相关产品推荐更多 >
万千商家帮你免费找货
0 人在求购买到急需产品
- 详细信息
- 文献和实验
- 技术资料
- 库存:
356
- 英文名:
HER1 Inhibitor
- CAS号:
873837-23-1
- 保质期:
12个月
- 供应商:
北京百奥莱博科技有限公司
- 保存条件:
-20℃
特别声明:本产品及我公司所售其他产品均为科研类试剂产品,严禁用于药物、医疗及其他非科研用途。
北京HER1抑制剂(AC480)(BMS-599626)品牌由老牌试剂供应北京百奥莱博供货并提供技术支持,本产品用于科研目的生化试验项目,本产品质量好,且极具价格优势,深为用户称道,了解更多HER1抑制剂(AC480)(BMS-599626)等抑制剂激活剂产品请联*(代"系")我司咨询订购。
名称:北京HER1抑制剂(AC480)(BMS-599626)品牌
编号:YT928
英文名:HER1 Inhibitor
规格:10mM×0.2ml|5mg|25mg
产地:国产|进口
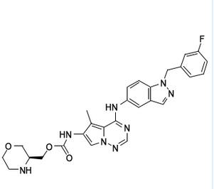
本品是一种选择性的,高效的HER1和HER2抑制剂,IC50分别为20nM和30nM。比对HER4效果强8倍左右,而比对VEGFR2、c-Kit、Lck、MET等的作用强100倍以上。
CAS:873837-23-1
分子式:C27H27FN8O3
分子量:567.01
纯度:98.9%
结构式:

BMS-599626选择性抑制重组HER1和HER2激酶的酶活性,IC50分别为20nM和30nM。此外,BMS-599626也抑制相关受体HER4,但是抑制效果低点(IC50为190nM)。BMS-599626定义为HER1的ATP竞争性抑制剂,HER2的ATP非竞争性抑制剂,Ki分别为2nM和5nM。BMS-599626抑制表达高水平HER1和/或HER2的肿瘤细胞增殖,包括Sal2、BT474、N87、KPL-4、HCC202、HCC1954、HCC1419、AU565、ZR-75-30、MDA-MB-175、GEO和PC9细胞,IC50分别为0.24μM、0.31μM、0.45μM、0.38μM、0.94μM、0.34μM、0.75μM、0.63μM、0.51μM、0.84μM、0.90μM和0.34μM。BMS-599626不会显著抑制不表达HER1或HER2的卵巢肿瘤细胞系A2780和MRC5成纤维细胞增殖。最新研究显示BMS-599626通过促进周期再分配和抑制DNA修复,而显著增强表达EGFR和Her2的HN-5细胞的放射敏感性。
AZD8055按2.5/10mg/kg剂量作用于U87MG和A549移植瘤抑制pS6和pAKT,导致肿瘤生长受抑制。AZD8055按10/20mg/kg剂量处理多种移植瘤包括U87MG、BT474c、A549、Calu-3、LoVo、SW620、PC3和MES-SA时,显示出明显的抗癌活性。AZD8055诱导肿瘤体积下降约40%,伴随着AKT、S6K和SGK蛋白激酶磷酸化的切除。用AZD8055(5mg/kg,每天2次)和SAHA(100mg/kg/每天)处理PTEN+/-LKB1+/hypo移植瘤,导致肿瘤生长全部受抑制,且对鼠mTORC1和mTORC2信号抑制没有副作用。
储存条件:-20℃,有效期12个月。
更多有关北京HER1抑制剂(AC480)(BMS-599626)品牌的价格及使用说明等,请联*(代"系")我们的业务经理王欣女士咨询,我公司还销*(代"售")以下产品:
·Western洗涤液(WB洗涤液)
编号:YT068
英文名称:Wash Buffer For Western Blot
规格:250ml
本品可以用于Western时一抗或二抗孵育后的洗涤。适当的洗涤可以降低背景,增强信噪比。按照每张膜洗涤需要5-10毫升Western洗涤液(1X)计算,一个包装的Western洗涤液可以洗涤25-50次。
注意事项:本Western洗涤液经过滤除菌处理,使用过程中应尽量避免细菌污染。一旦启用后建议在2周内用完。
储存条件:4℃,有效期一年。
·总谷胱甘肽过氧化物酶检测试剂盒
编号:YT299
英文名称:Total Glutathione Peroxidase Assay Kit
规格:100次
本试剂盒是一种简单易行的通过紫外比色来检测细胞、组织或其它样品中谷胱甘肽过氧化物酶活性的试剂盒。绝大部分细胞内的谷胱甘肽过氧化物酶都是含硒的,且硒为该酶的活性中性组成部分。细胞内也有很少量的不含硒的谷胱甘肽过氧化物酶存在。本试剂盒可以定量检测出最常见的含硒的谷胱甘肽过氧化物酶和少量不含硒的谷胱甘肽过氧化物酶的总量。本试剂盒可检测组织匀浆产物、细胞裂解产物等样品中谷胱甘肽过氧化物酶的活性。一个试剂盒可进行100次检测。
本试剂盒如果和谷胱甘肽过氧化物酶检测试剂盒(YT298)配合使用,可以定量检测出样品中不含硒的谷胱甘肽过氧化物酶。
谷胱甘肽过氧化物酶可以清除活细胞内过氧化物,在保护细胞免受自由基损伤过程中起着关键作用。细胞内的脂类容易和自由基发生反应,产生脂类过氧化物。谷胱甘肽过氧化物酶可以利用还原型谷胱甘肽(GSH)还原脂类过氧化物,从而消除自由基的毒害作用。谷胱甘肽过氧化物酶几乎在所有组织中都有分布。在一些病理状况下谷胱甘肽过氧化物酶的活力会发生明显上调或下调。
谷胱甘肽过氧化物酶可以利用还原型谷胱甘肽(GSH)催化过氧化*以及许多有机过氧化物,产生水或有机醇。如果以过氧化*为底物进行检测,则同样可以分解过氧化*的过氧化*酶的酶活性会干扰谷胱甘肽过氧化物酶的测定。本试剂盒利用了一种间接测定的方法。谷胱甘肽过氧化物酶可以催化GSH产生GSSG,而谷胱甘肽还原酶可以利用NADPH催化GSSG产生GSH,通过检测NADPH的减少量就可以计算出谷胱甘肽过氧化物酶的活力水平。在上述反应中谷胱甘肽过氧化物酶是整个反应体系的限速步骤,因此NADPH的减少量和谷胱甘肽过氧化物酶的活力线性相关。
本试剂盒利用了如下的反应原理,GPx为谷胱甘肽过氧化物酶,GR为谷胱甘肽还原酶,R-OOH为过氧化物。

本试剂盒提供的有机过氧化物试剂(Cum-OOH)在没有谷胱甘肽过氧化物酶存在的情况下不会和GSH产生反应,也不会被细胞内的过氧化*酶催化而分解。因而可以较为特异地检测出谷胱甘肽过氧化物酶的活力。
有机过氧化物试剂(Cum-OOH)不仅可以作为含硒的谷胱甘肽过氧化物酶的底物,也可作为不含硒的谷胱甘肽过氧化物酶的底物,因此本试剂盒可以定量检测总谷胱甘肽过氧化物酶。
试剂盒组份:
样品匀浆液———————————————100ml
谷胱甘肽过氧化物酶检测缓冲液——————50ml
谷胱甘肽还原酶—————————————160μl
NADPH——————————————————15mg
还原型谷胱甘肽(GSH)———————————14mg
过氧化物试剂(Cum-OOH)——————————200μl
注意事项:
1. 本试剂盒检测时牵涉到氧化还原反应,所有氧化剂或还原剂都会干扰本试剂盒的测定。如果在样品中的还原剂无法避免,例如DTT、巯基乙醇等,则这些还原剂的总浓度至少低于0.1mM。0.15mM的DTT可以抑制40%的酶活力。
2. 常用的Triton X-100、Tween 20等去垢剂都含有较高水平的过氧化物,会影响本试剂盒的测定。如果必须使用这些去垢剂,最好使用纯度较高并注明含较低过氧化物的去垢剂。
3. 为消除样品中可能含有的可以消耗NADPH的酶的干扰,可以检测不加过氧化物试剂的样品作为对照。
4. 样品可以立即测定,也可以-70℃冻存待以后测定。
5. 一定要严格控制反应时的温度,否则会引起较多误差。
6. NADPH不太稳定,要严格按照后续说明操作,谨防失活。
7. 本产品仅限于专业人员的科学研究用,不得用于临床诊断或治疗,不得用于食品或药品
储存条件:-20℃,有效期一年。
北京HER1抑制剂(AC480)(BMS-599626)品牌关键词:HER1抑制剂(AC480)(BMS-599626),HER1 Inhibitor,873837-23-1
·二甲基Histone H3(Lys9位点)抗体
编号:YT801
英文名称:anti-Di-Methyl-Histone H3(Lys9) antibody
规格:>20次
本抗体是用人工合成Lys9二甲基化的人histone H3的N-terminal一段多肽经过适当修饰后免疫rabbit,然后用protein A和抗原多肽亲和柱经过两步纯化得到的高纯度抗体。
本Di-Methyl-Histone H3(Lys9)抗体识别的是总Di-Methyl-Histone H3(Lys9),可以检测内源性的Lys9二甲基化的Histone H3,未发现和Lys9未甲基化的、Lys9单甲基化的或 Lys9三甲基化的histone H3有交叉反应。
组蛋白histone H2A,H2B,H3和H4各两个分子组成的八聚体和与该八聚体相结合的DNA构成了染色质的基本结构核小体
(necliosome)。组蛋白的存在确保了基因组DNA可以被相对致密而有序地堆放在细胞核中。人一个细胞的基因组DNA完全拉成线性的总长度约为1.4米,但染色质的总长度仅为9厘米,而有丝分裂时染色体的总长度仅为0.12毫米。除了核心组蛋白(core
histone)histone H2A,H2B,H3和H4外,还有一类linker histone H1和H5。Histone H1可以结合核小体和DNA在核小体中进出的位点,从而使DNA的位置被锁定,有利于在核小体基础上形成更高级的空间结构(参考下图)。组蛋白结合区域的DNA长度为147bp,核小体间的DNA长度大约为50bp。染色质空间结构的松散还是致密很大程度上决定了该区域基因转录水平的高低(参考下图)。

组蛋白是真核生物中呈强碱性的蛋白。组蛋白可以被乙酰化、磷酸化、甲基化和泛素化修饰。这些修饰会改变染色质的空间结构,从而在基因转录调控、染色体装配等过程中起重要作用。通常,histone H2B的Lys5,Lys12和Lys15会发生乙酰化修饰。Histone H3的Lys9,Lys14,Lys18和Lys23会发生乙酰化修饰。Histone H3的Ser10,Ser28和Thr11都会发生磷酸化修饰。Histone H3的这些磷酸化和有丝分裂或减数分裂过程中的染色质浓缩密切相关。Histone H3 Thr3的磷酸化在很多物种中都非常保守,可以被激酶haspin所催化。Histone H3的Thr3磷酸化发生在有丝分裂早期(prophase),在有丝分裂的晚期(anaphase)则被去磷酸化。Histone H3和H4是甲基化修饰的主要组蛋白,哺乳动物细胞中histone H3和H4是高度甲基化的。组蛋白可以被单、双或三甲基化(mono-,di-,and tri-methylated),和基因转录调控和染色体装配密切相关。Histone H3的Lys4二或三甲基化和很多基因的转录激活相关。Histone H3的Lys4二甲基化和三甲基化和基因的转录激活密切相关。尽管Lys4二甲基化的histone H3也在非转录激活区被检测到,Lys4二甲基化和三甲基化的histone H3在异染色质中是检测不到的。Histone H3的Lys9单甲基化和二甲基化和基因沉默和异染色质装配有关,而Lys9三甲基化的Histone H3在异染色质的pericentric domain区域富集。
Histone H3在其*基端有一个较长的N terminal tail,在核小体的装配过程中起关键作用。Histone H3是各种histone中修饰程度最高的,在表观遗传(epigenetics)中起重要作用。Histone H3包括H3A1、H3A2和H3A3。人的hitone H3由近15个基因分别单独编码。
产品组份:
Di-Methyl-Histone H3(Lys9)抗体————20μl
Western一抗稀释液————20ml
抗体参数:
免疫原物种:人
免疫原:人工合成Lys4二甲基化的人histone H3的N-terminal一段多肽
宿主:兔
用途:WB,IC, ChIP
交叉反应性:人,小鼠,大鼠,鸡,裂殖酵母
Di-Methyl-Histone H3(Lys9)分子量:~17kD
推荐稀释比例:WB(1:1000),IC(1:500),ChIP(1:50)
注意事项:
1. 在Western实验后,请注意回收稀释的抗体。回收的抗体在进行Western实验时至少可以重复使用10次。稀释后的抗体,包括已经使用过的稀释抗体,4℃保存。
2. 回收后重复使用的抗体,使用方法同新鲜稀释的抗体。如果在重复使用过程中发现抗体出现轻微混浊现象,可以10000g离心1-3分钟,取上清用于后续检测。如果回收的抗体出现明显的絮状物或长霉长菌等情况,则可以考虑废弃该抗体。
3. 对于本抗体,Western检测时一抗要4℃缓慢摇动过夜,如果仅短时间与一抗孵育检测效果较差。
储存条件:-20℃,有效期一年。
北京HER1抑制剂(AC480)(BMS-599626)品牌关键词:HER1抑制剂(AC480)(BMS-599626),HER1 Inhibitor,873837-23-1
三*蔗糖 H-Tyr-Ome 56038-13-2
ARB12942 小鼠血小板活化因子(PAF)血清中含量检测 Mouse platelet activating factor,paf ELISA KIT
ARB10151 人Runt相关基因2(RUNX2)含量测试 Human runt-related transcription factor 2,(runx 2)ELISA KIT
高糖DMEM(不含丙*(代"酮")酸*) 500ml
ARB10765 人抗IVIgG抗体ELISA代测服务 Human anti-ivigG antibody ELISA KIT
没食子酸月桂酯 5-BrdC 1166-52-5
DN1101 细菌基因组DNA快速提取试剂盒
BTN70401 软骨RNAOUT Cartilage RNAOUT
56-81-5 甘油 Glycerol
BTN100847 BCIP-NBT法杂交检测试剂盒 BCIP-NBT DIG Detection Kit
BTN131156 山羊抗兔IgG,异硫*酸荧光素标记 Goat Anti-Rabbit IgG ,FITC Conjugate
BL1305 5×G250(蛋白定量专用)
ARB12878 小鼠丙二醛(MDA)检测服务 Mouse malondialchehyche,mda ELISA KIT
ARB10060 人B细胞生长因子(BCGF)ELISA代测服务 Human b cell growth protein,bcgf ELISA KIT
ARB10393 人可溶性血纤蛋白单体复合物(SFMC)酶联免疫定量检测 Human soluble fibrin monomer complex,sfmc ELISA KIT
ARB10208 人β干扰素(IFN-β/IFNB)elisa检测说明书 Human interferon β,ifn-β/ifnb ELISA KIT
对甲*磺酸乙酯 Potassium carbonate sesquihydrate 80-40-0
BTN81109 酵母化学感受态细胞制备试剂盒 Yeast Chemical Competent Cell Preparation Kit
磺胺甲氧哒嗪 Potassium carbonate 80-35-3
PY01-027 1-*乙酸 AR|BR 25克
37189-34-7 菠萝蛋白酶
我公司强烈推荐抑制剂激活剂系列产品,热情期待您的咨询选购北京HER1抑制剂(AC480)(BMS-599626)品牌。
风险提示:丁香通仅作为第三方平台,为商家信息发布提供平台空间。用户咨询产品时请注意保护个人信息及财产安全,合理判断,谨慎选购商品,商家和用户对交易行为负责。对于医疗器械类产品,请先查证核实企业经营资质和医疗器械产品注册证情况。
文献和实验PCR 技术现在已成为现代分子生物学实验工作的基础技术和有效工具,在医学、农业、检验检疫等领域中使用十分广泛。其核心设备-PCR仪经过不断改进,已经越来越完善和智能化,分类也更加细化,但厂家一般自行命名型号,技术指标的参数也不统一,给用户的选择带来了困惑和麻烦。总体来说PCR仪可分为普通PCR仪、梯度PCR仪器和实时荧光定量PCR仪等。下面将列出一些生产商/品牌供评比。 仪器名称产地/品牌型号1实时荧光定量PCR仪美国StratageneMx3000P,Mx3005P2PCR仪英国
1李红光 1徐伟 1杨宝财 2孔宏 2何志平(1.华北石油总医院检验科 2.华北石油总医院器械科 河北省任丘市 062552) AC900是广州倍肯公司代理的一款瑞士产SWELAB品牌的全自动血细胞计数仪,该机采用变阻脉冲法进行细胞计数和细胞体积测量,并采用光电比色法测量血红蛋白。其性能比较稳定,使用率较高,操作简便。现将我院的一台AC900计数仪的常见故障及维修方法介绍如下: 故障一:计数时,屏幕上RBC、PLT或WBC位置出现"BUBB"或"AIR"字样。原因: 1. 转移
,Lightcycler480,Eppendorf mastercycler等产品。但是这些名牌产品因为品牌溢价所以价格都高高在上,另很多经费不是很充足的实验室望而却步。这些产品的性能有大量文章做过比较,在这里就不做过多描述。但是品牌不是唯一,科研工作者更不应该迷信品牌,依靠自己真实的实验体会做的选择才是最准确的。下面综合大量的科研人员的实验体会着重向广大科研工作者介绍一些现在市场上高性价比的几款荧光定量PCR仪。进口篇1. Bio-rad伯乐在国际上属于中端品牌,在中国最初由于电泳系统被广大科研用户所熟知。伯乐
技术资料暂无技术资料 索取技术资料










