相关产品推荐更多 >
万千商家帮你免费找货
0 人在求购买到急需产品
- 详细信息
- 文献和实验
- 技术资料
- 库存:
254
- 英文名:
Sodium Deoxycholate
- 保质期:
长期
- 供应商:
北京百奥莱博科技有限公司
- 保存条件:
室温
特别声明:本产品及我公司所售其他产品均为科研类试剂产品,严禁用于药物、医疗及其他非科研用途。
北京百奥莱博专注于生命科学和生物技术领域,致力于为客户提供包括302-95-4型脱氧胆酸*库存在内的一系列分子生物学试剂产品,并提供一系列相关的技术服务。
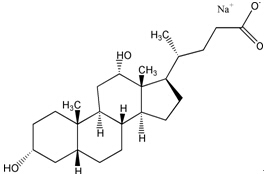
名称:302-95-4型脱氧胆酸*库存
英文名:Sodium Deoxycholate
编号:SY0336
产地:国产|进口
脱氧胆酸*(Sodium deoxycholate)是一种水溶性,胆酸类的阴离子去垢剂,能够有效破坏许多蛋白间的相互作用,普遍用于蛋白相关的实验。常用作细胞裂解液(如RIPA)的组分之一。用于脂质体制备,膜蛋白和脂质化合物提取,细胞核分离,代替脑磷脂做胆固醇絮状试验以及亲和层析中用来洗脱或再生柱子。还是一种细胞培养基添加剂。另外,它可以增加脂肪的溶解,以促进其在肠中的吸收。
中文别名:去氧胆酸*;3α,12α-二羟-5β-胆烷酸*盐;
英文别名:Sodium deoxycholic acid; deoxycholic acid, sodiu*(代"m") salt;
CAS:302-95-4
分子式:C24H39O4Na
分子量:414.56
外观:白色结晶粉末
纯度:≥99%
胆酸*:≤2%
溶解性:溶于水(330 g/L at 15℃)
储存条件:室温
结构式:

欲咨询购买302-95-4型脱氧胆酸*库存,请致电北京百奥莱博科技有限公司,为您提供最全面周到的产品服务,除此之外,我公司正在促销以下产品:
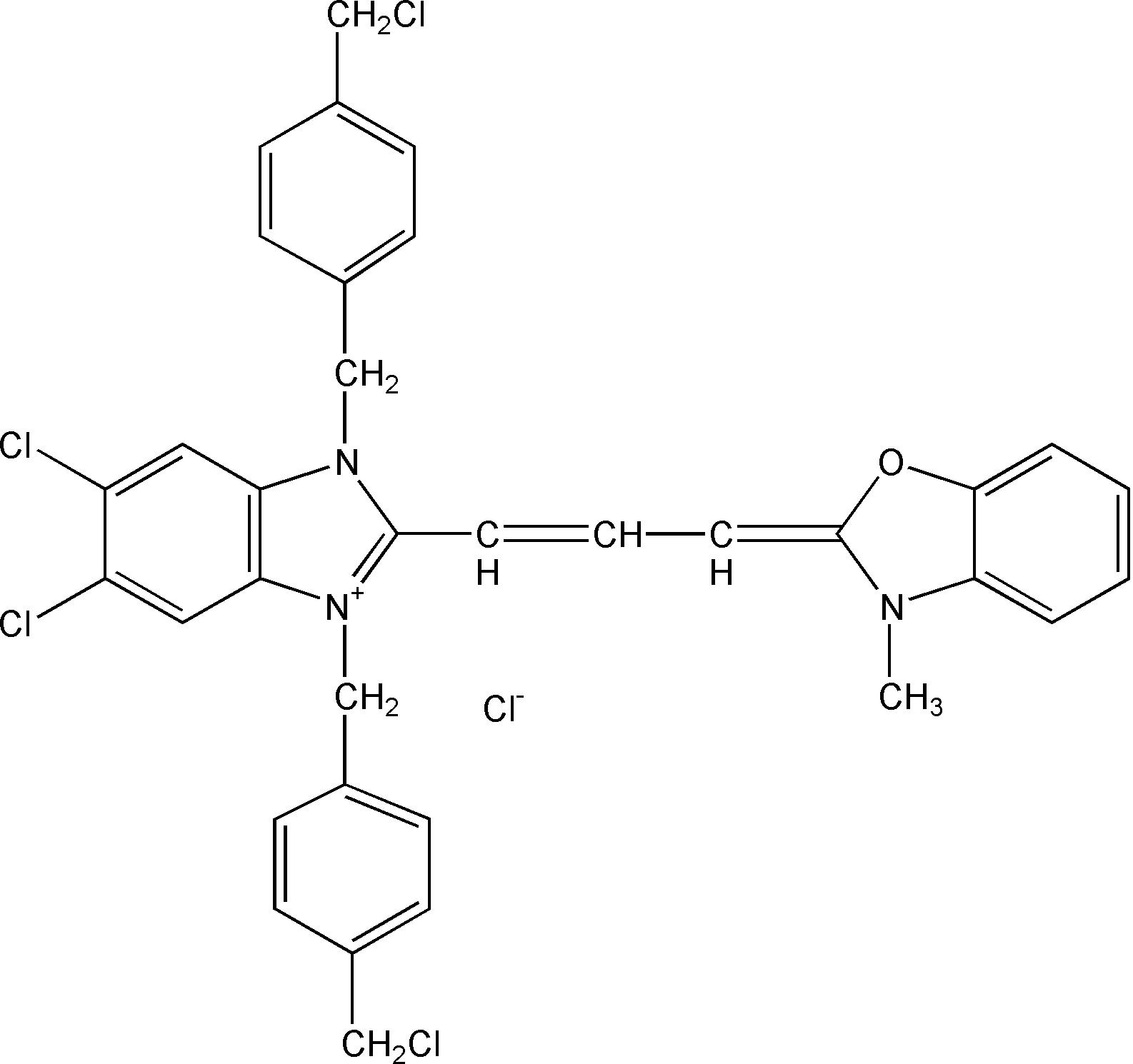
·线粒体绿色荧光探针(Green FM)
编号:SY0573
英文名称:Mitochondrial Green FM
规格:50μg
Green FM是一种细胞渗透型的carbocyanine结构衍生物,包含标记线粒体的弱巯基反应性的*甲基官能团。本品是一种亮绿色荧光探针((Ex=490 nm,Em=516 nm)),其在水溶液中几乎不发荧光,只有当聚集在线粒体的脂质环境才能发荧光,背景荧光几乎可忽略。使得操作步骤极其简单,只需用探针孵育细胞,即可被动运输穿过细胞膜并直接聚集在活性线粒体上,可不经过清洗直接观察。
与CMXRos不同的是本品定位于线粒体的能力不受线粒体膜电位影响,使其可能作为定量线粒体质量的一种工具。本品经乙*(代"醛")固定后染料不稳定,因此更适合活细胞染色。
虽然传统的线粒体荧光探针如TMR和罗丹明123,也能很容易的聚集在功能线粒体上,但是一旦线粒体膜电位丧失即会被洗掉,从而在一些需要细胞进行醛类固定或者包含线粒体能量状态影响因子的实验中,使其应用大受限制。
CAS:201860-17-5
分子式:C34H28Cl5N3O
分子量:671.88
外观:红色固体
激发波长:490 nm
发射波长:516 nm
储存条件:-20℃避光干燥
结构式

302-95-4型脱氧胆酸*库存关键词:3α,12α-二羟-5β-胆烷酸*盐,去氧胆酸*,脱氧胆酸*
·CHAPS
编号:SY0303
规格:1g
CHAPS是一种非变性两性离子去垢剂、蛋白质裂解液,用于溶解膜蛋白以及打断蛋白-蛋白之间的相互作用。分子结构中具有一个胆酸和硫代甜菜碱。在紫外区的低吸光性成为用紫外方法检测膜蛋白的首选去垢剂。具有低胶束分子量(6150)和高临界胶束浓度(6-10 mM),透析可除去。常用于等电聚焦和双向电泳等实验。通常将介于 2-4% (w/v) 间的浓度用于等电聚焦凝胶。
产品性质:
CAS:75621-03-3
分子式:C32H58N2O7S
分子量:614.9
溶解性:溶于水(100 mg/ml)
临界胶束浓度(CMC):6-10 mM(高CMC值的去污剂通过稀释可容易去除;低CMC值的去污剂有利于根据分子量进行分离)。
结构式:

储存条件:室温。
302-95-4型脱氧胆酸*库存关键词:3α,12α-二羟-5β-胆烷酸*盐,去氧胆酸*,脱氧胆酸*
·10×Tris-Glycine Native电泳缓冲液
编号:SY0364
英文名称:10×Tris-Glycine Native Running Buffer
规格:500ml
本缓冲液是10倍浓缩液,在使用前只需用去离子水稀释到1×工作液即可。Tris-Glycine Native 电泳缓冲液,即Tris-Glycine Native Running Buffer,即可用作天然Tris-甘*酸凝胶(不含SDS)的电泳缓冲液,也可用于制备标准的Western Blot电转缓冲液。
Tris-Glycine Native Running Buffer [1×]:25 mM Tris, 192 mM Glycine, pH 8.5。
储存条件:室温
·Cy3-N-羟基琥珀酰亚胺酯
编号:SY0600
英文名称:Cy3 NHS Ester
规格:1mg
Cyanine 3(Cy3),是花青素荧光素染料家族的成员之一,是化学合成的聚甲炔染料。目前Cyanine系列染料以两种异构体的形式供货,一种是非磺化花青素(non-sulfonated cyanines),一种是磺化花青素(sulfonated cyanine)。两者的光谱性质几乎一致,因此大部分应用可相互替换,比如,都可用于标记DNA或蛋白等生物分子。两者的主要区别在于:磺化染料是水溶性的,在水相的标记反应体系内不需要使用有机共溶剂,并且降低染料在水中聚集的可能性,增强标记效率。
本Cyanine 3(Cy3)是以磺化染料的形式供货,易溶于水,Ex=555 nm,Em=565 nm,具有明亮荧光,光稳定性强,pH非敏感性等优点,适用于标记多肽、蛋白以及核酸等生物分子,以通过后续荧光成像以及其他荧光生物学方法分析目的蛋白。
本Cy3 NHS ester,即含N-羟基琥珀酰亚胺(N-Hydroxysuccinimide)活化基团的Cy3,可直接与生化分子上的*基(-NH2)反应形成稳定的酰胺键,主要是伯胺。
英文别名:Cyanine 3, monosuccinimidyl ester
分子量:829.03
外观:紫色固体
Ex/Em:555nm/565nm
溶解性:溶于DMSO,DMF,水
储存条件:-20℃,有效期12个月
结构式

北京百莱博科技有限公司专业生产供应销*(代"售")生物试剂、化学试剂、抗原抗体、血清血浆、Elisa试剂盒,更多试剂产品需求,欢迎来电咨询选购302-95-4型脱氧胆酸*库存。
风险提示:丁香通仅作为第三方平台,为商家信息发布提供平台空间。用户咨询产品时请注意保护个人信息及财产安全,合理判断,谨慎选购商品,商家和用户对交易行为负责。对于医疗器械类产品,请先查证核实企业经营资质和医疗器械产品注册证情况。
文献和实验关键词: 病毒性肝炎亚急性重型 预后 病原学 病毒性肝炎亚急性重型是一种临床经过凶险、病死率极高的疾病,可以由多种嗜肝病毒致病。为了探讨不同型别的嗜肝病毒与所致的亚急性重型肝炎的预后之关系,我们采集39例经肝穿病理确诊的亚急性重型肝炎进行分析。39例亚急性重型肝炎均为我院1992~1997年的住院病人(筛除了重叠感染者)。所有病例均经肝穿病理确诊,其中活体肝穿28例,死亡后立即肝穿11例。诊断符合1995年第五
离得到纯度为99%、99%存活力和95%产量的靶细胞。Dynabeads immunomodifications免疫修饰反应技术由于Dynabeads的大小(4.5 μm)与细胞的大小相近,所以它能将模拟的体内刺激信号提呈给细胞。如Dynabeads CD3/CD28 T Cell Expander可同时通过CD3抗原呈递一个刺激信号和通过CD28抗原呈递一个共刺激信号给T细胞,促进T细胞克隆增殖。六、Dynabeads 细胞分离法该方法是利用包被在Dynabeads表面的抗体与特异
人 iPS 细胞体外分化为气道上皮肺类器官用于呼吸系统疾病研究应用以及iPSC操作指南
人肺类器官培养系统是一种无血清、多阶段培养系统,常用于将人诱导多能干细胞(iPS)有效分化为结构类似于体内分支气道和早期肺泡结构的成熟肺类器官。 使用 3dGRO™ 人肺类器官培养系统,可以生成大量成熟的肺类器官,这些类器官表达适当的标志物,标志着成熟肺和气道中发现的多种细胞类型,包括在中发现的 SFTPB 和 SFTPC(表面活性物质相关蛋白B 和表面活性物质相关蛋白C) II 型肺泡上皮 (ATII) 细胞、MUC5AC(气道杯状细胞)、EpCAM、Sox9 和 Nkx2.1(肺内胚层)、乙酰
技术资料暂无技术资料 索取技术资料










