万千商家帮你免费找货
0 人在求购买到急需产品
- 详细信息
- 技术资料
- 库存:
756
- 英文名:
Ketoconazole Impurity E
- 保质期:
长期
- 供应商:
北京百奥莱博科技有限公司
- 保存条件:
置5℃
特别声明:本产品及我公司所售其他产品均为科研类试剂产品,严禁用于药物、医疗及其他非科研用途。
北京百奥莱博公司供应包括北京酮康唑杂质E标准品大量库存促销在内的化学标准品,化学对照品,杂志对照品,HPLC标准品,UV标准品等高品质标准品、对照品
名称:北京酮康唑杂质E标准品大量库存促销
英文名:Ketoconazole Impurity E
编号:BP1755
产地:国产|进口
规格:30mg
本品为酮康唑杂质E化学对照品,供酮康唑品种杂质分析研究用,含量按C21H20Cl2N2O5S计。
分子式:C21H20Cl2N2O5S
分子量:482.0
结构式:

包装及装量:安瓿;约30mg/支
储存条件:置5℃以下条件低温避光保存。启开安瓿后密闭保持干燥,以防吸水。
更多有关北京酮康唑杂质E标准品大量库存促销的价格及使用说明等,请联*(代"系")我们的业务经理王欣女士咨询,我公司还销*(代"售")以下产品:
ARB11540 人高敏甲状腺素(u-T4)免费代测 Human ultrasensitivity thyroxine,u-t4 ELISA KIT
BTN80904 大提柱式真菌RNAOUT Maxi Column Fungal RNAOUT
6-苄*基嘌呤 ACE 1214-39-7
F030210 HRP标记山羊抗小鼠IgM抗体 Goat Anti-Mouse IgM*HRP
67-97-0 维生素D
血液基因组DNA提取系统(0.1-20 ml)
F030812 BIOTIN标记山羊抗兔IgG抗体 Goat Anti-Rabbit IgG*BIOTIN
147-85-3 L-Proline L-脯*酸
Kodak D-19显影液 500ml
ARB11962 大鼠B因子(BF)elisa测定使用说明书 Rat factor b,bf ELISA KIT
ARB10198 人α烯醇化酶(αENOL)Elisa定量检测 Human α-enolase,αenol ELISA KIT
马脾铁蛋白 Sodium D-pantothenate 9007-73-2
BTN131112 **酚溶液 Chloronaphthol(4CN)Solution
9002-04-4 Thrombin 凝血酶
F030110 HRP标记羊抗乙肝表面抗原抗体 HRP*Polyclonal Goat Anti-HBsAg
ARB10841 人抗肾小管基底膜抗体(TBM)检测服务 Human tubular basement membrane antibogy,tbm ELISA KIT
ARB12551 大鼠胰蛋白酶(trypsin)elisa检测说明书 Rat trypsin ELISA KIT
北京酮康唑杂质E标准品大量库存促销关键词:BP1755,Ketoconazole Impurity E,酮康唑杂质E
·苄达赖*酸杂质A
编号:BP0541
英文名称:Bendazac Lysine Impurity A
规格:50mg
·乌拉地尔
编号:BP0482
英文名称:Urapidil
规格:100mg/支
本品为乌拉地尔化学对照品,供含量测定用,使用前不需干燥处理,按C20H29N5O3计,含量为99.9%。
CAS号:34661-75-1
分子式:C20H29N5O3
分子量:387.48
结构式:

包装:棕色西林瓶装
规格:100毫克/支
储存条件:遮光,10~30℃密闭保存。
·7-*基去乙酰氧基头孢烷酸(7-ADCA)
编号:BP1602
英文名称:7-Aminodesacetoxy cephalos poranic acid (7-ADCA)
规格:50mg
本品为7-*基去乙酰氧基头孢烷酸标准品,供头孢拉定、头孢*苄和头孢羟*苄品种有关物质测定用。
使用方法:精密称取本品适量,按规定的方法,配制至所需浓度的对照品溶液,立即使用。
储存条件:置5℃以下低温避光保存。开启安瓿后严密保持干燥,以防吸水。
注意事项:使用前不需干燥处理。
·野黄芩苷
编号:BP1124
英文名称:Scutellarin
规格:约20mg/支
本品为野黄芩苷化学对照品,供鉴别及含量测定用,含量以91.7%计,使用前不需干燥处理。
CAS号:27740-01-8
分子式:C21H18O12
分子量:462.36
结构式:

包装:棕色安瓿瓶
规格:约20mg/支
储存条件:冷处(2-10℃)保存
注意事项:本品具引湿性,建议打开包装一次性使用完。
·发色底物S-2765
编号:BP1918
英文名称:chromogenic substrate S-2765
规格:约21.5mg/瓶
本品为发色底物S-2765试剂,供肝素、低分子肝素抗Xa因子效价测定使用
CAS号:115388-96-0
分子式:C28H41N11O7Cl2
分子量:714.6
包装:透明玻璃瓶
规格:约21.5mg/瓶(约30μmol/瓶)
储存条件:4℃,避光
北京酮康唑杂质E标准品大量库存促销关键词:BP1755,Ketoconazole Impurity E,酮康唑杂质E
酮康唑杂质E等试剂产品的使用注意事项:
(1)、所有试剂、溶液以及样品的包装上必须要有标签。标签要完整、清晰,表明试剂的名称、规格、质量。
(2)、溶液除了表明品名外,还应表明浓度、配置日期等。万一标签脱落,应照原样贴牢。决定不允许在容器内装入与标签不相符的物品。
(3)、无标签的试剂必须取小样检定后才可使用。不能使用的化学试剂要慎重处理,不能随意乱倒。为了保证试剂不受污染,应当用清洁的牛角勺或不锈钢小勺从试剂瓶中取出试剂,绝不可以用手抓取。若试剂结块,可用洁净的玻璃棒或瓷药铲将其捣碎后取出。
(4)液体试剂可用洗干净的量筒到取,不要用吸管伸入原试剂中吸取液体。从试剂瓶中取出的、没有用完的声誉药品,不可再倒回原瓶。
·盐*(代"酸")小檗碱
编号:BP1022
英文名称:Berberine Hydrochloride
规格:30mg/支
本品为盐*(代"酸")小檗碱化学对照品,供鉴别及含量测定用,使用前不需干燥处理。含量以86.8%计。
CAS号:633-65-8
分子式:C20H18ClNO4
分子量:371
结构式:

包装:棕色安瓿瓶
装量:约30mg/支
储存条件:冷处(2~10℃)保存。
·土木香内酯
编号:BP1057
英文名称:Alantolactone
规格:约20mg/支
本品为土木香内酯化学对照品,供鉴别及含量测定用,含量100.0%。置五氧化二磷减压干燥器中减压干燥12h后使用。
CAS号:546-43-0
分子式:C15H20O2
分子量:232.31
结构式:

包装:棕色瓶
规格:约20毫克/支
储存条件:冷处(4~10℃)保存
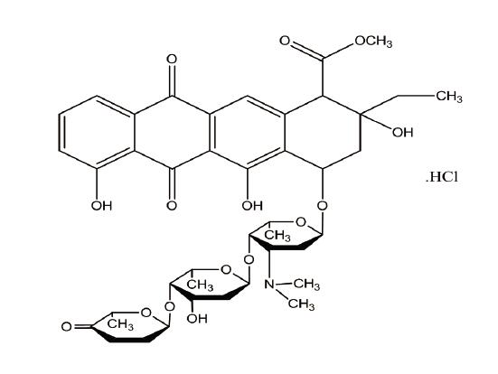
·阿柔比星
编号:BP1746
英文名称:Aclarubicin
规格:20mg/支
本品为阿柔比星化学对照品,供HPLC含量测定用,以阿柔比星(C42H53NO15)计,每支含阿柔比星为19.10mg。使用前不需干燥处理。使用时需要整瓶稀释。
CAS号:57576-44-0
分子式:C42H53NO15·HCl
分子量:847.3
结构式:

包装:西林瓶
规格:20mg/支
储存条件:2-8℃保存
我公司严格遵守“质量优先、客户优先、技术优先、服务优先”“四项优先”原则;酮康唑杂质E已被广泛应用于化学、化工、生命科学的基础研究和开发应用等诸多领域,并销往全国各地,公司客户遍布国内各大学、医院、研究所、卫生防疫、制药公司、生物公司等单位,得到广大客户的一致好评。我们的宗旨是“为客户提供最优质的产品和服务”。 百奥莱博以技术为核心并拥有完善的市场营销体系、现代化管理体系和专业化物流配送系统,最大程度满足国内外生命科研人员的产品需求。公司专门设立优质完善的客服中心及技术中心,第一时间为客户解决技术支持、产品跟踪以及售后等相关问题,旨在生命科学和医学科学研究领域创造具有国际竞争力的自主知识产权品牌产品。欢迎社会各界朋友前来洽谈业务,共创辉煌!
我公司在保证产品质量的同时,以价格优、到货快、服务周到,致力于酮康唑杂质E的研发、销*(代"售")。售前、售中、售后免费技术指导,质量保证,可放心购买!
我公司正在火爆促销标准品对照品系列产品,欢迎您的垂询选购北京酮康唑杂质E标准品大量库存促销。
风险提示:丁香通仅作为第三方平台,为商家信息发布提供平台空间。用户咨询产品时请注意保护个人信息及财产安全,合理判断,谨慎选购商品,商家和用户对交易行为负责。对于医疗器械类产品,请先查证核实企业经营资质和医疗器械产品注册证情况。
技术资料暂无技术资料 索取技术资料










