相关产品推荐更多 >
万千商家帮你免费找货
0 人在求购买到急需产品
- 详细信息
- 文献和实验
- 技术资料
- 库存:
883
- 英文名:
Yeast DNA extraction kit
- 保质期:
长期
- 供应商:
北京百奥莱博科技有限公司
- 保存条件:
2~8℃
特别声明:本产品及我公司所售其他产品均为科研类试剂产品,严禁用于药物、医疗及其他非科研用途。
百奥莱博专业生产供应酵母DNA提取试剂盒 DNA纯化,我公司销*(代"售")全品类的分子生物学试剂,价格优惠,欢迎广大科研工作者垂询订购。
名称:酵母DNA提取试剂盒 DNA纯化
规格:50次
品牌:百奥莱博
产地:国产|进口
编号:BTN130990
关于酵母DNA提取试剂盒 DNA纯化的更详细说明,请致电我公司咨询,我们将以最饱满的热情为您提供解答,此外,我公司专业供应下列产品:
CYB168006 绵羊血清 500ml/瓶
ARB10377 人甘露糖结合蛋白/甘露糖结合凝集素(MBP/MBL)含量测试 Human mannma binding protein/mannan binding lectin,mbp/mbl ELISA KIT
D-Hanks平衡盐粉剂(无酚红) 1× 1L|10×1L
107-35-7 牛磺酸
SJ0697 超低分子量蛋白Marker Ⅱ (3.5-26.6kD)
*并咪唑 Gallamine triethiodide 51-17-2
D0302 脱纤维绵羊血(无菌 袋装) 500ml/1000ml/2000ml
RN2501 RNAblood 超纯全血总RNA快速提取试剂盒
增强型抗荧光淬灭封片剂 5ml|10ml
ARB10253 人乙醇脱*酶(ADH)Elisa定量检测 Human alcohol dehydrogenase,adh ELISA KIT
ARB10546 人皮质酮(CS)含量测试 Human corticoserone ,cs ELISA KIT
F040322 绵羊IgG抗原 Sheep IgG
ARB11157 人周期素依赖性激酶4(CDK-4)ELISA代测服务 Human cyclin-dependent kinase 4,cdk-4 ELISA KIT
酵母DNA提取试剂盒 DNA纯化关键词:BTN130990,酵母DNA提取试剂盒,Yeast DNA extraction kit
·pNPP干粉
编号:BTN131116
英文名称:p-nitrophenyl phosphate,disodiu*(代"m") salt
规格:1g
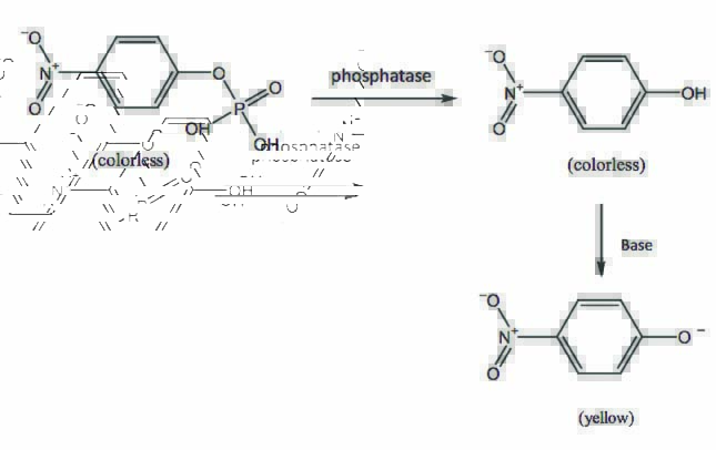
pNPP在ELISA应用中作为检测碱性磷酸酶的底物而被广泛使用。当碱性磷酸酶与PNPP反应后,形成黄色水溶性反应产物。该产物在405nm有光吸收,并可使用传统方法终止反应。其反应原理如下:

储存条件:常温运输,避光保存,有效期一年。
·UTP溶液(100mM)
编号:BTN120626
英文名称:UTP Solution,100mM
规格:0.25mL
本产品纯度在98%以上(HPLC检测),不含DNA内切酶、DNA外切酶、RNA酶和磷酸酶的污染,可以直接用于体外RNA转录合成。
UTP分子式为C9H12N2O15P3Na3,分子量是550.1,消光系数为10.0×103 M-1×cm-1(pH7.0),λmax为262nm。
储存条件:低温运输和-20℃保存、有效期一年。
·大肠杆菌BL21-CondonPlus(DE3)-RIPL化学感受态细胞
编号:BTN140378
英文名称:E.coli BL21-CondonPlus(DE3)-RIPL Chemical Competent Cell
规格:10*100μl
本产品来源于Stratagene公司的BL21-Gold菌株,缺少Lon蛋白酶和OmpT蛋白酶,从而减少对重组蛋白的降解,补充大肠杆菌缺乏的4 种稀有密码子(AGA、AUA、CCC、CUA)对应的tRNA(argU、ileY、proL、leuW),提高外源基因,尤其是富含AT-或GC-的真核基因在原核系统中的表达水平。该菌株染色体整合了λ噬菌体DE3 区(DE3 区含有T7 噬菌体RNA聚合酶),可同时表达T7 RNA聚合酶和大肠杆菌RNA聚合酶,可用于pET系列,pGEX,pMAL等质粒的蛋白表达,同时具有四环素,*霉素,链霉素,壮观霉素抗性。本产品由特殊工艺制作,经pUC19质粒检测转化效率高达108cfu/μg。
菌株基因型为:F- ompT hsdS(rB-mB-)dcm+ Tetr galλ(DE3)endA Hte [argU proLCamr] [argU ileY leuW Strep/Specr]。
储存条件:干冰运输、-80℃保存,有效期半年。
自备试剂:目的DNA、SOC或LB培养基等
使用方法:
1. 取感受态细胞置于冰浴中。一次转化感受态细胞的建议用量为50-100μl,可以根据实际情况分装使用。
以下实验以100μl感受态细胞为例。
2. 待感受态细胞融化后,向感受态细胞悬液中加入目的DNA(根据实际情况加入适量的DNA,通常100μl感受态细胞能够被1 ng超螺旋质粒DNA 所饱和),用移液器轻轻吹打混匀,冰浴30分钟。
3. 42℃热击90秒,迅速将离心管转移到冰浴中,冰上静置2-3分钟。
4. 每个离心管中加入450μl 无菌的SOC或LB培养基(不含抗生素),混匀后置于37℃摇床,150rpm 振荡培养45分钟使菌体复苏。
5. 根据实验需求,取适量已转化的感受态细胞,加到含有相应抗生素的LB 固体琼脂培养基上,用无菌的涂布棒将细胞均匀涂开,将平板置于37℃直至液体被吸收,倒置培养,37℃培养12-16小时。
注意事项:
1、涂布用量可根据具体实验调整。若转化的DNA 总量较多,可取少量转化产物涂布平板;若转化的DNA 总量较少,可取200-300μl转化产物涂布平板。若预计的克隆数较少,可通过离心(4,000rpm ,2分钟)后吸除部分培养液,悬浮菌体后将其涂布于平板中。
2、新制备的固体培养基不易涂干,可将平板正置于37℃直至液体被吸收后再倒置培养。
3、涂布剩余的菌液可置于4℃保存,如果次日的转化菌落数过少,可以将剩下的菌液再涂布新培养基进行培养。
4. 诱导时,IPTG浓度可选(0.1-2mM 均可)。
5. 为获得需要量的蛋白,最佳诱导时间,温度,IPTG浓度需实验者优化。
酵母DNA提取试剂盒 DNA纯化关键词:BTN130990,酵母DNA提取试剂盒,Yeast DNA extraction kit
·ABTS溶液(7mM)
编号:BTN131114
英文名称:ABTS Solution
规格:100mL
ABTS是一种水溶性HRP底物,在过氧化物酶的作用下产生绿色终产物。该绿色产物在410nm 及650nm具有两个主要吸收峰。在ELISA应用中,ABTS的灵敏度比OPD和TMB稍差。它会被缓慢氧化并显色(大约20分钟)。相对于OPD或TMB底物高灵敏度造成的不可接受的高背景,该性质可能是ABTS底物的优势。
储存条件:低温运输,-20℃避光保存,有效期一年。
·生物素化的碱性磷酸酶
编号:BTN131096
英文名称:Biotin-AP
规格:1mg
本产品为生物素标记的碱性磷酸酶,其灵敏性高,推荐用于利用亲和素、链亲和素或中性亲和素蛋白的三明治技术。
储存条件:低温运输,-20℃保存,有效期一年。
活性单位定义:一个单位定义为在25℃每分钟在特定缓冲体系中将1.0μmol的对硝基酚磷酸盐水解需要的蛋白量。反应缓冲液为:0.1M 甘*酸,1.0mM ZnCl2,1.0mM MgCl2,6mM PNPP,pH10.4。
·EDTA溶液(RNase-Free)(0.5M,pH8.0)
编号:BTN60308
英文名称:Biotin-AP
规格:250mL
本产品为生物素标记的碱性磷酸酶,其灵敏性高,推荐用于利用亲和素、链亲和素或中性亲和素蛋白的三明治技术。
储存条件:低温运输,-20℃保存,有效期一年。
活性单位定义:一个单位定义为在25℃每分钟在特定缓冲体系中将1.0μmol的对硝基酚磷酸盐水解需要的蛋白量。反应缓冲液为:0.1M 甘*酸,1.0mM ZnCl2,1.0mM MgCl2,6mM PNPP,pH10.4。
·非酶多糖清除剂(DNA专用)
编号:BTN111008
英文名称:Non-enzymatic polysaccharide scavengers
规格:50次
用很多方法提取的植物、真菌或细菌基因组DNA样品中经常会含有多糖(Polysaccharide)污染,这些污染会严重影响下游的酶切和PCR等实验。为此北京我公司开发了非酶法多糖清除剂(DNA专用)
产品特点:
1.高效,能有效地去除基因组DNA中的多糖污染,使DNA溶液不再粘稠。
2. DNA分子完整性不会受到任何影响。
3.快速,全部操作在样品管中完成,只需要二十多分钟。
4. 稳定,本产品为非酶产品,可以常温运输和保存。
产品组成:
| 成分 | 规格 |
| 溶液A | 2.5ml |
| 溶液B | 5ml |
| 微量核酸沉淀剂 | 10ml |
| 说明书 | 1份 |
储存条件:常温运输和保存,有效期一年。
使用方法:
1. 如果DNA溶液的体积不够100μL,用水或TE补到100μL。如果超过100μL,可以用我公司的核酸浓缩液(需另买)浓缩到100μL,或者分成几个100μL再处理。
2. 将50μL溶液A加入到100μL待处理的DNA样品中,充分吹打混匀。
3. 15μL的溶液B,充分吹打混匀。如果溶液B过于粘稠,可以先在65℃保温后再取用。
4. 加入150μL的*仿,充分振荡半分钟。
5. 12000~15000g离心2分钟,小心转移上清到一新的1.5mL塑料离心管中,交界处将有白膜样的多糖沉淀。
6. 重复上步操作,白膜样的多糖沉淀将减少。是否需要继续此步操作根据多糖污染严重程度决定。可以一直重复直到白膜不再出现。本产品提供的溶液B的量足够抽提5-6次。
7.在最后得到的上清液中加入两倍体积(200μL)的微量核酸沉淀剂,混匀后12000~15000g离心10-20分钟,小心弃上清。注意不要触及DNA沉淀。
8. 加入1mL自备的75%乙醇,振荡器上短暂振荡数秒后12000~15000g离心2分钟,小心弃上清。注意不要触及DNA沉淀。
9. 短暂离心数秒,用移液枪小心吸去残留液体(约50μL)后,加入适量自备TE,立即电泳检测,OD检测后放-80℃长期保存。
北京百莱博科技有限公司专业生产供应销*(代"售")生物试剂、化学试剂、抗原抗体、血清血浆、Elisa试剂盒,更多试剂产品需求,欢迎来电咨询选购酵母DNA提取试剂盒 DNA纯化。
风险提示:丁香通仅作为第三方平台,为商家信息发布提供平台空间。用户咨询产品时请注意保护个人信息及财产安全,合理判断,谨慎选购商品,商家和用户对交易行为负责。对于医疗器械类产品,请先查证核实企业经营资质和医疗器械产品注册证情况。
文献和实验这周讨论一项常用的技术,即使常用但仍引起部分人核酸分离焦虑症。那就是基因组DNA的纯化去杂质。 场景是这样的:你有一份采自南太平洋中部一个偏僻小岛上首次发现的古老兰花品种根际土壤样品。你使用了非PowerSoil Kit法提取其中的微生物DNA。最终DNA含有太多杂质,无法PCR扩增。因此需要去除腐植酸等PCR抑制因子。你需要所有的核酸分子通过全基因组鸟枪测序……怎么办? 你致电MO BIO说了你的大概情况,而我们推荐了使用PowerClean Kit
Amicon Ultra-0.5 mL Centrifugal Filters for DNA Purification and Concentration 操作示意图: With their vertical membrane design, Amicon Ultra 0.5 mL filters deliver great performance and lower spin times
一、目的: 学习和掌握从酵母中提制RNA 的原理和方法,从而加深对核酸性质的认识。 二、原理: 提取和制备RNA 的首要问题是选RNA 含量高的材料。微生物是工业上大量生产核酸的原料,其中RNA 的提制以酵母最为理想,因为酵母核酸中主要是RNA(2.67~10.0%),DNA 很少(0.03~0.516%),而且菌体容易收集,RNA 也易于分离。此外,抽提后的菌体蛋白质(占干菌体的50
技术资料暂无技术资料 索取技术资料










