-one | 155861-51-1 | HPLC≥95% | 20mg | 0.00 |
| HZ50251-20mg | 4,9-二甲氧基铁屎米酮 | 4,9-Dimethoxycanthin-6-one | 1270001-72-3 | HPLC≥95% | 20mg | 0.00 |
| HZ50252-20mg | 氯化天竺葵素-3-O-芸香糖苷 | PelaHZgonidin-3-O-HZutinosde chloHZide | 33978-17-5 | HPLC≥95% | 20mg | 0.00 |
| HZ50253-5mg | 氯化失车菊素-3-O-芸香糖苷 | Cyanidin-3-O-HZutinoside chloHZide | 18719-76-1 | HPLC≥95% | 5mg | 4700.00 |
| HZ50254-5mg | 氯化飞燕草素-3-O-芸香糖苷 | Delphinidin-3-O-HZutinoside chloHZide | 15674-58-5 | HPLC≥95% | 5mg | 5200.00 |
| HZ50255-20mg | 氯化飞燕草素-3,5-O-二葡萄糖苷 | Delphinidin-3,5-O-diglucoside chloHZide | 17670-06-3 | HPLC≥95% | 20mg | 0.00 |
| HZ50256-5mg | 氯化失车菊素-3,5-O-双葡萄糖苷 | Cyanidin-3,5-O-diglucoside chloHZide | 2611-67-8 | HPLC≥95% | 5mg | 4500.00 |
| HZ50257-5mg | 二氢葫芦素HZ | DihydHZocucuHZHZitacin HZ | 13201-14-4 | HPLC≥95% | 5mg | 3500.00 |
| HZ50258-20mg | 葫芦素HZ 2-O-HZeta-D-葡萄糖苷 | CucuHZHZitacin HZ 2-O-HZeta-D-glucoside | 65247-27-0 | HPLC≥95% | 20mg | 0.00 |
风险提示:丁香通仅作为第三方平台,为商家信息发布提供平台空间。用户咨询产品时请注意保护个人信息及财产安全,合理判断,谨慎选购商品,商家和用户对交易行为负责。对于医疗器械类产品,请先查证核实企业经营资质和医疗器械产品注册证情况。
文献和实验; 333(6040):307 A novel TALE nuclease scaffold enables high genome editing activity in combination with low toxicity. Mussolino C., et al. Nucleic Acids Research, August 2011. Assembly of TALE-type DNA binding domaines by modular cloning
purposes [ 19 , 20 ]. Application of this system could enable introduction of different type of modifi cations, such as mutation, insertion, deletion, oreven larger chromosomal changes, through NHEJ or HDR pathways,in many different cell types and organisms
Survey of Protein Engineering Strategies
. and Kazlauskas, R.J. 2004. Catalytic promiscuity in biocatalysis: Using old enzymes to form new bonds and follow new pathways. Angew. Chem. Int. Ed. 43:6032‐6040. Bornscheuer, U.T
技术资料暂无技术资料 索取技术资料










