相关产品推荐更多 >
万千商家帮你免费找货
0 人在求购买到急需产品
- 详细信息
- 文献和实验
- 技术资料
- 库存:
905
- 英文名:
Coelenterazine f
- 保质期:
长期
- 供应商:
北京百奥莱博科技有限公司
- 保存条件:
冷藏
特别声明:本产品及我公司所售其他产品均为科研类试剂产品,严禁用于药物、医疗及其他非科研用途。
北京百奥莱博主要从事生物试剂的生产和销*(代"售"),产品线涵盖北京腔肠素f优惠促销在内的细胞生物学试剂产品,还包括PCR及荧光定量PCR、核酸提取试剂盒类、样本核酸保护试剂、核酸提取、克隆与转化、蛋白纯化、蛋白检测、免疫组化、细胞凋亡与抗体等。
名称:北京腔肠素f优惠促销
编号:SY0237
品牌:百奥莱博
英文名:Coelenterazine f
产地:国产|进口
本品为粉末形式供应的腔肠素f(Coelenterazine f),与天然腔肠素结构上的唯一差别在于将其R-1位酚基上的羟基替换成*(F),是水母发光蛋白(aequorin)的首选底物。当腔肠素f和水母蛋白(Apoaequorin)一起被部分氧化得以活化,生成腔肠素的亚稳态复合物(aequorin)。与天然腔肠素-水母蛋白(Apoaequorin)复合物产生的光子总数相比,此复合物仅产生80%的光子能。但是其优点在于:仅需非常少的时间来生成aequorin复合物(通常来说此步反应很慢,比如60min内仅有40%的天然腔肠素完成反应)。另外,当其与Ca2+接触,即可快速且高产量的发光,产能强度是天然腔肠素的20倍。具有最好的细胞渗透性。当需要极高的Ca2+检测灵敏度来研究水母蛋白再生实验,推荐使用本底物。
腔肠素(Coelenterazine)是自然界中资源最丰富的天然荧光素,是绝大多数海洋发光生物(超过75%)的光能贮存分子。腔肠素可作为许多荧光素酶的底物,比如海肾荧光素酶(Rluc),Gaussia分泌型荧光素酶(Gluc),以及包括水母发光蛋白(aequorin)和薮枝螅发光蛋白(Obelia)在内的光蛋白(Photoproteins)。其发光原理是:以腔肠素为底物的荧光素酶在有分子氧的条件下,氧化腔肠素,产生高能量的中间产物,并在此过程中发射蓝色光,峰值发射波长约为450~480nm。与甲虫(或萤火虫)荧光素/荧光素酶系统不同,腔肠素/荧光素酶系统不需要三磷酸腺苷(ATP),因此更便于体内生物荧光的研究。因此,腔肠素常用作基于荧光分析的报告基因检测以及活体动物检测的发光底物。
腔肠素还能在酶非依赖性的氧化体系中自发荧光,细胞和组织内的超氧阴离子和过氧化亚硝基阴离子能够增强该自发光信号,因此其也可用来检测细胞/组织内活性氧(ROS)水平。
腔肠素具有能量转移的特性— —生物发光共振能量转移(Bioluminescence Resonance Energy Transfer,BRET),利用此特性,当与荧光蛋白如GFP的突变体(增强的黄色荧光蛋白,EYFP)联合使用,在底物腔肠素存在的情况下,荧光素酶(如Rluc)催化底物发生蓝光,能量随之转移到EYFP上,发出绿光(~530nm)。这两个蛋白的相互作用可以通过Rluc融合蛋白和EYFP融合蛋白两者间的相互关系来评估,适用于研究蛋白-蛋白之间的相互关系。另外,由于BRET的信号可通过比较绿光和蓝光的量来进行测定,消减了因细胞数、细胞类型和其他实验变量而引起的数据变量,适用于高通量筛选如药物开发。
更为重要的一个功能,水母发光蛋白复合物(Aequorin)由22kDa的水母蛋白(Apoaequorin protein)、分子氧和底物腔肠素组成。只有当*离子(Ca2+)与该复合物结合后,腔肠素才能被氧化生成高能量产物Coelenteramide,同时释放出CO2和蓝色荧光(~466 nm)。正是此Ca2+依赖性的反应过程(见图1),使得腔肠素非常适用于监测活细胞内*离子水平。与常规的荧光*离子指示剂相比,其主要具有以下几个优点,1)能检测较大范围的*浓度 – 从0.1 μM至 >100μM;2)样品无自体荧光,背景荧光低于使用荧光*离子指示剂;虽然信号比使用荧光*离子指示剂弱,但是通过成像仪器可以得到更高的信噪比,因此具有更高的灵敏度。3)水母发光蛋白复合体能够稳定维持在细胞内,使其能够进行数小时至数天的*离子监测。

图1. 腔肠素作为水母发光蛋白辅助因子的Ca2+依赖反应流程
目前商业化的腔肠素应用最普遍的是天然腔肠素(Coelenterazine native),另外还有很多腔肠素衍生物如Coelenterazine h、Coelenterazine 400a、Coelenterazine cp、Coelenterazine f、Coelenterazine hcp、Coelenterazine n等被一一合成。理论上这些腔肠素可用于相同的实验,但是由于其发光波长,细胞膜渗透性,光量子效率上的差异,使得其在相同应用上表现出不同的实验效果。因此非常有必要根据具体实验目的选择最合适的腔肠素底物(见附录1,腔肠素及其衍生物的特性)。
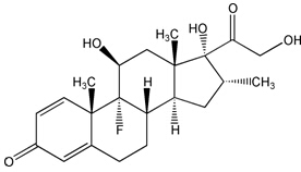
CAS:123437-16-1
分子式:C26H20FN3O2
分子量:425.46
外观:黄色至褐色粉末
溶解性:溶于甲醇或者乙醇,不可溶于DMSO
纯度:>95%(TLC)
结构:

运输和保存方法:冰袋运输。粉末-20℃避光干燥保存,最好保存在惰性气体下以避免接触空气。
注意事项
1)腔肠素f粉末最好使用惰性气体-氮气或氩气,在密封良好的塑料管中避光保存于-20℃,长期保存于-70℃。管内即使有少量空气进入,也可能造成f氧化失活,使量化分析的结果难以在不同试验间进行比较。
2)为了您的安全和健康,请穿实验服并戴一次性手套操作。
更多有关北京腔肠素f优惠促销的价格及使用说明等,请联*(代"系")我们的业务经理王欣女士咨询,我公司还销*(代"售")以下产品:
·27mm透析袋(透析分子量3.5kDa)
编号:SY0411
英文名称:Dialysis Tube MD34 (Mw3,500)
规格:1卷(5米)
透析袋通常为半透膜制成的袋状,以此为屏障对目的蛋白进行脱盐以及进行缓冲液的置换,透析的主要原理是:透析袋内样品的生物大分子被截留在袋内,而盐和小分子物质不断扩散透析到透析袋外,直到透析袋内外两边的浓度达到平衡为止。透析袋透析的动力是扩散压,扩散压是由横跨膜两边的浓度梯度形成的。透析袋透析的速度反比于膜的厚度,正比于欲透析的小分子溶质在膜内外两边的浓度梯度,还正比于膜的面积和温度,通常是4℃透析。
本透析袋参数:扁平宽度为34mm,直径27mm,截留分子量3.5kDa。
储存条件:4℃,有效期2年。
注意事项
1)每次使用后将余下的膜放回袋子并密封好,以防干裂。
2)为了您的安全和健康,请穿实验服并戴一次性手套操作。
使用方法
1)把透析袋剪成适当长度(10-20cm)的小段,具体长度需根据待透析的样品而定。
2)在大体积(eg.500mL)的2%(W/V)的碳酸**和1mmol/L EDTA (pH=8.0)中将透析袋煮沸10min。
3)用蒸馏水彻底清洗透析袋。
4)放在大体积(eg.500mL)的1 mmol/L EDTA (pH=8.0)中将之煮沸10min。
5)冷却后,存放于4℃,必须确保透析袋始终浸没在溶液内。
【注】:从此时起取用透析袋必须戴手套。
6)在使用前要用蒸馏水将透析袋里外加以清洗干净。
7)使用时,一端由透析夹夹紧,另一端灌满水,用手指稍加压,检查不漏,方可装入待透析液。
【注】:
① 通常要留1/3~1/2的空间,以防透析过程中,透析的小分子量较大或样品含盐量较高时,袋外的水和缓冲液过量进入袋内将袋涨破。
② 为了加快透析速度,除多次更换透析液外,还可使用转子边搅拌边透析。透析的容器要大,如大烧杯等。
·地塞米松溶液(10mM in DMSO)
编号:SY0481
英文名称:Dexamethasone (10mM in DMSO)
规格:25mg
地塞米松(Dexamethasone),一种抗炎糖皮质素,对细胞存活、细胞信号的转导和基因表达具有一系列的影响,如:可抑制一氧化*(代"氮")合酶的诱导作用(IC50=5 nM);可通过刺激Na+-K+泵增强大动脉平滑肌细胞阳离子的运输作用;可降低周期蛋白A和Cdk2的活性;抑制骨细胞G1/S的过渡;抑制Rb蛋白的磷酸化作用;诱导人胸腺细胞凋亡发生。
本品为溶于DMSO的储存液,浓度10mM。一般而言,500-1000nM 的地塞米松于37℃作用6h足可诱导凋亡发生。
中文别名:21α-乙酰氧基-9α-*-11β,17α-二羟基-16α-甲基孕甾-1,4-二烯-3,20-二酮 9α-*-16α-甲基*化泼尼松 9-*-11,17,21-三羟基-16-甲基(11b,16a)-孕甾-1,4-二烯-3,20-二酮德沙美松
英文别名:9α-Fluoro-16α-methylprednisolone,PrednisoloneF,(11β,16α)-9-Fluoro-11,17,21-trihydroxy-16-methylpregna-1,4-diene-3,20-dione,9α-Fluoro-16α-methyl-11β,17α,21-trihydroxy-1,4-pregnadiene-3,20-dione
CAS:50-02-2
分子式:C22H29FO5
分子量:392.46
外观:无色液体(10mM in DMSO)
储存条件:-20℃
结构式

北京腔肠素f优惠促销关键词:Coelenterazine f,123437-16-1,腔肠素f
·AhR-Luc荧光素酶报告基因质粒
编号:SY0095
英文名称:AhR luciferase reporter plasmid
规格:1μg
AhR荧光素酶报告基因(报告基因质粒)(AhR luciferase reporter plasimd)是用于检测AhR转录活性水平为目的的报告基因。芳香族化合物受体(Aryl
hydrocarbon receptor, AhR)是一个核受体转录因子。AhR广泛地参与多种细胞内的信号通路,包括核受体信号通路,缺氧诱导因子(hypoxia-inducible factor,HIF)信号通路,p53信号通
路以及细胞周期信号通路等。AhR通过对细胞内不同信号通路的调节作用从而影响了细胞的生长,增殖以及分化等过程。另外,AhR与癌症的发生和发展也密切相关,在许多的肿瘤细胞中都
发现了AhR的异常表达。
AhR报告基因主要用于检测细胞中AhR的转录活性、药物研究以及基因过表达和RNAi的表性分析等。
pGMAhR-Lu是我公司改造后的哺乳动物真核表达载体,在其多克隆位点插入了多个AhR结合位点,可以高灵敏度地检测AhR的激活水平。同时,对载体中预测出的其它转录因子以外的结
合位点进行了适当的突变,增加了质粒的转录因子结合特异性。由于质粒体积减小,使得AhR报告基因质粒更易于转染。
质粒图谱

注意事项
本质粒未经我公司允许不得用于任何商业用途,也不得移交给订货人实验室以外的任何人或单位。
为了您的健康,实验操作时请穿实验服和带一次性手套。
使用说明
pGMAhR-Lu可以采用常规转染方法转染哺乳动物细胞。用荧光素酶检测试剂盒或双荧光素酶检测试剂盒进行检测。
储存条件:-20℃。
北京腔肠素f优惠促销关键词:Coelenterazine f,123437-16-1,腔肠素f
·10%预制胶,12孔
编号:SY0373
英文名称:Precast Protein Gels, 10%, 12 wells
规格:1盒(10块)
本品通过pH中性缓冲液制备,丙*(代"烯")酰胺与甲叉丙*(代"烯")酰胺配比是29:1,其规格为浓缩胶5%,分离胶10%,胶板尺寸10×8cm,凝胶厚度1 mm,12孔梳齿,单孔最大上样量30 µl。电泳及转膜缓冲液使用传统的tris-glycine缓冲液,蛋白条带直且尖锐。本品兼容Biorad,天能及北京六一的mini胶电泳槽及其他任何胶板宽度在10 cm的电泳槽。
N,N-亚甲基双丙*(代"烯")酰胺(甲叉丙*(代"烯")酰胺)交联剂的浓度不同从而分离不同大小范围的蛋白质。与传统实验室自行配制凝胶相比,使用预制胶具有以下优点:1)即开即用,不用再配制N种溶液、灌胶、等胶凝固,节省了宝贵的时间和精力;2)不用接触几种具有积累性神经毒性的试剂(丙*(代"烯")酰胺/甲叉丙*(代"烯")酰胺:神经毒性和遗传毒性;TEMED:强神经毒;过硫*(代"酸")铵:可严重损伤呼吸道,眼睛,皮肤);3)大规模生产,胶与胶之间重复性好,质量稳定,不像手工灌胶那样结果差异大。
使用方法
1)剪开包装取出胶,撕去胶板底端胶纸,将预制胶固定在电泳槽中,加入电泳缓冲液没过梳齿部位,双手按住梳子左右部位将其平稳缓慢(一定要慢,否则会将胶齿拔断或拔歪)拔出,在前后板的上方中央卡上一个“V”型卡(通过加固前后板,不仅可防止枪头上样用力过猛撬开两板产生缝隙,还可稳定跑胶质量,电泳过程中“V”型卡不可取出),上样后进行电泳,电泳后取出胶板,用镊子或小螺丝刀沿左右两板间的缝隙将两板别开,将胶取出,弃去塑料板。
2)电泳:使用《分子克隆》指定的 tris-glycine电泳缓冲液(tris 25 mM, glycine 250 mM, SDS 0.1%)。推荐使用低压100V,15min换高压150V跑至电泳结束。
3)转膜:使用《分子克隆》的 tris-glycine 电转缓冲液(含 20%甲醇或乙醇),操作与实验室原有操作完全相同。
储存条件:4℃,有效期一年。
注意事项
1)为了您的安全和健康,请穿实验服并戴一次性手套操作。
2)本品含有的部分试剂如丙*(代"烯")酰胺和甲叉双丙*(代"烯")酰胺有毒,对人体有害,请注意适当防护。
3)电泳及电转缓冲液建议使用新配制的缓冲液,试剂纯度不够,反复使用或长期放置过的缓冲液会降低电泳效果。传统《分子克隆》的tris-glycine 电泳及电转缓冲液是不用 NaOH 和 HCl 调整 pH ,因为引入的*离子和*离子会影响电泳效果。
4)电泳前请务必撕去胶板底端的胶纸,否则电路不通,无法电泳。
5)拔梳子时最好浸没在电泳缓冲液中拔,一方面由于液体润滑梳子更容易拔,另一方面不会产生气泡。另外拔梳子时越慢越好,如此可防止梳齿被拔断或拔歪。
6)在电泳后开板取胶时,用小号一字螺丝刀或中号镊子插入左右两板间缝隙,用力搬动,两板即可应声分开,此时两板底部还不能分开,要通过掰开两板取出凝胶。
7)在上样前,使用“V”型卡加固前后板(加样和电泳过程“V”型卡不可移动或拔出),使用时只需将一个“V”型卡“轻轻地”(不必卡到底,不掉即可)卡在前后板的上端中间区域,可确保上样不会产生板胶间的缝隙从而导致样品泄露,电泳时“V”型卡不必取出如此可有助于稳定跑胶质量。
8) 本预制胶对于Biorad和天能的电泳内外槽存在微小泄露,可通过两种方式解决本问题:一是内槽加满缓冲液,外槽液面加至距内槽液面3-5mm,从而可防止在电泳过程中内槽液面逐步下降。另一种解决方式是将Biorad的硅胶封闭垫取出后反过来安装,使其没有凸起的平滑面朝外,从而防止漏液。
我公司强烈推荐报告基因检测系列产品,热情期待您的咨询选购北京腔肠素f优惠促销。
风险提示:丁香通仅作为第三方平台,为商家信息发布提供平台空间。用户咨询产品时请注意保护个人信息及财产安全,合理判断,谨慎选购商品,商家和用户对交易行为负责。对于医疗器械类产品,请先查证核实企业经营资质和医疗器械产品注册证情况。
文献和实验【信息】【新年促销】德国IBL儿茶酚胺类ELISA试剂盒优惠大促销 5.5~7.5折优惠
德国IBL国际有限公司是一家有着近30年经验的专业医疗诊断试剂研发制造商,其产品均已经通过ISO9001、ISO13485和欧洲CE认证,并且通过了美国FDA的认证。公司产品系列包括生物胺系列、传染病系列、新生儿筛查系列及不孕系列等ELISA产品及放免产品。深圳市科润达生物工程有限公司,为德国IBL公司中国(含港澳地区)独家代理商!现我公司推出德国IBL儿茶酚胺/生物胺类检测试剂优惠大促销活动,即日起,通过深圳科润达生物购买德国IBL儿茶酚胺/生物胺类产品,即可获得5~7.5折优惠! 活动时间
至010-80485460或E-mail至 liuyu@genomics.cn。010-80485460或E-mail至liuyu@genomics.cn。培训费用:全程培训(讲座+实验): 3500元/人,学生为 2900元/人。 注:学生报到请带学生证培训费用包含会务费、资料费、餐费。培训期间公司协助安排住宿,费用自理。 三、相关促销政策 参加本届培训班的学员可以享受公司提供的常规技术服务八折优惠。优惠有效时间2013.10.17-2013.12.31 四、汇款信息 账号
的艺术工作者们早早便开始 「体验底层生活」。中戏是最早起步筹建分校区的高校之一,如今中戏昌平校区已投入使用多年,从最初学生们口中凄风冷雨的荒地到如今已具规模,各项教学生活配套设施齐全,中戏本部的各种功能已经基本完成分流,成为了分校区建设的成功范式。中戏本部及昌平校区宿舍图二说北师宿舍同样是北京三环内的北京师范大学就没那么幸运,由于沙河校区的推进滞后,学校不得不在大运村安排研究住宿与本部通勤,这种状态持续 10 年之久。等待沙河分校区终于投入使用,窗明几净独立卫浴成为学生们口耳相传的豪华宿舍范本。北师
技术资料暂无技术资料 索取技术资料










