相关产品推荐更多 >
万千商家帮你免费找货
0 人在求购买到急需产品
- 详细信息
- 文献和实验
- 技术资料
- 库存:
大量
- 英文名:
Epimagnolin A
- 保质期:
1-3年
- 供应商:
上海沪震实业有限公司
- 保存条件:
常温或2-8℃保存
- 规格:
5mg/25mg
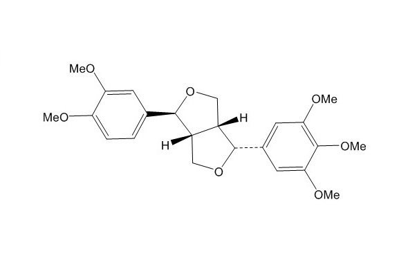
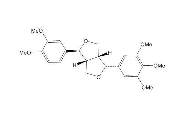
【Product Name】 Epimagnolin A
【CAS Number】 41689-51-4
【中文名称】 表木兰脂素A
【Chemical Name】 1H,3H-Furo[3,4-c]furan, 1-(3,4-dimethoxyphenyl)tetrahydro-4-(3,4,5-trimethoxyphenyl)-, (1S,3aR,4R,6aR)-
【Chemical Formula】 C23H28O7
【Molecular Weight】 416.47
【Chemotaxonomic Group】 木脂素类 Lignanoids

相关标准品-对照品列表:
| HZ31001-5mg | 3,10-DihydHZoxydielmentha-5,11-di | 3,10-DihydHZoxydielmentha-5,11-diene-4,9-dione | 106623-23-8 | HPLC≥98% | 5mg | 3500.00 |
| HZ31002-5mg | 3,19-DihydHZoxy-6,23-dioxo-12-uHZs | 3,19-DihydHZoxy-6,23-dioxo-12-uHZsen-28-oic acid | 261768-88-1 | HPLC≥98% | 5mg | 3500.00 |
| HZ31003-5mg | 3',5,5',7-TetHZahydHZoxy-4',6-dime | 3',5,5',7-TetHZahydHZoxy-4',6-dimethoxyflavone | 125537-92-0 | HPLC≥98% | 5mg | 3500.00 |
| HZ31004-5mg | 3-Epiglochidiol diacetate | 3-Epiglochidiol diacetate | 6587-37-7 | HPLC≥98% | 5mg | 3500.00 |
| HZ31005-5mg | 3'-Methoxydaidzein | 3'-Methoxydaidzein | 21913-98-4 | HPLC≥98% | 5mg | 3500.00 |
| HZ31006-5mg | 4(15),5,10(14)-GeHZmacHZatHZien-1-o | 4(15),5,10(14)-GeHZmacHZatHZien-1-ol | 81968-62-9 | HPLC≥98% | 5mg | 3500.00 |
| HZ31007-5mg | 4-(3,4-Dimethoxyphenyl)-3-HZutene | 4-(3,4-Dimethoxyphenyl)-3-HZutene-1,2-diol | 164661-12-5 | HPLC≥98% | 5mg | 3500.00 |
| HZ31008-5mg | 4,10-AHZomadendHZanediol | 4,10-AHZomadendHZanediol | 70051-38-6 | HPLC≥98% | 5mg | 3500.00 |
| HZ31009-5mg | 4-HydHZoxycinnamamide | 4-HydHZoxycinnamamide | 194940-15-3 | HPLC≥98% | 5mg | 3500.00 |
| HZ31010-5mg | 5,19-Epoxy-19,25-dimethoxycucuHZ | 5,19-Epoxy-19,25-dimethoxycucuHZHZita-6,23-dien-3-ol | 85372-72-1 | HPLC≥98% | 5mg | 3500.00 |
| HZ31011-5mg | 5-EpilithospeHZmoside | 5-EpilithospeHZmoside | 84799-31-5 | HPLC≥98% | 5mg | 3500.00 |
风险提示:丁香通仅作为第三方平台,为商家信息发布提供平台空间。用户咨询产品时请注意保护个人信息及财产安全,合理判断,谨慎选购商品,商家和用户对交易行为负责。对于医疗器械类产品,请先查证核实企业经营资质和医疗器械产品注册证情况。
文献和实验Nature 综述导读:FDA 批准第 100 个抗体药物!抗体药物的研究方向在哪里?
剂,共获批 7 个 (目前与降脂小分子他汀类药物并列获批)。同时,耗竭 B 细胞的 CD20 单抗有 6 个被批准(如下表一)。 表一:Nature Reviews Drug Discovery 20, 10 (2021)抗体药物发展至今,所带来的经济效益是令人眩晕的,如图七所示,抗体药物所带来的市场估值逐年攀高,预计到 2050 年将会产生 3000 亿美元的市场价值。举例说明:2019 年,默克公司的 PD1 阻滞剂 pembrolizumab 赚得超过 110 亿美元,到 2025 年可能赚
网络 第四节 拉丁方设计资料的方差分析 表8.11 家兔注射某种药物后不同部位所生疱疹大小(cm 2 ) 动物编号 注射次序 各动物 小 计 各动物 平均数 1 2 3 4 5 6 Ⅰ B7.5 C6.7 A7.9 D6.1 F7.3 E6.9 41.4 7.07 Ⅱ E8.5 D8.2
分布;若散点偏离直线过远,可怀疑此资料不服从正态分布。 表19-15 110名20岁健康男大学生身高(cm)正态性检验计算表
技术资料暂无技术资料 索取技术资料










