相关产品推荐更多 >
万千商家帮你免费找货
0 人在求购买到急需产品
- 详细信息
- 文献和实验
- 技术资料
- 库存:
495
- 英文名:
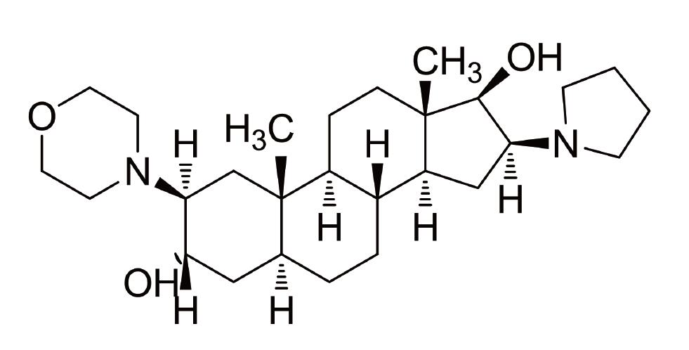
Rocuronium Bromide Impurity I(3α-hydroxy-2β-(morpholin-4-yl)-16β-(pyrrolidin-1-yl)-5α-androstan-17β-yl acetate)" title="Rocuronium Bromide Impurity I(3α-hydroxy-2β-(morpholin-4-yl)-16β-(pyrrolidin-1-yl)-5α-androstan-17β-yl acetate)"
- 保质期:
长期
- 供应商:
北京百奥莱博科技有限公司
- 保存条件:
冷藏
特别声明:本产品及我公司所售其他产品均为科研类试剂产品,严禁用于药物、医疗及其他非科研用途。
北京百奥莱博公司供应包括北京罗库*铵杂质I标准品价格厂家在内的化学标准品,化学对照品,杂志对照品,HPLC标准品,UV标准品等高品质标准品、对照品
名称:北京罗库*铵杂质I标准品价格厂家
英文名:Rocuronium Bromide Impurity I(3α-hydroxy-2β-(morpholin-4-yl)-16β-(pyrrolidin-1-yl)-5α-androstan-17β-yl acetate)" title="Rocuronium Bromide Impurity I(3α-hydroxy-2β-(morpholin-4-yl)-16β-(pyrrolidin-1-yl)-5α-androstan-17β-yl acetate)"
品牌:百奥莱博
规格:20毫克/支"
产地:国产|进口
北京罗库*铵杂质I标准品价格厂家正在火爆热销,除此之外,为您推荐下别热销产品:
·间羟异丙肾上腺素(间羟异丙肾上腺素硫*(代"酸")盐)
编号:BP1008
英文名称:Metaproterenol (Metaproterenol Sulfate)
规格:20毫克/支
本品为间羟异丙肾上腺素化学对照品,供HPLC法系统适用性试验用,使用前不需干燥处理。
CAS号:5874-97-5
分子式:C11H17NO3·1/2 H2SO4
分子量:260.30
结构式:

包装:棕色西林瓶
规格:约20毫克/支
储存条件:遮光,密闭,10~30℃保存。
·千金子素L1(千金子甾醇)
编号:BP1365
英文名称:Euphorbia Factor L1
规格:20mg
本品为间羟异丙肾上腺素化学对照品,供HPLC法系统适用性试验用,使用前不需干燥处理。
CAS号:5874-97-5
分子式:C11H17NO3·1/2 H2SO4
分子量:260.30
结构式:

包装:棕色西林瓶
规格:约20毫克/支
储存条件:遮光,密闭,10~30℃保存。
·阿托伐他汀*杂质A
编号:BP2167
英文名称:Atorvastatin Calcium Impurity A
规格:30mg/支
本品为阿托伐他汀*杂质A化学对照品,供HPLC法检查用,以C66H70CaN4O10计,含量为91.0%,使用前不需干燥处理。
CAS号:433289-83-9
分子式:C66H70CaN4O10
分子量:1119.38
结构式:

包装:棕色安瓿瓶。
规格:约30毫克/支。
储存条件:2-8℃保存。
注意事项:本品具有引湿性,建议打开包
·L-门冬*酸
编号:BP1834
英文名称:Aspartic acid
规格:约100mg/瓶
本品为门冬*酸化学对照品,含量以C4H7NO4计为99.9%,供*基酸鉴别及含量测定使用。
CAS号:56-84-8
分子式:C4H7NO4
分子量:133.10
包装:棕色西林瓶
规格:约100mg/瓶
储存条件:避光,密封保存
北京罗库*铵杂质I标准品价格厂家关键词:罗库*铵杂质I,BP0969,Rocuronium Bromide Impurity I(3α-hydroxy-2β-(morph
我公司在保证产品质量的同时,以价格优、到货快、服务周到,致力于罗库*铵杂质I的研发、销*(代"售")。售前、售中、售后免费技术指导,质量保证,可放心购买!
琼脂糖凝胶4FF VK4
PY01-064 丙*(代"酮")酸* 25克
1,3-二*脲 2-Deoxy-D-glucose 102-07-8
ARB10847 人抗组蛋白(H2A-H2B)-DNA抗体/抗二聚体-DNA抗体尿液中含量检测 Human Histone h2a-h2b-dna autoantibody ELISA KIT
胃蛋白酶水溶液(0.4%) 100ml
F030609 FITC标记山羊抗小鼠IgG3抗体 Goat Anti-Mouse IgG3*FITC
ARB14188 羊口蹄疫亚1型抗体(FMD1-Ab)Elisa分析
E0201 抗凝山羊血(无菌 pet瓶装)
ARB12174 大鼠白介素9(IL-9)酶联免疫定量检测 Rat interleukin 9,IL-9 ELISA KIT
ARB12489 大鼠总胆固醇(TC)血清中含量检测 Rat total cholesterol,tc ELISA KIT
3-羟基-1,2,3-*并三嗪-4(3H)-酮 D-Galactose 28230-32-2
超薄琼脂糖凝胶DNA回收试剂盒
ARB10493 人白介素6(IL-6)含量分析 Human interleukin 6,IL-6 ELISA KIT
BFD002 猪蓝耳病毒抗体检测试剂盒
糖原PAS快速染色液 3×100ml
北京罗库*铵杂质I标准品价格厂家关键词:罗库*铵杂质I,BP0969,Rocuronium Bromide Impurity I(3α-hydroxy-2β-(morph
为何选择百奥莱博公司的罗库*铵杂质I?
我公司是一家专业从事“产品研发生产、市场销*(代"售")、技术服务”为一体的高科技生物技术公司,公司生产的罗库*铵杂质I质量有保证,含量高,能够给实验带来准确的结果。同时能为用户更好的解决各种疑难问题。如有需要可联*(代"系")我司销*(代"售")人员,我们将竭诚为您服务。
·L-焦谷*酸
编号:BP1880
英文名称:L-Pyroglutamic acid
规格:50mg/支
本品为L-焦谷*酸化学对照品,供谷*酰胺、甘*酰谷*酰胺、丙*酰谷*酰胺有关物质检查使用。
CAS号:98-79-3
分子式:C5H7NO3
分子量:129.11
包装:3ml棕色安瓿瓶
规格:50mg/瓶
储存条件:2-8℃保存
·贝美格
编号:BP0352
英文名称:Bemegride
规格:100mg
本品为L-焦谷*酸化学对照品,供谷*酰胺、甘*酰谷*酰胺、丙*酰谷*酰胺有关物质检查使用。
CAS号:98-79-3
分子式:C5H7NO3
分子量:129.11
包装:3ml棕色安瓿瓶
规格:50mg/瓶
储存条件:2-8℃保存
·苄达赖*酸杂质A
编号:BP0541
英文名称:Bendazac Lysine Impurity A
规格:50mg
本品为L-焦谷*酸化学对照品,供谷*酰胺、甘*酰谷*酰胺、丙*酰谷*酰胺有关物质检查使用。
CAS号:98-79-3
分子式:C5H7NO3
分子量:129.11
包装:3ml棕色安瓿瓶
规格:50mg/瓶
储存条件:2-8℃保存
·罗库*铵杂质II
编号:BP0970
英文名称:Rocuronium Bromide Impurity II(2β-(morpholin-4-yl)-16β-(pyrrolidin-1-yl)-5α-androstane-3α,17β-diol)
规格:20毫克/支
本品为罗库*铵杂质II化学对照品,使用前不需干燥处理,供HPLC法系统适用性试验用。
CAS号:119302-20-4
分子式:C27H46N2O3
分子量:446.67
结构式:

包装:棕色西林瓶
规格:约20毫克/支
储存条件:遮光,2-8℃保存
·新补骨脂异黄酮
编号:BP2197
英文名称:Neobavaisoflavone
规格:30mg/支
本品为新补骨脂异黄酮化学对照品,供新补骨脂异黄酮HPLC法含量测定用,以C20H18O4计,含量为99.6%,使用前不需干燥处理。
CAS号:41060-15-5
分子式:C20H18O4
分子量:322.4
结构式:

包装及装量:棕色西林瓶装,每支约30毫克。
储存条件:遮光
罗库*铵杂质I怎样保存?
一般试剂可保存在玻璃瓶内; 对玻璃有强烈腐蚀作用的试剂,如**酸、*氧化*应保存在聚乙*(代"烯")塑料瓶内; 易被空气氧化、分化、潮解的试剂应密封保存;易感光分解的试剂应用有色玻璃瓶贮存并藏于暗处; 易受热分解及低沸点溶剂,应存于冷处; 剧毒试剂应存于保险箱; 有放射性的试剂应存于铅罐中。如果化学试剂保管不当,就会失效变质,影响实验的效果,并造成物质的浪费,甚至有时还会发生事故。因此,科学地保管好试剂对于保证实验顺利进行,获得 可靠的实验数据具有非常重要的意义。
我公司正在优惠促销标准品对照品等系列产品,期待您的咨询选购北京罗库*铵杂质I标准品价格厂家。
风险提示:丁香通仅作为第三方平台,为商家信息发布提供平台空间。用户咨询产品时请注意保护个人信息及财产安全,合理判断,谨慎选购商品,商家和用户对交易行为负责。对于医疗器械类产品,请先查证核实企业经营资质和医疗器械产品注册证情况。
文献和实验随着社会不断发展进步,人们对环境的要求越来越高,环保标准日益严格,尤其是人们对食品和药品的安全卫生情况高度关注,要求也异常严格。这就要求气相色谱与其它分析方法一样朝更高灵敏度、更高选择性、更方便快捷的方向发展。 北京兰德梅克科技开发有限公司作为软包装专业检测仪器的生产商,顺应行业的发展要求,为广大软包装生产厂家谋求利益,致力于不断改进和开发新的性能优越的高科技产品。最新研发成功的2061C型气相色谱仪,体现了气相色谱的发展方向。 (1)自动化程度进一步
性质稳定,且对浓度准确度要求不是太高的溶液,可长期保存使用。像福尔马林、生理盐水、CMC-Na溶液。 按其纯度可分为: 化学纯:一般化学实验用的,含少量杂质.纯度一般应在98%以上. 分析纯:做分析实验用的,含微量杂质,纯度一般应在99%以上.缩写: A.R 色谱纯:液相流动相的要求.据本人理解应是不出现杂峰.纯度可能在99.9%. 生化纯:好像在一些生化试剂里有这么写的.缩写:B.R 要注意的是,有些厂家有标明 优级纯(G
为1.5%合格。在这种情况下,就指标成分来说是合格的,但是降解后的产物算是杂质吗? 如果降解后的产物有一定的副作用,在新药申报时,国家对这个有没有一定的要求? 12.还有几个问题要请教: (1). 在申报复方中药时,在方法验证过程中,对药材是不是也要进行验证?药材的检测方法都是按照药典要求的。如果要验证,都要做哪些? (2).在耐用性检查时,流动相比例变化、检测波长、色谱柱厂家等,有没有硬性规定一定要变,最少变动几个因素
技术资料暂无技术资料 索取技术资料










