万千商家帮你免费找货
0 人在求购买到急需产品
- 详细信息
- 文献和实验
- 技术资料
- 保存条件:
10~30℃
- 保质期:
长期
- 英文名:
Sodium Gluconate
- 库存:
224
- 供应商:
北京百奥莱博科技有限公司
- CAS号:
527-07-1
特别声明:本产品及我公司所售其他产品均为科研类试剂产品,严禁用于药物、医疗及其他非科研用途。
北京百奥莱博公司供应包括葡萄糖酸*对照品价格在内的化学标准品,化学对照品,杂志对照品,HPLC标准品,UV标准品等高品质标准品、对照品
名称:葡萄糖酸*对照品价格
品牌:百奥莱博
规格:100mg/支
编号:BP0568
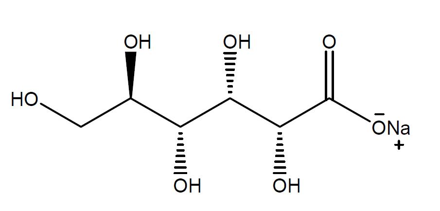
本品为葡萄糖酸*化学对照品,使用前不需干燥处理,供HPLC法测定,按C6H11NaO7计,含量为99.4%。
CAS号:527-07-1
分子式:C6H11NaO7
分子量:218.14
结构式:

包装:棕色小瓶装
规格:每支约100毫克。
储存条件:遮光,密闭,10~30℃干燥处保存。
欲咨询购买葡萄糖酸*对照品价格,请致电北京百奥莱博科技有限公司,为您提供最全面周到的产品服务,除此之外,我公司正在促销以下产品:
·红地那非
编号:BP2194
英文名称:Acetildenafil
规格:30mg/支
本品为红地那非化学对照品,供HPLC法检查用,以C25H34N6O3计,含量为99.9%,使用前不需干燥处理。
CAS号:831217-01-7
分子式:C25H34N6O3
分子量:466.58
结构式:

包装及装量:棕色V形西林瓶装,每支约30毫克。
储存条件:遮光
·土贝母苷甲
编号:BP1191
英文名称:Tubemoside Ⅰ
规格:20mg/支
本品为土贝母苷甲化学对照品,供含量测定用,含量以96.4%计,使用前不需干燥处理。
CAS号:102040-03-9
分子式:C63H98O29
分子量:1319.43
结构式:

包装:棕色安瓿瓶
规格:约20mg/支
储存条件:冷处保存
注意事项:本品有引湿性,建议打开包装一次性使用完。
·盐*(代"酸")加替沙星
编号:BP1686
英文名称:Gatifloxacin Hydrochloride
规格:100mg
本品为盐*(代"酸")加替沙星化学对照品,供红外鉴别用,使用前不需干燥处理。
CAS号:160738-57-8
分子式:C19H22FN3O4·HCl
分子量:471.50
包装:棕色安瓿
规格:约100毫克/支
储存条件:2-8℃保存
·3-乙氧基-4-羟基*甲醛
编号:BP1620
英文名称:3-Ethoxy-4-hydroxybenzaldehye
规格:100mg
本品为3-乙氧基-4-羟基*甲醛化学对照品,供供系统适用性试验用,使用前不需干燥处理。
CAS号:121-32-4
分子式:C9H10O3
分子量:166.18
结构式:

包装:白色安瓿
规格:约100毫克/支
储存条件:2-8℃保存
葡萄糖酸*对照品价格关键词:527-07-1,Sodium Gluconate,葡萄糖酸*
我公司坚持“品质至上”, 通过与国际知名品牌的合作,选择高品质的产品,提供优质的客户服务。葡萄糖酸*现货供应,以保证产品质量和市场需求率为主要目标,争取能在科研生命道路上能够长久的服务于广大新老客户。
·γ-亚麻酸甲酯
编号:BP1165
英文名称:Methyl γ-linolenate
规格:约0.2ml/支
本品为γ-亚麻酸甲酯化学对照品,供含量测定用,含量以99.9%计,使用前不需干燥处理。
CAS号:16326-32-2
分子式:C19H32O2
分子量:292.47
结构式:

包装:棕色安瓿瓶。
规格:约0.2毫升/支。
储存条件:冷冻(-20℃)保存。
注意事项:本品不稳定,打开包装后一次使用完毕。
·乙酰枸橼酸三丁酯
编号:BP2093
英文名称:Acetyltributyl Citrate
规格:1ml/支
本品为乙酰枸橼酸三丁酯化学对照品,仅供枸橼酸三正丁酯品种含量测定项下分离度用对照品,使用前不需干燥处理。
CAS号:77-90-7
分子式:C20H34O8
分子量:402.48
结构式:

包装:棕色安瓿瓶
规格:约1ml/支
储存条件:避光、常温保存
·磷酸*丙哌啉
编号:BP0192
英文名称:Benproperine Phosphate
规格:100mg/支
本品为磷酸*丙哌啉的化学对照品,供HPLC法含量测定用。以C21H27NO·H3PO4计,含量为99.8%。105℃干燥2小时后使用。
分子式:C21H27NO·H3PO4
结构式:

分子量:407.44
CAS号:19428-14-9
包装:棕色西林瓶
装量:约100mg/支
储存条件:遮光,密闭保存。
·羟喜树碱
编号:BP0402
英文名称:Hydroxycamptothecin
规格:50mg
本品为磷酸*丙哌啉的化学对照品,供HPLC法含量测定用。以C21H27NO·H3PO4计,含量为99.8%。105℃干燥2小时后使用。
分子式:C21H27NO·H3PO4
结构式:

分子量:407.44
CAS号:19428-14-9
包装:棕色西林瓶
装量:约100mg/支
储存条件:遮光,密闭保存。
葡萄糖酸*对照品价格关键词:527-07-1,Sodium Gluconate,葡萄糖酸*
我公司主要从事免疫学、分子生物学和常规生化试剂的研发、销*(代"售")。并代理销*(代"售")R&D、Sigma、Amresco 、Gibco、Pharmacia、HyClone、GIBCO等多个国外知名品牌,致力于为广大高校、科研院所和企事业单位提供一流的科研试剂和完善的技术服务,满足生物化学、分子生物学 、细胞生物学、免疫学等生物科技实验需求。 公司主要产品:试剂盒:葡萄糖酸*、ELISA试剂盒、分子生物学试剂、细胞凋亡试剂盒。各种动物血清:NBQQ、HyClone、GIBCO胎牛血清。抗体:进口原装抗体、进口分装抗体、单克隆抗体、多克隆抗体、一抗、二抗。 我们立足于生命科学领域,全力打造高品质生物科技产品链和技术服务链,立志成为生命科学研究领域的问题解决专家。
BTN130525 蛋白*(代"磷")酸酶抑制剂混合液2 Phosphotase Inhibitor Cocktail 2
DNA Marker Ⅰ Uric acid
1-*酚 Sodium stannate 90-15-3
脂肪氧化酶 Stearic Acid 9029-60-1
4-羟基肉桂酸 Fmoc-N-Me-Val-OH 501-98-4
BL0627 ConA-琼脂糖凝胶4B ConA Sepharose 4B
PY02-273 胰酪胨大豆琼脂 250克
BTN90608 中提柱式BAC DNAOUT Midi Column BAC DNAOUT
133-32-4 Indole-3-butyricacid(IBA)吲哚-4-丁酸(水溶)
ARB12947 小鼠血栓前体蛋白(TpP)含量测试 Mouse thrombus precursor protein,tpp ELISA KIT
ARB10750 人抑制素(INH)代做ELISA实验 Human inhibin,inh ELISA KIT
BTN90603 随机引物法DNA探针标记试剂盒 Random Primer DNA Labeling Kit
ARB12018 大鼠α干扰素(IFN-α)血清中含量检测 Rat interferon α,ifn-α ELISA KIT
ARB13316 山羊白介素4(IL-4)含量测试 Goat interleukin 4,IL-4 ELISA KIT
NF-269 冻干纤维蛋白(Fg)标准血清
ARB11992 大鼠NPC1L1 ELISA代测服务
9032-75-1 Snailase 蜗牛酶
葡萄糖酸*的不同等级:
除了优级纯、分析纯、化学纯、实验试剂外,目前市场上尚有:基准试剂(PT):专门作为基准物用,可直接配制标准溶液。光谱纯试剂(SP):表示光谱纯净。但由于有机物在光谱上显示不出,所以有时主成分达不到99.9%以上,使用时必须注意,特别是作基准物时,必须进行标定。纯度远高于优级纯的试剂叫做高纯试剂(≥ 99.99%)。
一般化学试剂的品级:一级试剂、二级试剂、三级试剂、四级试剂
国内标准名称:优级纯(保证试剂)、分析纯、化学纯 、实验试剂
国内标签颜色:绿色、红色、蓝色、中黄色
我公司强烈推荐标准品对照品系列产品,热情期待您的咨询选购葡萄糖酸*对照品价格。
风险提示:丁香通仅作为第三方平台,为商家信息发布提供平台空间。用户咨询产品时请注意保护个人信息及财产安全,合理判断,谨慎选购商品,商家和用户对交易行为负责。对于医疗器械类产品,请先查证核实企业经营资质和医疗器械产品注册证情况。
文献和实验对照品系指用于鉴别、检查、含量测定和校正检定仪器性能的标准物质。 标准品系指用于生物检定、抗生素或生物药品中含量或效价测定的标准物质,以效价单位(U)表示。 还是感觉不甚明了,是否标准品只用于生物方面?是否化学方面只能称对照品?标准品有什么要求?对照品有什么要求? 国家药品标准品、对照品系指国家药品标准中用于鉴别、检查、含量测定、杂质和有关物质检查等标准物质,它是国家药品标准不可分割的组成部分。国家药品标准物质是国家药品标准的物质基础,它是用来检查药品质量的一种特殊的专用
2.1方法 2.1.1蒜氨酸对照品溶液的制备精密称取蒜氨酸对照品0.01g置于10ml量瓶中,甲醇-水(1∶1)溶解,定容至刻度(每毫升含蒜氨酸对照品1mg)。 2.1.2供试品溶液的制备采用水煮灭活蒜氨酸酶和甲醇灭活蒜氨酸酶法,制备样品,确定样品的制备方法。 方法1:去皮蒜10g,甲醇50ml打碎15s,转移至250ml锥形瓶中,加入50ml水,在超声器中超声15min,精密吸取10ml,浓缩至5ml,备用。 方法2:去皮蒜10g,水煮10min,加水
高效液相色谱法对舒冠片中淫羊藿甙的含量进行了测定,旨在建立舒冠片中淫羊藿甙的含量测定方法. 1 材料 仪器:LC-10AT高效液相色谱仪及CLASS-LC10色谱工作站均为日本岛津公司产品.试药:淫羊藿甙对照品供含量测定用,批号为0773-9910,由中国药品生物制品检定所提供;舒冠片按卫生部颁布标准WS 3 -B-1653收载的制备方法自制,批号分别为040911,040912,040913,040914,040915;甲醇和乙腈为高效液相色谱纯;其他试剂均为分析
技术资料暂无技术资料 索取技术资料









