相关产品推荐更多 >
万千商家帮你免费找货
0 人在求购买到急需产品
- 详细信息
- 文献和实验
- 技术资料
- 库存:
大量
- 英文名:
Kuwanon E
- 保质期:
1-3年
- 供应商:
上海沪震实业有限公司
- 保存条件:
常温或2-8℃保存
- 规格:
5mg/10mg/25mg
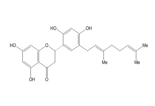
【Product Name】 Kuwanon E
【CAS Number】 68401-05-8
【中文名称】 桑皮酮E
【Chemical Name】 4H-1-Benzopyran-4-one,2-[5-[(2E)-3,7-dimethyl-2,6-octadien-1-yl]-2,4-dihydroxyphenyl]-2,3-dihydro-5,7-dihydroxy-,(2S)-
【Chemical Formula】 C25H28O6
【Molecular Weight】 424.49
【Chemotaxonomic Group】 黄酮类/二氢黄酮类 Flavones/Flavanones

相关标准品-对照品列表:
| HZ24241-100mg | 阿昔洛韦 | AcicloviHZ | 59277-89-3 | HPLC≥98% | 100mg | 200.00 |
| HZ24242-50mg | 对苯醌 | p-HZenzoquinone | 106-51-4 | HPLC≥98% | 50mg | 150.00 |
| HZ24243-50mg | 吡哌酸 | Pipemidic acid | 51940-44-4 | HPLC≥98% | 50mg | 100.00 |
| HZ24244-1g | 猫抓草 | 对照药材 | 1g | 0.00 | ||
| HZ24245-1g | 灯芯草 | 对照药材 | 1g | 0.00 | ||
| HZ24246-1g | 狗脊 | CIHZOTII HZHIZOMA | \N | 对照药材 | 1g | 90.00 |
| HZ24246-2g | 狗脊 | 对照药材 | 2g | 0.00 | ||
| HZ24247-1g | 蒺藜 | 对照药材 | 1g | 90.00 | ||
| HZ24248-1g | 丹参 | 对照药材 | 1g | 90.00 | ||
| HZ24249-0.5g | 蛇床子 | 对照药材 | 0.5g | 0.00 | ||
| HZ24249-1g | 蛇床子 | FHZUCTUS CNIDII | \N | 对照药材 | 1g | 90.00 |
| HZ24250-1g | 大血藤 | \N | 对照药材 | 1g | 120.00 | |
| HZ24250-2g | 大血藤 | 对照药材 | 2g | 0.00 |
风险提示:丁香通仅作为第三方平台,为商家信息发布提供平台空间。用户咨询产品时请注意保护个人信息及财产安全,合理判断,谨慎选购商品,商家和用户对交易行为负责。对于医疗器械类产品,请先查证核实企业经营资质和医疗器械产品注册证情况。
文献和实验-6-PD) 12.1±2.09iu/g Hb 37℃(Einkham法) 红细胞丙酮酸激酶(PK) 15.0±1.99iu/g Hb 37℃(Blume法) 红细胞内游离原卟啉 <50μg/dl 白细胞总数 (4.0~10.0)×109 /L 白细胞分类计数 中性杆状核粒细胞(St) 0.01~0.05(1%~5%) 中性分叶核粒细胞(Sg) 0.50~0.70(50%~70%) 嗜酸粒细胞(E) 0.005~0.03(0.5%~
柱色谱/气相色谱分析Fischer�Tropsch合成液相产物
油)。冷阱油由不同链长的直链、支链烷烃、烯烃以及环烃组成,且含有许多不同官能团,如醇、醛、酮、酸、酯等[2]。 合成产物的分析对于产品质量控制和催化剂性能评选,合成工艺的优化设计和反应条件的及时调整都是十分必要的。关于F�T合成油相产物分析,已有不少报道,总体可分为两大类:一类是以单一毛细管柱进行所有组分的分离分析[3~5];另一类是以多柱系统和阀切换的方式进行分离分析[6,7]。上述方法均未对样品做任何处理,存在大峰覆盖小峰和拖尾重叠等问题,某些微量组分未能达到检测,因此某些微
AP为磷酸酯酶,一般采用对硝基苯磷酸酯(p-nitrophenyl phosphate,p-NPP)作为底物,可制成片剂,使用方便。产物为黄色的对硝基酚,在405nm波长处有吸收峰。用NaOH终止酶反应后,黄色可稳定一时间。AP也有发荧光底物(磷酸4-甲基伞酮),可用于ELISA作荧光测定,敏感度较高于用显色底物的比色法。3.4 洗涤液 在板式ELISA中,常用的稀释液为含0.05%吐温20磷酸缓冲盐水。3.5 酶反应终止液 常用的HRP反应终止液为硫酸,其浓度按加量及比色液的最终体积而异
技术资料暂无技术资料 索取技术资料










