相关产品推荐更多 >
万千商家帮你免费找货
0 人在求购买到急需产品
- 详细信息
- 文献和实验
- 技术资料
- 库存:
308
- 英文名:
Pepstatin
- 保质期:
3年
- 供应商:
北京百奥莱博科技有限公司
- 保存条件:
4℃
特别声明:本产品及我公司所售其他产品均为科研类试剂产品,严禁用于药物、医疗及其他非科研用途。
北京百奥莱博主要从事生物试剂的生产和销*(代"售"),产品线涵盖胃蛋白酶抑制剂 蛋白质研究在内的分子生物学试剂产品,还包括PCR及荧光定量PCR、核酸提取试剂盒类、样本核酸保护试剂、核酸提取、克隆与转化、蛋白纯化、蛋白检测、免疫组化、细胞凋亡与抗体等。
名称:胃蛋白酶抑制剂 蛋白质研究
英文名:Pepstatin
编号:SY0314
品牌:百奥莱博
产地:国产|进口
Pepstatin,一种高度选择性酸性蛋白酶抑制剂,可与多种酸性蛋白酶(如胃蛋白酶、高血压蛋白原酶、组织蛋白酶、凝乳酶以及蛋白酶B 等)按照1:1的比例结合从而抑制其活性。Pepatatin还可抑制γ-分泌酶和逆转录酶,但不会抑制巯基蛋白酶、中性蛋白酶、丝*酸蛋白酶等。
本品常作为一种组分与其他功能蛋白酶抑制剂共同使用,如蛋白酶抑制剂Cocktail(Yeasen Cat# 20123)。常见各种功能蛋白酶系列储存液浓度为:1)bestatin:1.7 mM,选择性抑制*肽酶;2)E-64:0.22mM,选择性抑制半胱*酸蛋白酶;3)Pepstatin A :2.5mM,选择性抑制天冬*酰蛋白酶;4)AEBSF:18 mM,选择性抑制丝*酸蛋白酶;5)disodiu*(代"m") EDTA:86 mM,选择性抑制金属蛋白酶。
在配制本品储存液时,其浓度必须满足所用有机试剂用于工作液时至少做1000倍稀释,如可配制1-2.5mM的储存液。本品有效工作液浓度1µM,典型工作浓度范围0.5-1.0µg/ml。
英文别名:pepstatin A
CAS:26305-03-3
分子式:C34H63N5O9
分子量:685.9
外观:白色粉末
熔点:220-240℃
纯度:≥75%
溶解性:溶于乙醇、甲醇、DMSO,不溶于水
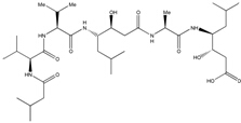
序列:Isoval-Val-Val-Sta-Ala-Sta
储存条件:4℃,有效期3年
结构式:

更多有关胃蛋白酶抑制剂 蛋白质研究的价格及使用说明等,请联*(代"系")我们的业务经理王欣女士咨询,我公司还销*(代"售")以下产品:
BL1429 20×TBS
生理盐水(家禽专用,无菌) 500ml
BL0411 Lipopolysaaah aricles 脂多糖
ARB12619 大鼠蛋白*(代"磷")酸酶(PP)含量测试 Rat protein phosphatase,pp ELISA KIT
BES缓冲液(pH7.2) 1mol/L 50ml
ARB10845 人抗单链DNA抗体/变性DNA抗体(ssDNA)尿液中含量检测 Human single stranded dna antibody,ssdna ELISA KIT
BTN130967 预混型丙*(代"烯")酰胺-甲叉双丙*(代"烯")干粉(19:1) Premixed Acr-Bis Powder
六*异丙醇 Tetraethylammonium iodide 920-66-1
L-精*酸L-谷*酸盐 Fast red TR 4320-30-3
PY02-018 克氏双糖铁琼脂 250克
*霉素 Imidazole 56-75-7
BTN50903 微量核酸沉淀剂 NA Precipitation Solution
碳酸酐酶(牛红血球) Semixylenol Orange 9001-03-0
变性鲑鱼精DNA(10mg/ml) 1ml|5ml
肽酶 Tungstic acid
3-吲哚基-β-D-吡喃葡萄糖苷酸环己*(代"胺")盐 D-Ribose 35804-66-1
动物源性植物饲料基因组DNA提取试剂盒
BTN90902 细菌总蛋白质微量提取试剂盒 Bacterial Total Protein Miniprep Kit
ARB10683 人杀伤细胞免疫球蛋白样受体(KIR)含量测试 Human killer cell immnoglobulin-like receptor,kir ELISA KIT
SJ0755 *化锰
胃蛋白酶抑制剂 蛋白质研究关键词:pepstatin A,26305-03-3,胃蛋白酶抑制剂
·鸟苷三磷酸溶液(100 mM)(GTP)
编号:SY0055
英文名称:GTP Solution(100 mM)
规格:1ml
GTP即Guanosine-5-triphosphate,中文名为鸟苷-5’-三磷酸,可用于分子生物学中多种相关应用,如体外转录、RNA扩增,siRNA合成等。另外,GTP作为一种磷酸或焦磷酸信使在信号转导过程中起着重要作用:GTP可激活G蛋白,而该蛋白可以诱导多种蛋白激酶介导的级联反应,从而引起多种细胞学行为,如细胞增殖、分化等。另外,GTP还可作为单核苷酸的高能量前体,参与到DNA和RNA 的酶合成过程。
本产品为纯度≥99%(HPLC)的GTP三*盐配制所得的无色透明水溶液, pH (25℃)= 7.0±0.1,浓度为100mM,且无DNase和RNase污染。
英文别名:Guanosine-5-triphosphate, trisodiu*(代"m") salt
CAS:86-01-1 (acid form); 36051-31-7 (3Na);
分子式:C10H13N5Na3O14P3
分子量:589.18 (acid form: 523.18)
外观:无色透明液体
结构式:
储存条件:-20℃,有效期2年。
胃蛋白酶抑制剂 蛋白质研究关键词:pepstatin A,26305-03-3,胃蛋白酶抑制剂
PY02-361 七叶苷培养基 10克
2′-脱氧腺苷-5′-三磷酸二*盐 Penicillin&Streptomycin&Neomycin solution,γ-Irradiated 74299-50-6
59-02-9 Vitamin E 维生素E 粉末
ARB11080 人肾上腺素(EPI)ELISA代测服务 Human epinephrine/adrenaline,epi ELISA KIT
NF-240 羊抗兔IgG荧光抗体
BL1393 SABC山羊IgG-FITC kit
ARB12755 小鼠C-反应蛋白(CRP)检测服务 Mouse c-reactive protein ELISA KIT
BFD074 鸡新城疫抗体快速检测卡
ARB13368 牛骨*素(OCN)酶标法分析 Bovine osteocalcin,ocn ELISA KIT
次亚磷酸* PNPG 7789-79-9
ARB13693 兔抗脑组织抗体(ABAb)Elisa定量检测 Rabbit anti-brain tissue antibody,abab ELISA KIT
L-酪*酸 L-Glutamic acid 60-18-4
乙二醇双(2-*基乙基)四乙酸 N-Acetyl-L-Valine 67-42-5
固黑B盐 HDBAC 53760-27-3
BLOTTO溶液 100ml
DP341 磁珠法动物组织基因组DNA提取试剂盒
BTN100847 BCIP-NBT法杂交检测试剂盒 BCIP-NBT DIG Detection Kit
F040305 猪IgG抗原 Pig IgG
ARB12044 大鼠乙酰胆碱酯酶(AChE)含量分析 Rat acetylcholinesterase,ache ELISA KIT
北京百莱博科技有限公司专业生产供应销*(代"售")生物试剂、化学试剂、抗原抗体、血清血浆、Elisa试剂盒,更多试剂产品需求,欢迎来电咨询选购胃蛋白酶抑制剂 蛋白质研究。
风险提示:丁香通仅作为第三方平台,为商家信息发布提供平台空间。用户咨询产品时请注意保护个人信息及财产安全,合理判断,谨慎选购商品,商家和用户对交易行为负责。对于医疗器械类产品,请先查证核实企业经营资质和医疗器械产品注册证情况。
文献和实验网络 五、胃 食物入胃后,与胃液混合为食糜 。胃可贮存食物。初步消化蛋白质,吸收部分水、无机盐和醇类。 (一)粘膜 胃收缩时腔面可见许多纵行皱襞,充盈时皱襞几乎消失。粘膜表面有许多浅沟,将粘膜分成许多直径2~6mm的胃小区(gastric area)。粘膜表面还遍布约350万个不规则的小孔,称胃小凹
消化管中一个袋状的膨大部分。其位置与形状随人的体型、体位及胃内充盈度不同而有改变。当中等度充盈时,大部分位于正中线左侧,小部分位于右侧。胃前后壁相连,上缘下凹称胃小弯,下缘凸起称胃大弯。根据胃结构的机能特点,将胃分为头区,又称近端胃;尾区,称远端胃,二区界线是联接小弯中点和大弯 1/3侧点的斜线。胃入口处为贲门( cardia),与食管相接;出口处与十二指肠相接,为幽门( pylorus),此处环行肌特别发达,称幽门括约肌。近贲门区称贲门部,自贲门向左上部突出部分为胃底
〔 1〕脊椎动物的消化管,其接连食道的膨大部分,称为胃。低等脊椎动物中有很多没有胃。哺乳类的胃位于横膈膜下的腹腔中,一般食物在胃中停留一段时间再行消化。胃肠的交界处为幽门,当食物停留在胃中时幽门关闭。胃与食道的交界处为贲门。胃在体腔中,外有浆膜覆盖,通过胃系膜( mesogastri-um)与体腔壁相连。从组织学来看,胃的一部或全部与食道一样,有的也都是由多层扁平上皮所覆盖,只不过是具有少量的胃液腺,但一般是由单层柱状上皮所构成,具有与肠相似的构造。哺乳类的胃,上部
技术资料暂无技术资料 索取技术资料










