万千商家帮你免费找货
0 人在求购买到急需产品
- 详细信息
- 技术资料
- 保存条件:
室温
- 保质期:
长期
- 英文名:
Ketoconazole Impurity B
- 库存:
882
- 供应商:
北京百奥莱博科技有限公司
特别声明:本产品及我公司所售其他产品均为科研类试剂产品,严禁用于药物、医疗及其他非科研用途。
北京百奥莱博公司供应包括北京酮康唑杂质B标准品大量库存促销在内的化学标准品,化学对照品,杂志对照品,HPLC标准品,UV标准品等高品质标准品、对照品
名称:北京酮康唑杂质B标准品大量库存促销
编号:BP1752
规格:30mg
品牌:百奥莱博
产地:国产|进口
英文名:Ketoconazole Impurity B
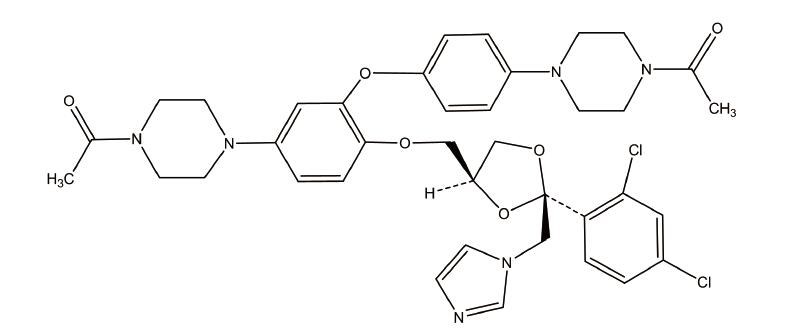
本品为酮康唑杂质B化学对照品,供酮康唑杂质检查用
分子式:C38H42Cl2N6O6
结构式:

分子量:748.3
包装及装量:安瓿;30mg/支
储存条件:常温避光保存。
更多有关北京酮康唑杂质B标准品大量库存促销的价格及使用说明等,请联系我们的业务经理王欣女士咨询,我公司还销*(代"售")以下产品:
F030109 HRP标记羊抗乙肝e抗原抗体 HRP*Polyclonal Goat Anti-HBeAg
BTN120701 链脲佐菌素溶液 Streptozotocin Solution
ARB11919 人髓系细胞触发受体-1(TREM-1)定量分析 Human triggering receptor expresses on myeloid cells-1,trem-1 ELISA KIT
ARB13080 小鼠孤腓肽(OFQ/N)ELISA检测服务 Mouse orphanin fq/nociceptin,ofq/n ELISA KIT
ARB13050 小鼠表皮调节素(EPR)elisa测定使用说明书 Mouse epiregulin,epr ELISA KIT
百里酚 Salicylamide 89-83-8
PY01-097 异烟酸 25克
9001-73-4 Papain 木瓜蛋白酶
FMOC-D-脯*酸 2-Amino-1-phenylethanol 101555-62-8
BTN130551 单细胞RNA扩增试剂盒 Single Cell RNA Amplification Kit
焦油紫 3,5-Difluoropyridine 10510-54-0
ARB12744 小鼠Apelin 12(AP12)检测服务 Mouse apelin 12,ap12 ELISA KIT
北京酮康唑杂质B标准品大量库存促销关键词:Ketoconazole Impurity B,BP1752,酮康唑杂质B
E0604 脱纤维裂解绵羊血(无菌)
D-木糖溶液(3%) 100ml
BTN100307 酸洗玻璃珠系列 Acid-Washed Glassbeads
BTN130821 阿尔玛蓝细胞增殖与细胞毒检测试剂 Alamar Blue Cell Proliferation And Cytotoxicity Detection Kit
BTN111109 DOP-PCR试剂盒 DOP-PCR Kit
PY02-253 葡萄球菌选择性琼脂 250克
F030425 胶体金标记兔抗豚鼠IgG抗体 Rabbit Anti-Guinea Pig IgG*GOLD
BTN3280 SYBR GreenⅠ,电泳级 SYBR GreenⅠ, EG
ARB13047 小鼠环孢素A(CsA)含量检测 Mouse cyclosporine a,csa ELISA KIT
ARB11732 人富组蛋白(HTN5)检测服务 Human Histatin 5,htn5 ELISA KIT
四环素 Lipofectamine 2000 Transfection Reagent 60-54-8
ARB10638 人血管内皮抑素抗体(ES-Ab)代做ELISA实验 Human anti-endostatin antibody,es-ab ELISA KIT
碱性磷酸二酯酶检测试剂盒(PNP比色法) 50T
北京酮康唑杂质B标准品大量库存促销关键词:Ketoconazole Impurity B,BP1752,酮康唑杂质B
酮康唑杂质B为高校实验室,各大科研单位专用试剂,不得用于生产或者其它用途,本公司提供各种品牌的进口的试剂来满足不同客户的需求,欢迎前来订购!
·西贝母碱
编号:BP1064
英文名称:Sipeimine
规格:约20mg/支
本品为西贝母碱化学对照品,供鉴别或含量测定用,使用前不需干燥处理,含量以96.0%计。
CAS号:61825-98-7
分子式:C27H43NO3
分子量:429.64
结构式:

包装:棕色安瓿
规格:约20mg/支
储存条件:冷冻保存
·硫鸟嘌呤
编号:BP1895
英文名称:Tioguanine
规格:100mg/瓶
本品为硫鸟嘌呤化学对照品,含量为99.5%,供硫鸟嘌呤和硫鸟嘌呤片HPLC 鉴别与含量测定用。
分子式:C5H5N5S
分子量:167.19
包装及装量:2ml 西林瓶,每瓶约100mg
储存条件:遮光,密封保存。
注意事项:使用前不需干燥处理。
·白果新酸
编号:BP1294
英文名称:Ginkgoneolic acid
规格:约20mg/支
本品为白果新酸化学对照品,供含量测定用,含量以99.3%计,使用前不需干燥处理。
CAS号:20261-38-5
分子式:C20H32O3
分子量:320
包装:棕色安瓿瓶。
装量:约20mg/支。
储存条件:冷处(2~10℃)。
我公司生化试剂产品种类丰富,涵盖溶剂、培养基、*基酸及其衍生物、组织学试剂、电泳试剂、核苷酸及其衍生物、糖类、纯化试剂、分子生物学用试剂、抗生素、生物缓冲试剂、染色剂、酮康唑杂质B等。我公司作为一家以客户为中心的生产厂家和全球分销商,生产经营品种齐全的高质量化学品,实验室耗品和器材。在百奥莱博,质量是我们第一关注的要点。欢迎咨询选购!
酮康唑杂质B由我公司长期专业供应,公司为广大顾客提供 酮康唑杂质B产品说明,生产厂家,价格,规格,哪里买 。公司遵循高品质的产品,高质量的技术服务,合理的价格,是国内研发与生产,销*(代"售")合为一体的一家大型企业,我们承诺:以最少的经费,最高的效率,得到您最需要的实验结果,同时我们承诺,若有质量问题,无条件退换。
北京百莱博科技有限公司专业生产标准品对照品产品,欢迎来电咨询选购北京酮康唑杂质B标准品大量库存促销。
风险提示:丁香通仅作为第三方平台,为商家信息发布提供平台空间。用户咨询产品时请注意保护个人信息及财产安全,合理判断,谨慎选购商品,商家和用户对交易行为负责。对于医疗器械类产品,请先查证核实企业经营资质和医疗器械产品注册证情况。
技术资料暂无技术资料 索取技术资料










