相关产品推荐更多 >
万千商家帮你免费找货
0 人在求购买到急需产品
- 详细信息
- 技术资料
- 库存:
大量
- 英文名:
Ginsenoside Rk3
- 保质期:
1-3年
- 供应商:
上海沪震实业有限公司
- 保存条件:
常温或2-8℃保存
- 规格:
5mg/10mg/25mg
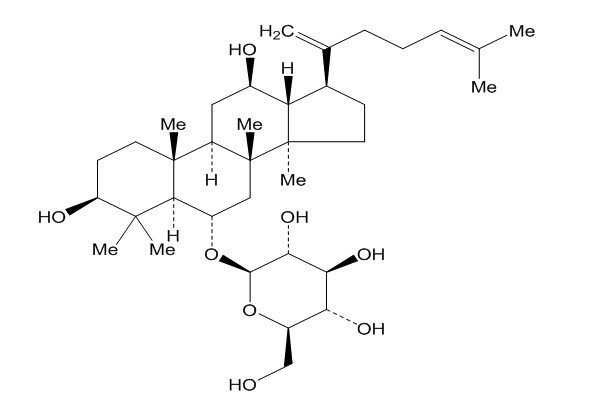
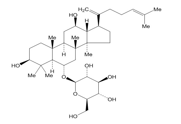
人参皂苷Rk3(364779-15-7)
【Product Name】 Ginsenoside Rk3
【CAS Number】 364779-15-7
【Synonyms】 3β,6α,12β-Trihydroxydammar-20(21),24-diene-6-O-β-D-glucopyranoside
【中文名称】 人参皂苷Rk3
【Chemical Name】 β-D-Glucopyranoside,(3β,6α,12β)-3,12-dihydroxydammara-20,24-dien-6-yl
【Chemical Formula】 C36H60O8
【Molecular Weight】 620.87
【Chemotaxonomic Group】 三萜类 Triterpenoids

相关标准品-对照品列表:
| HZ50033-20mg | 大花旋覆花素 | HZHZitannin | 33627-28-0 | HPLC≥98% | 20mg | 0.00 |
| HZ50034-20mg | 灵芝酸N | GanodeHZic acid N | 110241-19-5 | HPLC≥98% | 20mg | 0.00 |
| HZ50035-20mg | 灵芝酸Y | GanodeHZic acid Y | 86377-52-8 | HPLC≥98% | 20mg | 0.00 |
| HZ50036-5mg | 灵芝酸Z | GanodeHZic acid Z | 294674-09-2 | HPLC≥98% | 5mg | 5500.00 |
| HZ50037-20mg | 灵芝酸AM1 | GanodeHZic acid AM1 | 149507-55-1 | HPLC≥98% | 20mg | 0.00 |
| HZ50038-20mg | 灵芝酸LM2 | GanodeHZic acid LM2 | 508182-41-0 | HPLC≥98% | 20mg | 0.00 |
| HZ50039-5mg | 灵芝酸TN | GanodeHZic acid TN | 112430-64-5 | HPLC≥98% | 5mg | 6000.00 |
| HZ50040-20mg | 丹芝酸A | Ganolucidic acid A | 98665-21-5 | HPLC≥98% | 20mg | 0.00 |
| HZ50041-20mg | 灵芝烯酸F | GanodeHZenic acid F | 120462-47-7 | HPLC≥98% | 20mg | 0.00 |
| HZ50042-20mg | 灵芝烯酸H | GanodeHZenic acid H | 120462-48-8 | HPLC≥98% | 20mg | 0.00 |
风险提示:丁香通仅作为第三方平台,为商家信息发布提供平台空间。用户咨询产品时请注意保护个人信息及财产安全,合理判断,谨慎选购商品,商家和用户对交易行为负责。对于医疗器械类产品,请先查证核实企业经营资质和医疗器械产品注册证情况。
技术资料暂无技术资料 索取技术资料
人参皂苷Rk3(364779-15-7)
¥700 - 1600










