相关产品推荐更多 >
万千商家帮你免费找货
0 人在求购买到急需产品
- 详细信息
- 文献和实验
- 技术资料
- 保存条件:
2~10℃
- 保质期:
长期
- 英文名:
β- Sitosterol
- 库存:
691
- 供应商:
北京百奥莱博科技有限公司
- CAS号:
83-46-5
特别声明:本产品及我公司所售其他产品均为科研类试剂产品,严禁用于药物、医疗及其他非科研用途。
百奥莱博公司致力于为全国科研单位提供药典标准品、对照品、标准溶液、标准样品、对照培养基、国家标准品等可靠标准物质,其中β-谷甾醇标准品价格的品质过硬,在广大科研人员中有口皆碑!
名称:β-谷甾醇标准品价格
英文名:β- Sitosterol
规格:约20mg/支
品牌:百奥莱博
编号:BP1129
本品为β-谷甾醇化学对照品,供鉴别及含量测定用,含量以97.0%计,使用前不需干燥处理。
CAS号:83-46-5
分子式:C29H50O
分子量:414.7
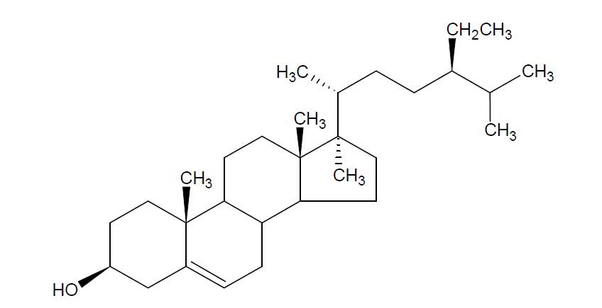
结构式:

包装:棕色瓶
规格:约20毫克/支
储存条件:冷处(2~10℃)保存
β-谷甾醇标准品价格正在火爆热销,除此之外,为您推荐下别热销产品:
SJ0191 Dextran T-70 葡聚糖 T-70
ARB10247 人乙*(代"胺")碘呋酮(AD)检测服务 Human amiodarone,ad ELISA KIT
3,3,5,5-四甲基联*(代"*")*(代"胺")盐*(代"酸")盐 Molybdic acid 64285-73-0
ARB13397 羊布病(BrucellosIs)代做ELISA实验
甘*酸缓冲液(0.05mol/L,pH8.6-10.6) 100ml
ARB11007 人补体片段3c(C3c)血清中含量检测 Human complement fragment 3c,c3c ELISA KIT
普鲁士蓝染色液(伊红法) 2×50ml|2×100ml
PY02-321 改良克氏双糖培养基 250克
BTN131043 CHAPS CHAPS
ARB10551 人皮肤蛋白(DPT)酶标法分析 Human dermato-pontin,dpt ELISA KIT
ARB13572 兔子白介素1β(IL-1β)免费代测 Rabbit interleukin 1β,IL-1β ELISA KIT
ARB12297 大鼠抗甲状腺球蛋白抗体(ATGA/TGAB)含量测试 Rat anti-thyroid-globulin antibody,atga/tgab ELISA KIT
ARB10666 人血管紧张素Ⅱ(ANG-Ⅱ)代做ELISA实验 Human angiotension Ⅱ,ang-Ⅱ ELISA KIT
BL1135 JM109感受态细胞
ARB11014 人补体调节蛋白(CCP)血清中含量检测 Human complement control protein,ccp ELISA KIT
P:C(1:1,pH﹥7.8) 100ml
β-谷甾醇标准品价格关键词:β- Sitosterol,83-46-5,β-谷甾醇
·20(S)-人参皂苷Rg2
编号:BP1358
英文名称:20(S)-Ginsenoside Rg2
规格:20mg
·促黄体生成素(LH)
编号:BP1973
英文名称:LH
规格:3支/套,0.5ml/支
本品为促黄体生成激素质控血清(LH质控血清),供免疫测定用。
1、是以LH纯品为原料加入至新鲜正常人混合血清制备而成。
2、本套质控血清为冻干品,3支/套,0.5ml/支。
3、使用时应用0.5ml去离子水将内容物完全溶解,充分混合后使用。
4、质控血清I理论值为6mIU/ml;
质控血清Ⅱ理论值为20mIU/ml;
质控血清Ⅲ理论值为60mIU/ml。
由于免疫分析体系不同,各公司测定结果存在一定差异,数据仅供参考。
5、本套质控
·盐*(代"酸")阿比多尔
编号:BP0533
英文名称:Arbidol Hydrochloride
规格:100mg/支
本品为盐*(代"酸")阿比多尔化学对照品,供含量测定用,使用前不需干燥处理。按C22H25BrN2O3S·HCl计,供HPLC法含量测定,含量为95.8%;供UV法测定,含量为96.4%。
CAS号:131707-23-8(无水物)
分子式:C22H25BrN2O3S·HCl·H2O
分子量:531.89
包装:棕色西林瓶
规格:约100毫克/支
储存条件:遮光,密闭,10~30℃保存。
·尼可地尔
编号:BP0785
英文名称:Nicorandil
规格:100mg/支
本品为盐*(代"酸")阿比多尔化学对照品,供含量测定用,使用前不需干燥处理。按C22H25BrN2O3S·HCl计,供HPLC法含量测定,含量为95.8%;供UV法测定,含量为96.4%。
CAS号:131707-23-8(无水物)
分子式:C22H25BrN2O3S·HCl·H2O
分子量:531.89
包装:棕色西林瓶
规格:约100毫克/支
储存条件:遮光,密闭,10~30℃保存。
·己烯雌酚
编号:BP0031
英文名称:Diethylstilbestrol
规格:100mg
本品为己烯雌酚(Diethylstilbestrol)化学对照品,供HPLC法鉴别和含量测定用。本品不需干燥处理,以CHO18202计,含量为99.5%。
分子式:C18H20O2
分子量:268.36
CAS号:56-53-1
包装及装量:棕色西林瓶,每支约100毫克。
储存条件:干燥避光,常温密闭保存。
注意事项:本品不需干燥处理,直接称取,避光操作。
β-谷甾醇标准品价格关键词:β- Sitosterol,83-46-5,β-谷甾醇
β-谷甾醇怎样保存?
一般试剂可保存在玻璃瓶内; 对玻璃有强烈腐蚀作用的试剂,如**酸、*氧化*应保存在聚乙*(代"烯")塑料瓶内; 易被空气氧化、分化、潮解的试剂应密封保存;易感光分解的试剂应用有色玻璃瓶贮存并藏于暗处; 易受热分解及低沸点溶剂,应存于冷处; 剧毒试剂应存于保险箱; 有放射性的试剂应存于铅罐中。如果化学试剂保管不当,就会失效变质,影响实验的效果,并造成物质的浪费,甚至有时还会发生事故。因此,科学地保管好试剂对于保证实验顺利进行,获得 可靠的实验数据具有非常重要的意义。
·头孢米诺系统适用性对照品
编号:BP1747
英文名称:Cefminox for system suitability
规格:30mg
本品为头孢米诺系统适用性对照品,供含量测定及有关物质HPLC系统适用性试验用。
标准图谱:
头孢米诺*含量测定及有关物质用标准图谱:
1.色谱柱:Kromasil100-5-C18 250×4.6mm

2.色谱柱:Apollo C18 5μm 250×4.6mm

·乙氧*柳胺
编号:BP0523
英文名称:Cefminox for system suitability
规格:100mg
本品为头孢米诺系统适用性对照品,供含量测定及有关物质HPLC系统适用性试验用。
标准图谱:
头孢米诺*含量测定及有关物质用标准图谱:
1.色谱柱:Kromasil100-5-C18 250×4.6mm

2.色谱柱:Apollo C18 5μm 250×4.6mm

·甲磺酸齐拉西酮
编号:BP0682
英文名称:Ziprasidone Mesulate
规格:100mg
本品为头孢米诺系统适用性对照品,供含量测定及有关物质HPLC系统适用性试验用。
标准图谱:
头孢米诺*含量测定及有关物质用标准图谱:
1.色谱柱:Kromasil100-5-C18 250×4.6mm

2.色谱柱:Apollo C18 5μm 250×4.6mm

·盐*(代"酸")阿米洛利
编号:BP0247
英文名称:Amiloride Hydrochloride
规格:100mg
本品为盐*(代"酸")阿米洛利的化学对照品,使用前不需干燥处理。按C6H8ClN7O·HCl计,供HPLC法测定,含量为87.2%;供UV法测定,含量为88.1%
分子式:C6H8ClN7O·HCl·2H2O
分子量:302.12
CAS号:17440-83-4
包装及装量:棕色西林瓶装,每支约100mg。
储存条件:遮光,密封保存。
·环丙沙星杂质E
编号:BP1722
英文名称:Ciprofloxacin Impurity E
规格:50mg
本品为环丙沙星杂质E化学对照品,供环丙沙星及各种成盐形式的环丙沙星品种系统适用性试验及有关物质测定用。
使用方法:精密称取本品适量,按相关质量标准的规定,溶解并稀释至所需浓度的溶液,立即使用。
储存条件:置5℃以下低温避光保存。开启安瓿后严密保持干燥,以防吸水。
注意事项:使用前不需干燥处理。
为何选择百奥莱博公司的β-谷甾醇?
我公司是一家专业从事“产品研发生产、市场销*(代"售")、技术服务”为一体的高科技生物技术公司,公司生产的β-谷甾醇质量有保证,含量高,能够给实验带来准确的结果。同时能为用户更好的解决各种疑难问题。如有需要可联系我司销*(代"售")人员,我们将竭诚为您服务。
我公司竭诚为广大科研用户提供最全面,最优质,价格最具优势的β-谷甾醇,免费为您提供全程技术指导,解决您的后顾之忧。公司供应各种高品质科研试剂及各种规格包装定制,如有所需请联系我们。
北京百莱博科技有限公司是标准品对照品产品的专业生产供应销*(代"售")商,恭候您的咨询选购β-谷甾醇标准品价格。
风险提示:丁香通仅作为第三方平台,为商家信息发布提供平台空间。用户咨询产品时请注意保护个人信息及财产安全,合理判断,谨慎选购商品,商家和用户对交易行为负责。对于医疗器械类产品,请先查证核实企业经营资质和医疗器械产品注册证情况。
文献和实验C29 H50 O。又称豆甾 -5-烯 -3β -醇, 24R-乙基胆甾 -5烯 -3β -醇。是以谷类(希文, sitos)命名的甾醇( sterol)。后来已知是α -,β -以及γ -谷甾醇等的混合物。现在知道α体是 C30 甾酵,γ体是 C2 及 C29 的甾醇混合物,因为它们已不被称为谷甾醇,所以仅留下β -谷甾醇具有谷甾醇的名称。它是植物界中分布最广的甾醇,可为毛地黄皂苷( digitonin)沉淀。
蓝黑色。喜凉爽、湿润气候,怕高温、干旱及强烈光照。以微碱性的砂质壤土为宜。忌连作。用分株繁殖。四川多在4月间开沟栽种,行距10~12厘米,每隔6~8厘米栽苗2~4株;浙江多在5月间开穴栽种,行株距30×20厘米;每穴栽苗8~9株。生长期间,需保持土壤湿润,进行合理施肥,并注意防治黑斑病、根结线虫病及蛴螬、蝼蛄等病虫害。川麦冬在栽后第2年,杭麦冬在栽后第3或第4年进行块根收获。切下后洗净晒干。块根含多种甾体皂苷、豆甾醇、β-谷甾醇及β-谷甾醇-β-D-葡萄糖苷。作中药有养阴生津和润肺止咳作用。可治
C29 H45 O。又称豆甾 -5, 22-二烯 -3β -醇或 24R-乙基胆甾 -5, 22-二烯 -3β -醇。主要与谷甾醇一起是广泛分布于植物界的甾醇。其醋酸酯的四溴化物难溶于醚,利用这一特点,可从其他甾醇中进行分离精制,用作性激素的合成原料。
技术资料暂无技术资料 索取技术资料










