相关产品推荐更多 >
万千商家帮你免费找货
0 人在求购买到急需产品
- 详细信息
- 技术资料
- 库存:
大量
- 英文名:
Baohuoside V
- 保质期:
1-3年
- 供应商:
上海沪震实业有限公司
- 保存条件:
常温或2-8℃保存
- 规格:
5mg/10mg/25mg
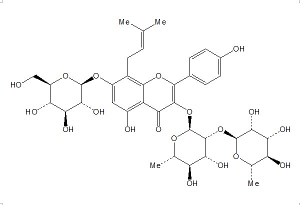
宝藿苷V(118544-18-6)
【Product Name】 Baohuoside V
【CAS Number】 118544-18-6
【Del.CASNumber】 119708-38-2
【Synonyms】 Diphylloside B
【中文名称】 宝藿苷V
【Chemical Name】 4H-1-Benzopyran-4-one, 3-[[6-deoxy-2-O-(6-deoxy-α-L-mannopyranosyl)-α-L-mannopyranosyl]oxy]-7-(β-D-glucopyranosyloxy)-5-hydroxy-2-(4-hydroxyphenyl)-8-(3-methyl-2-buten-1-yl)-
【Chemical Formula】 C38H48O19
【Molecular Weight】 808.78
【Chemotaxonomic Group】 黄酮醇类/二氢黄酮醇类 Flavonols/Flavanonols

相关标准品-对照品列表:
| HZ21552-20mg | 异三尖杉宁碱 | Iso-cephalomannine | 173101-54-7 | HPLC≥98% | 20mg | 0.00 |
| HZ21553-20mg | 异桑叶生物碱 | Isofagomine | 169105-89-9 | HPLC≥98% | 20mg | 0.00 |
| HZ21554-20mg | 异鼠李素 | IsoHZhamnetin | 480-19-3 | HPLC≥98% | 20mg | 380.00 |
| HZ21555-10mg | 异鼠李素 3-O-半乳糖苷 | IsoHZhamnetin-3-O-galactoside | 6743-92-6 | HPLC≥98% | 10mg | 2500.00 |
| HZ21556-10mg | 异鼠李素-3-O-葡萄糖苷 | IsoHZhamnetin-3-O-β-D-Glucoside | 5041-82-7 | HPLC≥98% | 10mg | 1500.00 |
| HZ21557-20mg | 异鼠李素-3-O-新橙皮苷 | IsoHZhamnetin-3-O-neohespeidoside | 55033-90-4 | HPLC≥98% | 20mg | 650.00 |
| HZ21558-20mg | 异水飞蓟宾 | IsosilyHZin | 72581-71-6 | HPLC≥98% | 20mg | 2800.00 |
| HZ21559-20mg | 异甜菊醇 | isosteviol | 27975-19-5 | HPLC≥98% | 20mg | 300.00 |
| HZ21560-200mg | 异土木香内酯 | Isoalantolactone | 470-17-7 | HPLC≥98% | 200mg | 1560.00 |
| HZ21560-20mg | 异土木香内酯 | Isoalantolactone | 470-17-7 | HPLC≥98% | 20mg | 260.00 |
风险提示:丁香通仅作为第三方平台,为商家信息发布提供平台空间。用户咨询产品时请注意保护个人信息及财产安全,合理判断,谨慎选购商品,商家和用户对交易行为负责。对于医疗器械类产品,请先查证核实企业经营资质和医疗器械产品注册证情况。
技术资料暂无技术资料 索取技术资料
宝藿苷V(118544-18-6)
¥1500 - 3800










