相关产品推荐更多 >
万千商家帮你免费找货
0 人在求购买到急需产品
- 详细信息
- 文献和实验
- 技术资料
- 库存:
856
- 英文名:
Oct4 GFP Reporter Plasmid
- 保质期:
长期
- 供应商:
北京百奥莱博科技有限公司
- 保存条件:
-20℃
特别声明:本产品及我公司所售其他产品均为科研类试剂产品,严禁用于药物、医疗及其他非科研用途。
北京百奥莱博专业生产销*(代"售")SY0190型Oct4-GFP报告基因质粒厂家,我公司供应的细胞生物学试剂品类齐全,且具有优势价格,欢迎新老客户垂询订购。
名称:SY0190型Oct4-GFP报告基因质粒厂家
英文名:Oct4 GFP Reporter Plasmid
编号:SY0190
规格:1μg
品牌:百奥莱博
OCT4-GFP报告基因是用于检测OCT4转录活性水平为目的的报告基因。Oct4是参与调控胚胎干细胞自我更新和维持其全能性的最为重要的转录因子之一,同时也是体外建立诱导多功能干细胞(iPS)的关键基因。
OCT4-GFP报告基因主要用于检测细胞中Oct4信号通路、药物研究、基因过表达和RNAi的表型分析等。
pGMOCT4-GFP是我公司改造后的哺乳动物真核表达载体,在其多克隆位点插入了多个OCT4结合位点,可以高效地检测OCT4的激活水平。由于载体采用了GFP作为报告基因,更便于后续的检测。同时,对载体中预测出的其它转录因子以外的结合位点进行了适当的突变,增加了质粒的转录因子结合特异性。另外,由于质粒体积减小,使得OCT4-GFP报告基因更易于转染。
质粒图谱

pGM OCT4 -GFP质粒测序引物
5’-TAGCAAAATAGGCTGTCCC-3’
使用说明
pGMOCT4-GFP可以采用常规转染方法转染哺乳动物细胞。
注意事项
1)本质粒未经我公司允许不得用于任何商业用途,也不得移交给订货人实验室以外的任何人或单位。
2)为了您的健康,实验操作时请穿实验服和带一次性手套。
储存条件:-20℃。
SY0190型Oct4-GFP报告基因质粒厂家极具性价比,此外,我公司正火爆促销以下产品:
HC0121 尼龙膜(0.45um)
BTN80903 大提柱式植物RNAOUT Maxi Column Plant RNAOUT
PY02-214 厌氧肉肝汤 250克
ARB11547 人凋亡相关因子(FAS/CD95)ELISA检测服务 Human factor-related apoptosis,fas ELISA KIT
ARB11395 人神经肽A(NKA)检测服务 Human neurokinins a,nkb ELISA KIT
7761-88-*(代"8") 硝酸*(代"银") Silvernitrate
BL0829 HRP标记兔抗生物素抗体
65-23-6 维生素B6(盐*(代"酸")吡哆素) VitaminB6
PY01-115 β-淀粉酶(1:100000) 100克
F030811 BIOTIN标记山羊抗小鼠IgA抗体 Goat Anti-Mouse IgA*BIOTIN
ARB10573 人百日咳毒素(PT)尿液中含量检测 Human pertussiu toxin,pt ELISA KIT
BTN80935 剥离硅烷 Repeling Silane
BPTE电泳缓冲液(10×,RNase free) 500ml
ARB13562 兔子可溶性P选择素(sP-Selectin)代做ELISA实验 Rabbit soluble P-Selectin,sP-Selectin ELISA KIT
HC0050 吸头(长)
BL0901 FITC标记羊抗小鼠IgG抗体
25249-54-1 PVPP 聚乙*(代"烯")聚吡*(代"咯")烷铜
Taq Plus MasterMix
SY0190型Oct4-GFP报告基因质粒厂家关键词:Oct4 GFP Reporter Plasmid,SY0190,Oct4-GFP报告基因质粒
79-57-2 Teffamycin 土霉素
PY02-058 煌绿蛋白胨肉汤 250克
J0302 兔抗猴IgG(H+L)抗血清
CYB162020 兔抗羊IgG(抗血清) 0.5ml
ARB12581 大鼠凋亡诱导因子(AIF)血清中含量检测 Rat apoptosis inducing factor,aif ELISA KIT
牛血红蛋白 Sodium Glycinate 9008-02-0
D-生物素 L-Alanine ethlester hydrochloride 58-85-5
ARB10903 人抗滋养膜细胞抗体(ATA)ELISA代测服务 Human anti-trophoblast antibody,ata ELISA KIT
ARB14242 猪金属硫蛋白(MT)酶标法分析
10191-18-1 N,N-双(2-)-2-*基乙磺酸 BES
HC0340 单道雷勃彩色移液器(半彩)
印度墨汁 100ml
PY08-073 0.85%生理盐水 225ml 20瓶/箱 用作稀释液
BL0807 HRP标记羊抗人IgG抗体
DP318 血液基因组提取试剂盒
PY08-044A 营养肉汤 225ml 20瓶/箱,用于一般营养不苛求细菌的培养
ARB10674 人血管紧张素Ⅴ(ANGⅤ)ELISA代测服务
1,4-二甲氧基* Bluo-Gal 150-78-7
SJ0612 UMP Na2 5"-单磷酸鸟苷二*
SY0190型Oct4-GFP报告基因质粒厂家关键词:Oct4 GFP Reporter Plasmid,SY0190,Oct4-GFP报告基因质粒
·50×TAE缓冲液
编号:SY0263
英文名称:50×TAE Buffer
规格:250ml
TAE即Tris acetate-EDTA buffer,常用于琼脂糖和聚丙*(代"烯")酰胺核酸的电泳实验。可用作电泳以及凝胶配制缓冲液。本品是50倍浓缩的TAE,使用时需用去离子水稀释到1×TAE工作液即可。
产品组分
1×TAE工作液中含有40 mM Tris-Acetate和1 mM EDTA,pH 8.3。
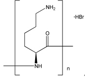
·多聚L-赖*酸(分子量15万~30万)
编号:SY0461
英文名称:Poly-L-lysine, Mw 150,000-300,000
规格:25mg
本品为多聚-L-赖*酸(Poly-L-lysine),分子量为150,000-300,000,适用于细胞培养。另外,以**酸(HBr)的形式提供,约1个赖*酸残基结合1分子的**酸,使其以稳定的结晶固体形式提供,并具有更强的水溶性。用作细胞培养基质,推荐使用量为:对于25cm2的培养板需要0.1mg/ml的聚赖*酸溶液约0.5ml-1.0ml。
多聚赖*酸(poly-lysine)是一种带正电荷的*基酸聚合物,能够结合于DNA,红细胞膜或任何带负电荷蛋白,是一种非特异性的细胞粘附因子,促进细胞吸附到固相基质上。作用机理在于其可增强细胞膜表面的负电荷离子和固相基质表面(如细胞培养皿,载玻片等)的静电相互作用。当吸附到培养表面后,多聚赖*酸提高用于细胞结合的阳离子结合位点数。多聚赖*酸分子量的大小与粘度相关,即分子量较低,粘度较低;分子量较高,粘度较高,提供的粘附位点也较多。分子量>30,000的聚赖*酸适用于促进细胞粘附到固体基质。
多聚赖*酸(poly-lysine)有两种常见亚型,D-和L-型。由于多聚赖*酸是细胞结合的非特异性粘附因子,因此两种亚型都可用作包被固体基质,在细胞培养中都可促进细胞的贴壁生长。
中文别名:多聚赖*酸溶液(L型)
英文别名:Poly-L-lysine Solution; PLL; Poly-L-lysine hydrobromide Solution
CAS:25988-63-0
分子式:L-Lys-(L-Lys)n-L-Lys·xHBr
分子量:150,000-300,000
外观:白色至类白色粉末
溶解性:溶于水(50mg/ml)
储存条件:-20℃干燥,有效期4年
结构式

注意事项
1)注意在细胞培养相关应用中,某些细胞会消化多聚 L-赖*酸并吸收,摄入过多的多聚 L-赖*酸会产生一定的细胞毒性。因此,遇到这种情况需选用多聚 D-赖*酸(Poly-D-lysine),如多聚D-赖*酸(5 mg/ml),分子量:150,000-300,000,细胞培养级,货号:SY0464。
2)将若想去除本品中的HBr,可将本品溶于中性缓冲液,可透析除去盐离子。
3)为了您的安全和健康,请穿实验服并戴一次性手套操作。
我公司生产供应销*(代"售")的报告基因检测产品正全系列现货促销,满分期待您的垂询选购SY0190型Oct4-GFP报告基因质粒厂家。
风险提示:丁香通仅作为第三方平台,为商家信息发布提供平台空间。用户咨询产品时请注意保护个人信息及财产安全,合理判断,谨慎选购商品,商家和用户对交易行为负责。对于医疗器械类产品,请先查证核实企业经营资质和医疗器械产品注册证情况。
文献和实验) 慢病毒介导CD63-GFP表达:将外泌体的特定蛋白CD63和绿色荧光蛋白GFP的表达元件构建成质粒再包装到慢病毒中,随后用此慢病毒感染细胞,使细胞分泌的外泌体带有绿色荧光。 图九 用GFP标记的外泌体分别与SH-SY5Y、BV2和DRG细胞共培养(Rui Ren et al., Artif Cells Nanomed Biotechnol. 2019) 图十 注射有CD63-GFP的外泌体后观察第1天(D1)和第5天(D2)的荧光(Rui Ren et al
发光测试中,信号是同时产生,测试是独立进行。可以测试不同的发光动力学反应或不同的发射光波。可选择的是,反应也可以按顺序被促发,如商业化的Promega公司提供的Renilla和Firefly荧光素酶双报告基因试剂。双报告系统的原理如Figure 1b.双重分析的BL/CL分析采用连续的闪烁型(Flash)发光形式,如发光蛋白水母蛋白和acridinium-9-carboxamide标记。这种方法可以在一个反应管里定量两个分析物和测试两个发光反应。因为它建立在flash型的发光上,分析测试需要非常短
的GFP),其他还有半乳糖苷酶啊,荧光素酶啊等等。一些融合表达Tag也有报告基因的功能。 启动子、终止子和核糖体结合位点 启动子:启动子的强弱是对表达量有决定性影响的因素之一。从转录模式上看有组成型表达和诱导调控型表达。lac和Tac,PL和PR,T7是最常用的启动子。 组成型表达: 表达载体的启动子为组成型启动子,也就是一直努力不停表达目的蛋白的启动子,如pMAL系统。持续性表达通常表达量比较高,成本低,但是不适合表达一些对宿主细菌生长有害的蛋白。因为过量或者有害
技术资料暂无技术资料 索取技术资料










