万千商家帮你免费找货
0 人在求购买到急需产品
- 详细信息
- 技术资料
- 保存条件:
2-10℃
- 保质期:
长期
- 英文名:
Neohesperidin
- 库存:
494
- 供应商:
北京百奥莱博科技有限公司
- CAS号:
13241-33-3
特别声明:本产品及我公司所售其他产品均为科研类试剂产品,严禁用于药物、医疗及其他非科研用途。
北京百奥莱博供应的北京现货新橙皮苷标准品折扣价用于生化科研试验,本产品质量好,且极具价格优势,深为用户称道,了解更多新橙皮苷等标准品对照品产品请联系我司咨询订购。
北京百奥莱博科技有限公司专业生产供应北京现货新橙皮苷标准品折扣价,产品信息:
类别:标准品对照品
英文名:Neohesperidin
| 产品名 | CAS号 | 包装规格 |
| 新橙皮苷 | 13241-33-3 | 约20mg/支 |
规格:约20mg/支
产地:国产|进口
品牌:百奥莱博
英文名:Neohesperidin
本品为新橙皮苷化学对照品,供鉴别和含量测定用,含量以99.2%计,使用前不需干燥处理。
CAS号:13241-33-3
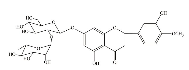
分子式:C28H34O15
分子量:610.56
结构式:

包装:棕色安瓿瓶
规格:约20mg/支
储存条件:冷处(2-10℃)保存
北京现货新橙皮苷标准品折扣价专业优质供应商:北京百奥莱博科技有限公司
关键词:Neohesperidin,13241-33-3,新橙皮苷
新橙皮苷由我公司长期专业供应,公司为广大顾客提供 新橙皮苷产品说明,生产厂家,价格,规格,哪里买 。公司遵循高品质的产品,高质量的技术服务,合理的价格,是国内研发与生产,销*(代"售")合为一体的一家大型企业,我们承诺:以最少的经费,最高的效率,得到您最需要的实验结果,同时我们承诺,若有质量问题,无条件退换。
更多有关北京现货新橙皮苷标准品折扣价的价格及使用说明等,请联系我们的业务经理王欣女士咨询,我公司还销*(代"售")以下产品:
| 编号 | 名称 | 英文名称 |
| BP0794 | 草酸 | Oxalic acid |
| BP1662 | 庆大霉素C1a | Gentamicin C1a |
| BP1075 | 黄芪甲苷 | Astragaloside IV |
| BP2026 | 丙*(代"酮")酸 | Pyruvic acid |
| BP1996 | 二缩三丙二醇 | Tripropylene Glycol |
| BP1307 | 鹰嘴豆芽素A | Biochanin A |
| BP0822 | 阿托酸6β-羟基-3α-托品酯(消旋山莨菪碱杂质Ⅰ) | 6-hydroxy-8-methyl-8-aza-bicyclo(3.2.1)octan-3-y1 2-phenylacrylate |
| BP1907 | 2’-去氧肌苷 | 2’-deoxyinosine |
| BP0179 | 盐*(代"酸")酚苄明 | Phenoxybenzamine Hydrochloride |
| BP2137 | 枸橼酸西地那非 | Sildenafil Citrate |
| BP1906 | 3’-去氧肌苷 | 3’-deoxyinosine |
| BP1767 | *康唑杂质F | Fluconazole impurity F |
| BP0743 | 利可君 | Leucogen |
| BP1034 | 厚朴酚 | Magnolol |
| BP2043 | 聚桂醇 | Lauromacrogol |
| BP0338 | **蝶啶 | Triamterene |
| BP1146 | 瓜*酸 | Citrulline |
| BP0741 | m-甲*(代"酚")-6-磺酸铵(聚甲*(代"酚")磺醛杂质) | Polocresulen Impurity |
| BP0354 | 地喹*铵 | Dequalinium Chloride |
| BP0581 | 阿佐塞米 | Azosemide |
| BP0919 | 艾拉莫德杂质M10 | Ailamode impurity M10 |
| BP1734 | 利福昔明杂质A | Rifaximin impurity A |
| BP0558 | 丁二酸洛沙平 | Loxapine Succinate |
北京百莱博科技有限公司专业生产供应销*(代"售")生物试剂、化学试剂、抗原抗体、血清血浆、Elisa试剂盒,更多试剂产品需求,欢迎来电咨询选购北京现货新橙皮苷标准品折扣价。
风险提示:丁香通仅作为第三方平台,为商家信息发布提供平台空间。用户咨询产品时请注意保护个人信息及财产安全,合理判断,谨慎选购商品,商家和用户对交易行为负责。对于医疗器械类产品,请先查证核实企业经营资质和医疗器械产品注册证情况。
技术资料暂无技术资料 索取技术资料










