万千商家帮你免费找货
0 人在求购买到急需产品
- 详细信息
- 询价记录
- 文献和实验
- 技术资料
- 库存:
346
- 英文名:
Tobramycin
- CAS号:
32986-56-4
- 保质期:
长期
- 供应商:
北京百奥莱博科技有限公司
- 保存条件:
2-8℃
特别声明:本产品及我公司所售其他产品均为科研类试剂产品,严禁用于药物、医疗及其他非科研用途。
妥布霉素标准品厂家直销由专业试剂供应商北京百奥莱博提供,用于生化研究,本产品质量好,且极具价格优势,深为用户称道,了解更多妥布霉素等标准品对照品产品请联*(代"系")我司咨询订购。
名称:妥布霉素标准品厂家直销
产地:国产|进口
规格:100mg
品牌:百奥莱博
英文名:Tobramycin
编号:BP1566
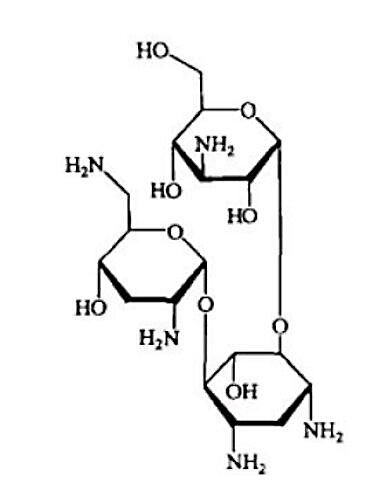
本品为妥布霉素标准品,供抗生素微生物效价测定用,使用前不需干燥处理。
CAS号:32986-56-4
分子式:C18H37N5O9
分子量:467.52
结构式:

包装:白色安瓿
规格:约100毫克/支
储存条件:2-8℃保存
除妥布霉素标准品厂家直销外,我公司正在打折促销以下产品:
ARB13409 狂犬病病毒RV 含量检测
通用DNA纯化回收试剂盒
BL0626 *甲脒-琼脂糖凝胶4FF Benzamidine Sepharose 4FF
CYB163029 羊抗人IgG、A、M-RBITC
ARB10017 人26S蛋白酶体(26S PSM)检测服务 Human 26s proteasome,26s psm ELISA KIT
BTN60805 中草药DNAOUT Herbal DNAOUT
ARB13765 鸭主要组织相容性复合体(MHC)酶标法分析 Duck major Histocomp*(代"a")tibility complex,mhc ELISA KIT
72-19-5 L-Threonine L-苏*酸
L-*甘*酸甲酯盐*(代"酸")盐 Bismuthous oxide 15028-39-4
ARB13577 兔子白介素6(IL-6)Elisa方法检测 Rabbit interleukin 6,IL-6 ELISA KIT
四乙基*化铵 Hydrindantin dihydrate 56-34-8
ARB10077 人CD4分子(CD4)ELISA代测服务 Human cluster of differentiation,cd4 ELISA KIT
107-43-7 Betaine 甜菜碱
BTN60603 即用型蓝白T载体A型(T7-SP6,有MCS) Instant Blue-White Vector T,Type A
PY01-044 胆固醇 25克
Spinner盐溶液(无酚红) 1×|10× 500ml
妥布霉素标准品厂家直销关键词:妥布霉素,Tobramycin,32986-56-4
·青霉素V
编号:BP1642
英文名称:Phenoxymethylpenicillin
规格:100mg
本品为青霉素V化学对照品,供高效液相含量测定用,含量以青霉素V(C16H18N2O5S)计。
使用方法:精密称取适量,按质量标准所规定的方法,配制至所需浓度的对照品溶液,立即使用。
储存条件:置 5℃以下条件低温避光保存。启开安瓿后严密保持干燥以防吸水。
注意事项:使用前不需干燥处理。最小取样量:10mg
·培美曲塞二*
编号:BP0680
英文名称:Pemetrexed Disodiu*(代"m")
规格:100mg
本品为培美曲塞二*化学对照品,使用前不需干燥处理。供HPLC法含量测定用,按C20H19N5Na2O6计,含量为94.0%;供IR法鉴别用,若供试品与对照品的红外光谱图不一致,将对照品和供试品分别加甲醇溶解,水浴蒸干,60℃减压干燥4小时后,取残渣,绘制红外光谱图进行比对。
CAS号:150399-23-8
分子式:C20H19N5Na2O6
分子量:471.37
包装及装量:棕色安瓿瓶装,每支约100mg。
储存条件:遮光,密封,在2~8℃保存。
注意事项:本
·紫萁酮
编号:BP1434
英文名称:Osmundacetone
规格:20mg
本品为紫萁酮化学对照品,供相关物质鉴别用。
分子式:C10H10O3
分子量:178.2
包装及装量:棕色瓶。
储存条件:常温保存。
·2-*酚
编号:BP1718
英文名称:2-Naphthol
规格:50mg/支
本品为2-*酚化学对照品,供HPLC法含量测定用,以C10H8O计,含量为99.6%。使用前不需干燥处理。
CAS号:135-19-3
分子式:C10H8O
分子量:144.06
包装:棕色安瓿
规格:50mg/支
储存条件:2-8℃遮光保存。
妥布霉素标准品厂家直销关键词:妥布霉素,Tobramycin,32986-56-4
我公司每月推出一类产品促销,您可对我公司网站时刻进行关注,在促销期间购买您所需产品妥布霉素,价格更优惠。所有产品质量保证,已经得到广大客户的认可,您可放心购买,且我司有专门的售后部门对客户进行全线跟踪。欢迎询价详谈!
·吡嗪酰胺
编号:BP0145
英文名称:Pyrazinamide
规格:100mg
本品为吡嗪酰胺(Pyrazinamide)的化学对照品。按C5H5N3O计,含量为99.9%。
分子式:C5H5N3O
分子量:123.12
CAS号:98-96-4
包装及装量:棕色小瓶装,每支约100毫克。
储存条件:遮光,密封保存。
注意事项:置五氧化二磷干燥器中,室温减压干燥18小时后使用。
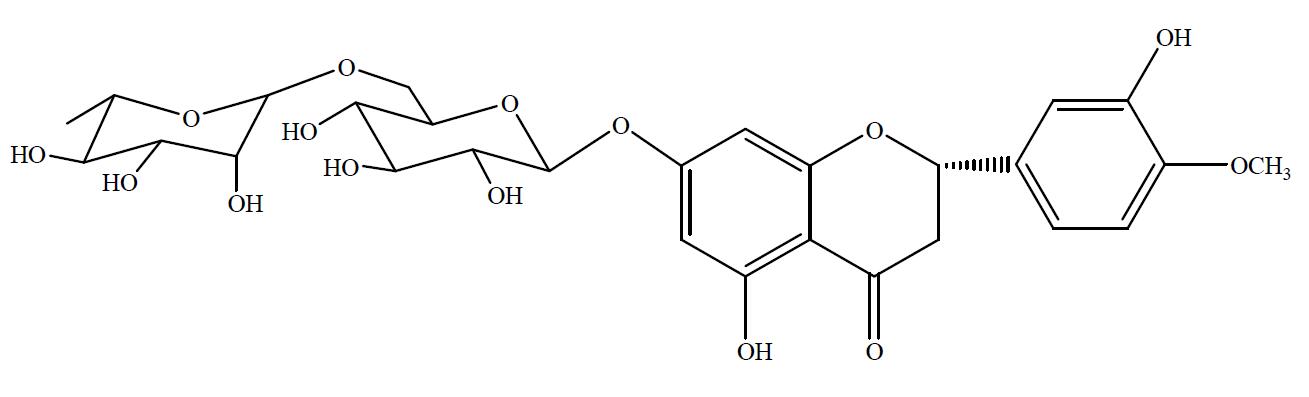
·橙皮苷
编号:BP1027
英文名称:Hesperidin
规格:20mg/支
本品为橙皮苷化学对照品,供含量测定用,含量以96.1%计,使用前不需干燥处理。
CAS号:13679-74-8
分子式:C28H34O15
分子量:610.19
结构式:

包装:棕色安瓿瓶
规格:约20mg/支
储存条件:冷处(2-10℃)保存
注意事项:本品具引湿性,建议打开包装一次性使用完。
·5’-胞苷酸
编号:BP1866
英文名称:Cytidine-5’-monophosphate
规格:10mg/瓶
本品为5"-胞苷酸化学对照品,供胞磷胆碱*及制剂含量测定中系统适用性试验和有关物质检查用。含量为99.6%。
CAS号:63-37-6
分子式:C9H14N3O8P
分子量:323.19
使用方法:按照质量标准方法称量溶解使用。
包装及装量:2ml西林瓶,约10mg/瓶
储存条件:4~8℃保存。
注意事项:使用前无需干燥处理。
我公司以高效的产品质量,完善的销*(代"售")体系、快速、安全的产品渠道,优质的客户服务,以诚信的态度,真诚的对待客户、合作伙伴以及各位同仁,欢迎来电咨询妥布霉素!
生物化工学科起始于第二次世界大战时期,以抗生素的深层发酵和大规模生产技术的研究为标志。20世纪60年代末至80年代中期,转基因技术、生物催化与转比技术、动植物细胞培养技术、新型生物反应器和新型生物分离技术等开发和研究的成功,使本学科进入了新的发展时期,学科体系逐步完善。20世纪后期,随着以基因工程为代表的高新技术的迅速崛起,为本学科的进一步发展开辟了新领域,无数前人的工作和我公司的不懈奋斗。造就了高品质的妥布霉素。
我公司生产供应销*(代"售")的标准品对照品产品正全系列现货促销,满分期待您的垂询选购妥布霉素标准品厂家直销。
风险提示:丁香通仅作为第三方平台,为商家信息发布提供平台空间。用户咨询产品时请注意保护个人信息及财产安全,合理判断,谨慎选购商品,商家和用户对交易行为负责。对于医疗器械类产品,请先查证核实企业经营资质和医疗器械产品注册证情况。
- 作者
- 内容
- 询问日期
文献和实验辛、洋地黄毒甙、苯巴比妥、苯妥英钠、氨茶碱、卡巴咪嗪、乙琥胺、利多卡因、氨甲喋啶、扑痫酮、普鲁卡因酰胺、丁胺卡那霉素、庆大霉素及妥布霉素等十余种。本法的缺点是易受代谢物等的干扰。而荧光免疫法近年来发展很快,由于它的灵敏度高与稳定性好,正在引人注目。 (二) 方法选择的依据 1.方法的灵敏度必须与血药浓度的水平相适应。各种药物在血清中有效浓度是有差别的,可有几个数量级之差。血药浓度的高低可以从所用药物的剂量来判断,一般地说剂量大,血药浓度也高,当然还与药物的吸收多少,吸收快慢及表观分布
技术资料暂无技术资料 索取技术资料










