相关产品推荐更多 >
万千商家帮你免费找货
0 人在求购买到急需产品
- 详细信息
- 文献和实验
- 技术资料
- 库存:
268
- 英文名:
SD-208
- CAS号:
627536-09-8
- 保质期:
2年
- 供应商:
北京百奥莱博科技有限公司
- 保存条件:
-20℃
特别声明:本产品及我公司所售其他产品均为科研类试剂产品,严禁用于药物、医疗及其他非科研用途。
北京现货TGF-βRI抑制剂(ALK5抑制剂)(SD-208)促销是高品质的抑制剂激活剂产品,由北京百奥莱博供应,用于科研实验,本产品质量好,且极具价格优势,深为用户称道,了解更多TGF-βRI抑制剂(ALK5抑制剂)(SD-208)等抑制剂激活剂产品请联*(代"系")我司咨询订购。
名称:北京现货TGF-βRI抑制剂(ALK5抑制剂)(SD-208)促销
规格:1mL(10mM)|10mg|50mg
产地:国产|进口
编号:M00702
品牌:百奥莱博
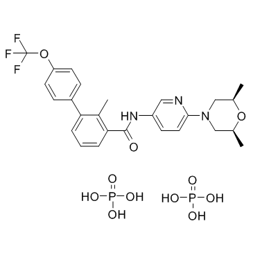
SD-208是一种选择性的TGF-βRI(ALK5)抑制剂,IC50值为48nM,对其选择性是对TGF-βRII的10倍。
注:本品仅可用于科研实验,严禁用于临床医疗及其他用途!
CAS号:627536-09-8
纯度:98.33%
分子式:C₁₇H₁₀ClFN₆
分子量:352.75
结构式:

储存条件:-20℃,有效期2年,溶入溶剂后-20℃请尽量在一个月内使用。
更多有关北京现货TGF-βRI抑制剂(ALK5抑制剂)(SD-208)促销的价格及使用说明等,请联*(代"系")我们的业务经理王欣女士咨询,我公司还销*(代"售")以下产品:
·Smo拮抗剂(LDE225 Diphosphate)
编号:M00741
英文名称:LDE225 Diphosphate
规格:1mL(10mM)|5mg|10mg|50mg|100mg
LDE225Diphosphate是一种有效的,选择性的Smo拮抗剂,作用于人和小鼠的Smo,IC50值分别为1.3nM和2.5nM。
注:本品仅可用于科研实验,严禁用于临床医疗及其他用途!
CAS号:1218778-77-8
别名:NVP-LDE 225 Diphosphate;Erismodegib Diphosphate
纯度:99.83%
分子式:C₂₆H₃₂F₃N₃O₁₁P₂
分子量:681.49
结构式:

储存条件:-20℃,有效期2年,溶入溶剂后-20℃请尽量在一个月内使用。
北京现货TGF-βRI抑制剂(ALK5抑制剂)(SD-208)促销关键词:ALK5抑制剂,TGF-βRI抑制剂(ALK5抑制剂)(SD-208),627536-09-8
2′-脱氧鸟苷-5′-二磷酸三*盐 2-IP 102783-74-4
D-半乳糖醛酸 TES 91510-62-2
ARB13347 牛一氧化*(代"氮")(NO)酶联免疫定量检测
BTN130904 超级杂交液(Oligo探针) SuperHyb Solution for Oligo
ARB13935 猪组胺(His)Elisa方法检测 Porcine Histamine,His ELISA KIT
ARB13120 小鼠钩端螺旋体IgG(Lep IgG)酶免分析 Mouse leptospira igg,lep igG ELISA KIT
PY01-016 脱氧胆酸* 25克
593-84-0 Guanidine 异硫*酸胍
ARB10525 人白细胞弹性蛋白酶(HLE)尿液中含量检测 Human leukocyte exastase,hle ELISA KIT
BL1062 乳糖胆盐培养基
碱性磷酸酶封闭液(乙酸法) 100ml
B1101 小牛血清(辐照灭菌) 100ml/200ml/500ml/500ml*20瓶
D-丙*酸甲酯盐*(代"酸")盐 BCIG 14316-06-4
DL-正缬*酸 Phenylpyruvic acid 760-78-1
*甲*(代"酚")绿* Maltose monohydrate 62625-32-5
北京现货TGF-βRI抑制剂(ALK5抑制剂)(SD-208)促销关键词:ALK5抑制剂,TGF-βRI抑制剂(ALK5抑制剂)(SD-208),627536-09-8
ARB13492 鸡透明质酸(HA)Elisa方法检测 Chicken hyaluronic acid,ha ELISA KIT
ARB12906 小鼠白介素1β(IL-1β)酶免分析 Mouse interleukin 1β,IL-1β ELISA KIT
PY01-162 磷酸二**(无水) 500克
谷胱甘肽过氧化物酶 Sodium phosphomolybdate hydrate 9013-66-5
ARB10019 人3-羟基-3-甲基戊二酰辅酶A合酶1(HMGCS1)尿液中含量检测 Human 3-hydroxy-3-methylglutaryl-coenzyme a synthase 1,hmgcs1 ELISA KIT
J0201 兔抗牛血清白蛋白抗血清
F010112 小鼠抗赭曲霉毒素抗体 Monoclonal Mouse Anti-ochratoxin
ARB13054 小鼠转化生长因子β1(TGF-β1)elisa检测 Mouse transforming growth factor β1,tgf-β1 ELISA KIT
高效核酸转染试剂
ARB12235 大鼠血清淀粉样蛋白A(SAA)ELISA检测服务 Rat serum amyloid a,saa ELISA KIT
SJ0409 MUG4 甲基伞形酮葡萄糖苷酸
ARB11672 人维生素D结合蛋白(DBP)Elisa定量检测 Human vitamin d-binding protein,dbp ELISA KIT
H0301 新生牛血浆(去红细胞、无菌过滤)
CYB162020 兔抗羊IgG(抗血清) 0.5ml
ARB12581 大鼠凋亡诱导因子(AIF)elisa检测操作说明书 Rat apoptosis inducing factor,aif ELISA KIT
牛血红蛋白 Sodium Glycinate 9008-02-0
D-生物素 L-Alanine ethlester hydrochloride 58-85-5
9000-91-3 β-Amylase β-淀粉酶
巴氏染色液(EA36) Papanicolaou EA36 4×100ml|4×500ml
碱式乙酸铝 BBD 142-03-0
BL0977 狗外周血淋巴细胞分离液
ARB11205 人组织蛋白酶抗体(CAth Ab)含量检测 Human cathepsin antibodies,cath ab ELISA KIT
我公司生产供应销*(代"售")的抑制剂激活剂正全品类优惠促销,十分期待您的咨询选购北京现货TGF-βRI抑制剂(ALK5抑制剂)(SD-208)促销。
风险提示:丁香通仅作为第三方平台,为商家信息发布提供平台空间。用户咨询产品时请注意保护个人信息及财产安全,合理判断,谨慎选购商品,商家和用户对交易行为负责。对于医疗器械类产品,请先查证核实企业经营资质和医疗器械产品注册证情况。
文献和实验【求助】克隆100个已知序列的基因于带有绿色荧光蛋白的载体中需要多少时间和经费?
过该公司产品。 buyqcn 雪中梅 wrote: 北京傲锐东源公司: http://www.cdna.com/newEbiz1/EbizPortalFG/portal/html/cDNA.html?GeneralContentShow_DocID=c373e913e2400b208f7ebd191dbffbe8 全长cDNA克隆: TrueORF cDNA克隆:人及小鼠ORF克隆分别为25
Nature Cancer I 生物标志物多参数评估mTLS预测实体瘤免疫治疗效果
知名制药企业,CRO 公司,研究所等多家著名机构以多重免疫荧光整体方案为主要方法,对三个不同类型癌症患者的独立样本进行大规模回顾性分析,发现: (1) 较高密度的三级淋巴结构 (TLS) 的高密度性与 CD8+ T 淋巴细胞肿瘤浸润密度相关,是细胞杀伤性免疫反应激活的特征; (2) B 细胞和成熟 TLS 可预测接受免疫检查点抑制剂治疗的患者的预后; (3) 泛肿瘤/“肿瘤不可知”生物标志物:TLS 在 11 种不同肿瘤类型中的存在与 PDL-1 轴阻断功效相关; (4)为了更可靠地评估
肿瘤、白血病、自身免疫性疾病、先天或后天性免疫缺陷性疾病、严重感染等皮试反应可减弱或阴性。 4.应用免疫抑制剂患者。 若SK-SD呈阴性反应时,可应用多种抗原如结核菌素、二硝基氯苯等进行皮肤试验,以确定是否存在细胞免疫功能低下;有条件者可用流式细胞仪检测T细胞亚群,则更易判断。
技术资料暂无技术资料 索取技术资料










