相关产品推荐更多 >
万千商家帮你免费找货
0 人在求购买到急需产品
- 详细信息
- 文献和实验
- 技术资料
- 保存条件:
阴凉干燥
- 保质期:
长期
- 英文名:
Ginsenoside Rd
- 库存:
610
- 供应商:
北京百奥莱博科技有限公司
- CAS号:
52705-93-8
特别声明:本产品及我公司所售其他产品均为科研类试剂产品,严禁用于药物、医疗及其他非科研用途。
北京百奥莱博公司供应包括人参皂苷Rd对照品供应在内的化学标准品,化学对照品,杂志对照品,HPLC标准品,UV标准品等高品质标准品、对照品
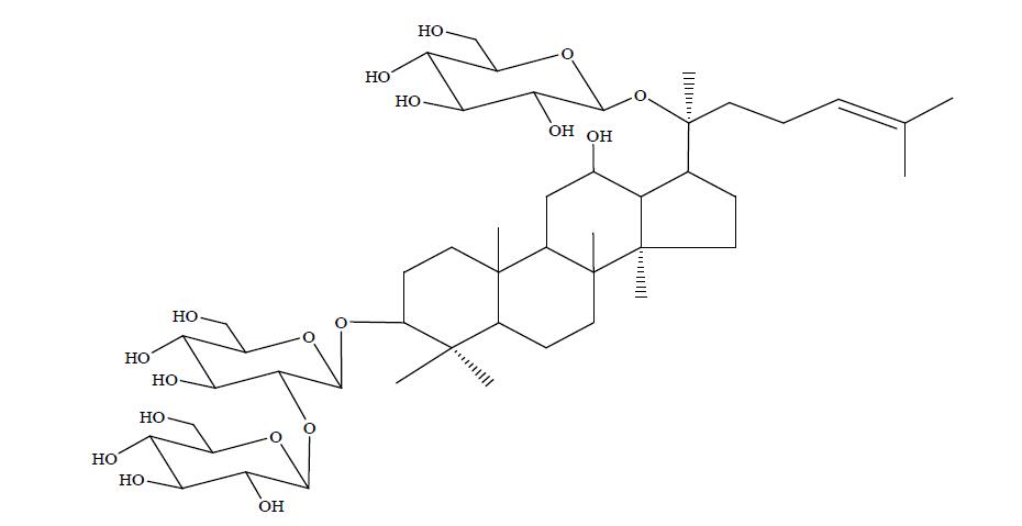
名称:人参皂苷Rd对照品供应
产地:国产|进口
英文名:Ginsenoside Rd
规格:约20mg/支
品牌:百奥莱博
本品为人参皂苷Rd化学对照品,供鉴别和含量测定用,含量以92.1%计,使用前不需干燥处理。
CAS号:52705-93-8
分子式:C48H82O18
分子量:947.15
结构式:

包装:棕色安瓿瓶。
装量:约20mg/支。
储存条件:冷冻保存。
注意事项:本品有引湿性,开封后一次使用完毕。
关于人参皂苷Rd对照品供应的更详细说明,请致电我公司咨询,我们将以最饱满的热情为您提供解答,此外,我公司专业供应下列产品:
·拉米夫定杂质Ⅲ
编号:BP0931
英文名称:Lamivudine Impurity Ⅲ 1-[(2R,5S)-2-(hydroxymethyl)-1,3-oxathiolan-5-yl]pyrimidine-2,4(1H, 3H)-dione
规格:20mg/支
本品为拉米夫定杂质Ⅲ化学对照品,供HPLC法系统适用性试验用,使用前不需干燥处理
CAS号:145986-07-8
分子式:C8H10N2O4S
分子量:230.23
结构式:


胞嘧啶、尿嘧啶、拉米夫定、水杨酸、拉米夫定杂质Ⅰ-Ⅴ混合物色谱图
·(左)氧*沙星杂质E
编号:BP1731
英文名称:Ofloxacin/Levofloxacin Impurity E
规格:约50mg
本品为左氧*沙星杂质E化学对照品,供氧*沙星、左氧*沙星及各种成盐形式的左氧*沙星品种系统适用性试验及有关物质测定用。
使用方法:精密称取本品适量,按相关质量标准的规定,溶解并稀释至所需浓度的溶液,立即使用。
储存条件:置5℃以下低温避光保存。开启安瓿后严密保持干燥,以防吸水。
注意事项:使用前不需干燥处理。
·莪术油
编号:BP1197
英文名称:Zedoary oil
规格:0.2ml
本品为左氧*沙星杂质E化学对照品,供氧*沙星、左氧*沙星及各种成盐形式的左氧*沙星品种系统适用性试验及有关物质测定用。
使用方法:精密称取本品适量,按相关质量标准的规定,溶解并稀释至所需浓度的溶液,立即使用。
储存条件:置5℃以下低温避光保存。开启安瓿后严密保持干燥,以防吸水。
注意事项:使用前不需干燥处理。
·款冬酮
编号:BP1431
英文名称:Tussilagone
规格:约20mg/支
本品为款冬酮化学对照品,供鉴别或含量测定用,含量以99.1%计,置五氧化二磷干燥器中减压干燥12小时后使用。
CAS号:104012-37-5
分子式:C23H34O5
分子量:390.51
结构式:

包装:棕色瓶
规格:约20mg/支
储存条件:冷处(2-10℃)
人参皂苷Rd对照品供应关键词:52705-93-8,人参皂苷Rd,Ginsenoside Rd
·雷米普利杂质Ⅴ(雷米普利拉)
编号:BP0985
英文名称:Ramipril impurity Ⅴ(Ramiprilat)
规格:50mg/支
本品为雷米普利杂质Ⅴ(雷米普利拉)化学对照品,供HPLC法系统适用性试验用,使用前不需干燥处理。
CAS号:87269-97-4
分子式:C21H28N2O5
分子量:388.46
结构式:

包装:棕色安瓿
规格:50毫克/支
储存条件:遮光,2~8℃保存
·*普生*
编号:BP0265
英文名称:Naproxen Sodium
规格:100mg/支
本品为*普生*的化学对照品,105℃干燥2小时后使用,供UV法含量测定用,按C14H13NaO3计,含量为100.0%。
分子式:C14H13NaO3
结构式:

分子量:252.25
包装:棕色西林瓶
规格:约100毫克/支
储存条件:遮光、10~30℃干燥处密闭保存。
注意事项:本品有引湿性,建议RH50%以下使用。
·六甲蜜胺
编号:BP0631
英文名称:Altretamine
规格:100mg
本品为*普生*的化学对照品,105℃干燥2小时后使用,供UV法含量测定用,按C14H13NaO3计,含量为100.0%。
分子式:C14H13NaO3
结构式:

分子量:252.25
包装:棕色西林瓶
规格:约100毫克/支
储存条件:遮光、10~30℃干燥处密闭保存。
注意事项:本品有引湿性,建议RH50%以下使用。
·蒙脱石
编号:BP0652
英文名称:Montmorillonite
规格:1g
本品为蒙脱石化学对照品,供X-射线衍射图谱鉴别用。20℃相对湿度75%条件下饱和12小时后测定X-射线衍射图谱。
包装及装量:棕色西林瓶装,每支约1g。
储存条件:遮光,密封保存。
人参皂苷Rd对照品供应关键词:52705-93-8,人参皂苷Rd,Ginsenoside Rd
人参皂苷Rd如何储存?
化学试剂的变质,大多数情况是因为受外界条件的影响,如空气中的氧气、二氧化碳、水蒸气、空气中的酸碱性物质以及环境 温度、光照等,都可使化学试剂发生氧化、还原、潮解、风化、析晶、稀释、锈蚀、分解、挥发、升华、聚合、发霉、变色以及燃爆等变化。经常检查储存中的化学 试剂的存放状况发现实际起过的储存期或变质应及时报告,并按规定妥善处理 ( 降级使用或报废) 和销帐。在正常储存条件下,一般化学试剂贮有不宜超过2年,基准试剂不超1年。为了避免环境和其他因素的干扰,所有化学试剂一经取出不得放回贮有容器: 属于必须回收的试剂或指定、退库、的试剂,必须另设专用容器回收或贮存,具有吸潮性或易氧化,易变质的化学试试剂必须密封保存,避免吸湿解,氧化或变质。 定期盘点,核对出现差错应及时检查原因,并报主管领导或部门处理。
·克林霉素棕榈酸酯
编号:BP1745
英文名称:Clindamycin Palmitate
规格:100mg/支
本品为克林霉素棕榈酸酯化学对照品,供高效液相含量测定用,含量以克林霉素(C34H63ClN2O6S)计。
CAS号:25507-04-4
分子式:C34H63ClN2O6S
分子量:662.41
包装及装量:安瓿,100mg/支
储存条件:置4℃条件低温避光保存。
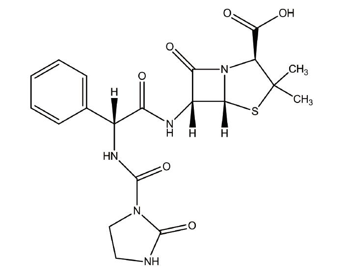
·阿洛西林
编号:BP1698
英文名称:Azlocillin
规格:100mg/支
本品为阿洛西林化学对照品,供HPLC法含量测定用,以C20H23N5O6S计,含量为93.8%。使用前不需干燥处理。
CAS号:37091-66-0
分子式:C20H23N5O6S
分子量:461.1
结构式:

包装:白色安瓿
规格:100mg/支
储存条件:2-8℃条件遮光保存。
·环甲基硅酮4
编号:BP2082
英文名称:Cyclomethicone 4
规格:0.5g/瓶
本品为环甲基硅酮4化学对照品,仅供环甲基硅酮品种红外鉴别和含量测定用,使用前不需干燥处理,以(C2H6OSi)4计,含量为99.1%。
CAS号:69340-24-6
分子式:(C2H6OSi)4
分子量:296.4
包装:棕色安瓿瓶
规格:约0.5g/瓶
储存条件:常温保存
·呱西替柳
编号:BP0718
英文名称:Guacetisal
规格:100mg
本品为环甲基硅酮4化学对照品,仅供环甲基硅酮品种红外鉴别和含量测定用,使用前不需干燥处理,以(C2H6OSi)4计,含量为99.1%。
CAS号:69340-24-6
分子式:(C2H6OSi)4
分子量:296.4
包装:棕色安瓿瓶
规格:约0.5g/瓶
储存条件:常温保存
人参皂苷Rd等科研试剂品质优良,受到广大科研工作者的一致肯定和赞许。质量品牌保证,价格公正,倾力为国内国外生命科学研究人员提供一流的产品。欢迎来电咨询!
我公司所售科研每月均有新品促销,您可对我公司网站时刻进行关注,在促销期间购买您所需产品,价格更优惠。人参皂苷Rd质量保证,品质已经得到广大客户的认可,您可放心,且我公司有专门的售后部门对客户进行全线跟踪,全程免费技术指导。欢迎询价详谈!
我公司正在打折促销标准品对照品全系列产品,恭候您的咨询选购人参皂苷Rd对照品供应。
风险提示:丁香通仅作为第三方平台,为商家信息发布提供平台空间。用户咨询产品时请注意保护个人信息及财产安全,合理判断,谨慎选购商品,商家和用户对交易行为负责。对于医疗器械类产品,请先查证核实企业经营资质和医疗器械产品注册证情况。
文献和实验对照品系指用于鉴别、检查、含量测定和校正检定仪器性能的标准物质。 标准品系指用于生物检定、抗生素或生物药品中含量或效价测定的标准物质,以效价单位(U)表示。 还是感觉不甚明了,是否标准品只用于生物方面?是否化学方面只能称对照品?标准品有什么要求?对照品有什么要求? 国家药品标准品、对照品系指国家药品标准中用于鉴别、检查、含量测定、杂质和有关物质检查等标准物质,它是国家药品标准不可分割的组成部分。国家药品标准物质是国家药品标准的物质基础,它是用来检查药品质量的一种特殊的专用
2.1方法 2.1.1蒜氨酸对照品溶液的制备精密称取蒜氨酸对照品0.01g置于10ml量瓶中,甲醇-水(1∶1)溶解,定容至刻度(每毫升含蒜氨酸对照品1mg)。 2.1.2供试品溶液的制备采用水煮灭活蒜氨酸酶和甲醇灭活蒜氨酸酶法,制备样品,确定样品的制备方法。 方法1:去皮蒜10g,甲醇50ml打碎15s,转移至250ml锥形瓶中,加入50ml水,在超声器中超声15min,精密吸取10ml,浓缩至5ml,备用。 方法2:去皮蒜10g,水煮10min,加水
高效液相色谱法对舒冠片中淫羊藿甙的含量进行了测定,旨在建立舒冠片中淫羊藿甙的含量测定方法. 1 材料 仪器:LC-10AT高效液相色谱仪及CLASS-LC10色谱工作站均为日本岛津公司产品.试药:淫羊藿甙对照品供含量测定用,批号为0773-9910,由中国药品生物制品检定所提供;舒冠片按卫生部颁布标准WS 3 -B-1653收载的制备方法自制,批号分别为040911,040912,040913,040914,040915;甲醇和乙腈为高效液相色谱纯;其他试剂均为分析
技术资料暂无技术资料 索取技术资料










