相关产品推荐更多 >
万千商家帮你免费找货
0 人在求购买到急需产品
- 详细信息
- 文献和实验
- 技术资料
- 库存:
797
- 英文名:
STAT5 GFP Reporter Plasmid
- 保质期:
长期
- 供应商:
北京百奥莱博科技有限公司
- 保存条件:
-20℃
特别声明:本产品及我公司所售其他产品均为科研类试剂产品,严禁用于药物、医疗及其他非科研用途。
北京百奥莱博专业生产供应STAT5-GFP报告基因质粒哪里卖,我公司销*(代"售")全品类的细胞生物学试剂,价格优惠,欢迎广大科研工作者垂询订购。
名称:STAT5-GFP报告基因质粒哪里卖
品牌:百奥莱博
产地:国产|进口
规格:1μg
英文名:STAT5 GFP Reporter Plasmid
编号:SY0203
STAT5-GFP报告基因是用于检测STAT5转录活性水平为目的的报告基因。Stat5是信号转导和转录活化蛋白(signal transduction and activator of transcription,Stat)家族的重要成员,参与了Jak/Stat信号通路调控。Stat5能够影响细胞的增殖、分化、存活与凋亡,并且在乳腺发育、免疫应答、干细胞自我更新调控、造血作用以及肿瘤的发生发展等中具有重要作用。
STAT5-GFP报告基因主要用于检测Jak/Stat信号通路、药物研究、基因过表达和RNAi的表型分析等。
pGMSTAT5-GFP是我公司改造后的哺乳动物真核表达载体,在其多克隆位点插入了多个STAT5结合位点,可以高效地检测STAT5的激活水平。由于载体采用了GFP作为报告基因,更便于后续的检测。同时,对载体中预测出的其它转录因子以外的结合位点进行了适当的突变,增加了质粒的转录因子结合特异性。另外,由于质粒体积减小,使得STAT5-GFP报告基因更易于转染。
质粒图谱

pGM STAT5 -GFP质粒测序引物
5’-TAGCAAAATAGGCTGTCCC-3’
使用说明
pGMSTAT5-GFP可以采用常规转染方法转染哺乳动物细胞。
注意事项
1)本质粒未经我公司允许不得用于任何商业用途,也不得移交给订货人实验室以外的任何人或单位。
2)为了您的健康,实验操作时请穿实验服和带一次性手套。
储存条件:-20℃。
欲了解更多STAT5-GFP报告基因质粒哪里卖的品牌、产地、价格及说明书等产品信息,请致电北京百奥莱博科技有限公司,我们将竭诚为您服务,另外,以下产品正在火爆促销:
·AEBSF
编号:SY0312
英文名称:AEBSF
规格:50mg
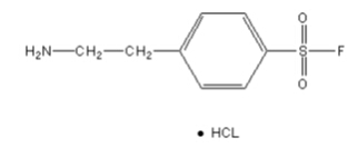
EBSF,英文名4-(2-Aminoethyl)benzenesulfonyl fluoride hydrochloride,中文名4-2-胺乙基*磺酰*盐*(代"酸")盐,是一种水溶性,不可逆的丝*酸蛋白酶抑制剂,广谱抑制胰蛋白酶、糜蛋白酶、纤溶酶、激肽释放酶和凝血酶活性。高产品蛋白纯化过程中往往需要蛋白酶抑制剂来预防蛋白降解,并提高蛋白制剂的纯度。AEBSF是传统蛋白酶抑制剂PMSF和DFP的替代物,因其毒性低,水溶性强,但水溶液稳定性更好。另外,AEBSF的抑制常数类似于 PMSF和DFP,且LD50(依小鼠的口服剂量)高于PMSF和DFP。近期报道发现AEBSF可以延长急性弓形虫感染小鼠的寿命,且在SNU-16人胃腺癌细胞中抑制TNF-α诱导的所有凋亡特征。
AEBSF已用于细胞培养及下游纯化,使用浓度可达 0.25 mM,推荐使用浓度为0.1-1 mM。
中文别名:4-(2-*乙基)*磺酰*盐*(代"酸")盐;;4-(2-*基乙基)**磺酰盐*(代"酸")盐
英文别名:AEBSF HCL; PEFABLOC SC;4-(2-Aminoethyl)benz;
分子式:C8H10FNO2S.HCl
分子量:239.7
CAS:30827-99-7
纯度:≥98%
外观:白色或灰白色结晶
熔点:180~182℃
溶解性:溶于水(50mg/ml),DMSO(50mg/ml)
结构式:

注意事项
1)AEBSF可诱导蛋白修饰,例如,可能影响蛋白的等电点。
2)AEBSF水溶液呈微弱酸性,4℃保持可维持其抑制活性高达6个月。而pH高于7.0水溶液稳定很弱。
3)为了您的安全和健康,请穿实验服并戴一次性手套操作。
储存条件:-20℃,有效期三年。
STAT5-GFP报告基因质粒哪里卖关键词:STAT5-GFP报告基因质粒,STAT5 GFP Reporter Plasmid,SY0203
·NTP套装(100 mM each)
编号:SY0056
英文名称:NTP Set (ATP, CTP, UTP, GTP, 100 mM each)
规格:4×1mL
本品为ATP、UTP、GTP和CTP共4种溶液的套装,可用于分子生物学中多种相关应用,如体外转录、RNA扩增,siRNA合成等。还可作为多种酶的反应底物或辅酶。
本品为纯度≥99%的ATP、UTP、GTP和CTP的三*盐配制所得的无色透明水溶液,pH (25℃)= 7.0±0.1,浓度为100mM,且无DNase和RNase污染。
产品组份:
| 组分名称 | 规格 | 保存 |
| ATP(100mM) | 1ml | -20℃保存 |
| UTP(100mM) | 1ml | -20℃保存 |
| CTP(100mM) | 1ml | -20℃保存 |
| GTP(100mM) | 1 ml | -20℃保存 |
注意事项
1) 可以室温溶解,溶解后需置于冰上,使用完毕后宜立即置于-20℃保存。
2) 为了您的安全和健康,请穿实验服并戴一次性手套操作。
·红细胞裂解液
编号:SY0539
英文名称:Red Blood Cell Lysis Buffer
规格:100mL
本产品采用了一种简便易行的方式,经配方优化保证既不破坏白细胞又能充分的将红细胞裂解去除,适用于人,大小鼠等哺乳动物新鲜血液。通常情况下,可以获得血液样品中全部白细胞的 80% 以上并充分保证白细胞的生物活性。
本产品主要成分是*化铵,即用型溶液,能快速、有效的裂解红细胞,富集分离白细胞。获得的白细胞生物活性好,可直接应用于流式细胞术,核酸或蛋白的提取,PCR等下游实验。
操作步骤
使用前先将低温保存红细胞裂解液平衡至室温。然后在血液样品中加入3倍体积红细胞裂解液 (例如,300 μl血液加入900 μl红细胞裂解液),颠倒混匀,室温放置5min,期间再颠倒混匀几次 ,10000rpm离心1min (若是离心机最高转速不允许,可以3000rpm离心5min),吸去上清。用适当的缓冲液(如PBS, pH 7.2~7.4)清洗一遍。离心后留下白细胞沉淀进行后续的操作。
注意事项
1)本试剂适用于从 1μl 到 10ml 的血液样品中分离白细胞,获得的白细胞可进行下游实验。
2)为了提取到最佳的核酸或蛋白,请使用新鲜血液或保存时间低于 7 天的血液。如产生血凝块,将其去除。尽量采用抗凝管采集样本。
3)通常情况下,血液样品与红细胞裂解液按 1 : 3 比例裂解,对一些特殊病例如白血病、红细胞增多症等,建议采用 1 : 4 或更高比例以保证结果。
4)本品重要成分是*化铵,不能保证有效裂解有核红细胞,如鸟类,爬行动物、鱼类等血液中的红细胞。
5)本品也可用于哺乳动物组织中红细胞的裂解。
储存条件:2-8℃
STAT5-GFP报告基因质粒哪里卖关键词:STAT5-GFP报告基因质粒,STAT5 GFP Reporter Plasmid,SY0203
DL-α-硫辛酸 3-Methylindole 1077-28-7
酒石酸*铵 DL-Cysteine 3095-65-6
BL1234 IPTG溶液(50mg/ml)
ARB12124 大鼠丙二醛(MDA)酶免分析 Rat malondialchehyche,mda ELISA KIT
PY01-058 肉桂酸 25克
SJ0778 磷酸组胺
二**(代"胺")盐*(代"酸")盐 L-Alaninamide hydrochloride 587-84-8
F040309 小鼠IgG2b抗原 Mouse IgG2b
CYB164001 羊抗人IgA(α链特异)-HRP
ARB11027 人尿激酶型纤溶酶原激活物受体(PLAUR/uPAR)酶联免疫定量检测 Human urokinase-type plasminogen activator receptor,plaur/upar ELISA KIT
BL1258 MarkerⅡDNA Ladder
CYB166024-D 兔抗鸡IgG-GOLD
D-葡萄糖醛酸内酯 DL-Serine 32449-92-6
ARB10720 人军团菌抗体IgG(LP Ab-IgG)ELISA代测服务 Human legionella antibody igg,lp ab-igG ELISA KIT
顺式六**二甲*(代"酸")酐 Amberlite XAD4 13149-00-3
O-*并三氮唑-N,N,N,N,-四甲脲六*磷酸酯 TLCK 94790-37-1
ARB13164 小鼠热休克因子1(HSF1)elisa测定使用说明书 Mouse heat shock factor 1,hsf1 ELISA KIT
F050308 小鼠IgG2a抗体 Mouse IgG2a
PY02-432 SBG磺胺增菌液 250克
BTN100910 长效期SDS-PAGE还原剂 SDS-PAGE Reducing Agent
ARB11943 大鼠6酮前列腺素F1A(6-keto-PGF1A)elisa检测说明书 Rat 6-keto-prostaglandin f1a,6-k-pgf1a ELISA KIT
丁香酸 GSH 530-57-4
我公司正在火爆促销报告基因检测系列产品,欢迎您的垂询选购STAT5-GFP报告基因质粒哪里卖。
风险提示:丁香通仅作为第三方平台,为商家信息发布提供平台空间。用户咨询产品时请注意保护个人信息及财产安全,合理判断,谨慎选购商品,商家和用户对交易行为负责。对于医疗器械类产品,请先查证核实企业经营资质和医疗器械产品注册证情况。
文献和实验小猪默默 请教高人: 我现在想用GFP做报告基因,在大肠杆菌中表达蛋白,想请教一下大家用GFP做报告基因是就是在含有GFP的质粒中扩GFP的全长吗?有没有人对GFP基因进行过改造?让报告基因的序列最短还能使表达的蛋白发荧光? Fasta921 1、如果你单纯想表达GFP蛋白,那么转化含GFP基因的表达载体即行。 2、如果你想表达GFP融合蛋白,那么在GFP上游或下游插入目的基因即可。只是有些细节要注意
蛋白;③含多个内部起始序列和多个终止转移序列 T多次跨膜的膜蛋白。 2. GFP的特性 绿色荧光蛋白(green fluorescent protein, GFP)是一种能够自身催化形成发色结构,并在蓝光或紫外光的激发下发出荧光的新型报告基因。GFP的发现及其研究迅速发展,使人们能够在正常生活条件下对活细胞内分子水平上进行的各种过程及其分子机理进行观察和研究。目前的研究表明,GFP能在多种生物,如细菌,酵母,植物及哺乳动物中
。整个实验操作流程提供长期稳定及规模可调的蛋白生产。与稳定基因表达相比,瞬时表达(TGE)主要适用于短期内制备重组蛋白,普健生物的瞬时表达使用悬浮细胞,能够完成mL到100L的体积的蛋白表达,一般在10天内即可快速转染,无需质粒DNA的遗传性选择。 08转染效率监测 基因的瞬时表达在24-72小时内就结束了。这种快速的瞬时表达非常适用于验证质粒表达和监测转染步骤的效率。 可以使用报告基因来确定优化条件,其表达蛋白易检测,在目的细胞中不含此蛋白或水平很低。常用的报告基因包括氯霉素乙酰转移酶(CAT
技术资料暂无技术资料 索取技术资料










