相关产品推荐更多 >
万千商家帮你免费找货
0 人在求购买到急需产品
- 详细信息
- 文献和实验
- 技术资料
- 库存:
405
- 英文名:
Amphotericin B
- 保质期:
长期
- 供应商:
北京百奥莱博科技有限公司
- 保存条件:
2-8℃
特别声明:本产品及我公司所售其他产品均为科研类试剂产品,严禁用于药物、医疗及其他非科研用途。
百奥莱博公司致力于为全国科研单位提供药典标准品、对照品、标准溶液、标准样品、对照培养基、国家标准品等可靠标准物质,其中两性霉素B对照品说明书的品质过硬,在广大科研人员中有口皆碑!
名称:两性霉素B对照品说明书
英文名:Amphotericin B
规格:50mg
编号:BP1737
产地:国产|进口
品牌:百奥莱博
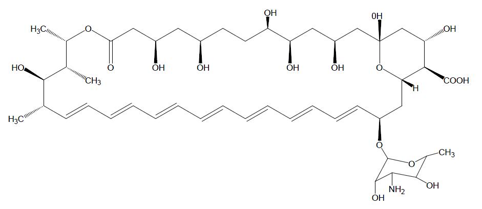
本品为两性霉素B化学对照品,供HPLC含量测定用,以C47H73NO17计含量为88.4%,使用前不需干燥处理。
分子式:C47H73NO17
分子量:924.09
结构式:

包装:棕色安瓿
规格:约50mg/支
储存条件:2-8℃遮光保存
注意事项:本品溶液建议配制后立即使用。
我公司的两性霉素B对照品说明书,性价比高,货期短,送货上门,欢迎您来电咨询购买,另外,我公司还生产供应销*(代"售")下列产品:
·拉呋替丁
编号:BP0653
规格:100mg
本品为拉呋替丁化学对照品,供HPLC法含量测定用,使用前不需干燥处理,按C22H29N3O4S计,含量为99.8%。
CAS号:118288-08-7
分子式:C22H29N3O4S
分子量:431.56
包装及装量:棕色西林瓶装,每支约100毫克。
储存条件:遮光,密封保存。
注意事项:使用前不需干燥处理。
·甲氧*普胺
编号:BP0632
英文名称:Metoclopramide
规格:100mg
本品为甲氧*普胺化学对照品,供含量测定用,105℃干燥2小时后使用。按C14H22ClN3O2计,含量为99.8%。
CAS号:364-62-5
分子式:C14H22ClN3O2
分子量:299.80
结构式:

包装及装量:棕色西林瓶装,每支约100mg。
储存条件:遮光,密封保存。
·连翘苷
编号:BP1107
英文名称:Forsythin
规格:20mg/支
本品为连翘苷化学对照品,供鉴别和含量测定用,含量以94.9%计,使用前不需干燥处理。
CAS号:487-41-2
分子式:C27H34O11
分子量:534.55
结构式:

包装:棕色安瓿瓶
规格:约20mg/支
储存条件:冷处(2-10℃)保存
注意事项:本品具有引湿性,建议打开包装一次性使用完。
·布地奈德
编号:BP0736
英文名称:Budesonide
规格:100mg/支
本品为布地奈德化学对照品,供HPLC法鉴别和含量测定用。本品无需干燥,以C25H34O6计,含量为98.9%。
CAS号:51333-22-3
分子式:C25H34O6
分子量:430.54
结构式:

包装:棕色西林瓶
规格:约100毫克/支
储存条件:密闭避光保存
注意事项:本品配制成溶液后不稳定,应临用临配,避免长时间室温放置。
两性霉素B对照品说明书关键词:两性霉素B,Amphotericin B,BP1737
我公司所售科研每月均有新品促销,您可对我公司网站时刻进行关注,在促销期间购买您所需产品,价格更优惠。两性霉素B质量保证,品质已经得到广大客户的认可,您可放心,且我公司有专门的售后部门对客户进行全线跟踪,全程免费技术指导。欢迎询价详谈!
BL0893 FITC标记羊抗人IgG抗体
ARB12102 大鼠甘油三酯(TG)酶标法分析 Rat triglyceride,tg ELISA KIT
CYB161001 人IgG(冻干粉)
CYB167074 兔抗亲合素
2×Taq plus MasterMix 500μl|5×500μl
对*基*甲*(代"酸") Bismuth subsalicylate 150-13-0
ARB11736 人登革热抗体(DF-Ab)含量测试 Human dengue fever antibody,df ELISA KIT
碱性品红水溶液(1%) 100ml
ARB13932 猪单核细胞增多性李斯特菌素O(LLO)尿液中含量检测 Porcine listeriolysin o,llo ELISA KIT
ARB12901 小鼠白介素1(IL-1)代做ELISA实验 Mouse interleukin 1,IL-1 ELISA KIT
ARB11174 人单核细胞增多性李斯特菌素O(LLO)含量测试 Human listeriolysin o,llo ELISA KIT
BL1165 细菌基因组DNA提取试剂盒
ARB13709 兔细胞间粘附分子-1(ICAM-1)含量检测 Rabbit intercellular adhesion molecule 1,icam-1/cd54 ELISA KIT
碱性磷酸酶(ALP)检测试剂盒(磷酸*二*比色法) 50T|100T
113-24-6 Pyruvic Acid 丙*(代"酮")酸*
肝素* 1-Pentadecanol 9041-08-01
PY02-100 克氏双糖铁琼脂(上层) 250克
核固红染色液 0.1%|0.2% 100ml
ARB11855 人糖化血红蛋白A1c 尿液中含量检测 Human glycated hemoglobin a1c ELISA KIT
Tris-甘油加样缓冲液(2×) 5ml
磷酸葡萄糖异构酶 Sephadex LH-20 9001-41-6
两性霉素B对照品说明书关键词:两性霉素B,Amphotericin B,BP1737
我公司客户遍布大学、研究所、医院、卫生防疫、商品检验检疫、制药公司、生物技术公司和食品工业等单位。公司供应的两性霉素B获得一致好评。其立足于生命科学领域,全力打造高品质生物科技产品链和技术服务链,也具备丰富的管理经验,同时我们建立了集技术支持、售后服务等多方位的服务体系。我们有激情、有理想,更有责任感,是您科研道路上值得信赖的伙伴。
公司的理念是:以诚信为本,努力打造优质品牌,为您提供全方位的售中、售后服务。
ARB13808 豚鼠降*素基因相关肽(CGRP)elisa检测操作说明书 Guinea pig calcitonin gene related Peptide,cgrp ELISA KIT
ARB13139 小鼠前列腺酸性磷酸酶(PAP)Elisa方法检测 Mouse prostatic acid phosphatase,pap ELISA KIT
盐*(代"酸")付玫瑰**(代"胺") Indoxyl-Glucuronide 569-61-9
BL1297 GST标签纯化树脂(GST Resin)
SDS-PAGE凝胶制备试剂盒 50次
FMOC-L-天冬*酸 5-Nitro-1,10-phenanthroline 119062-05-4
ARB10792 人抗内因子抗体(IFA)含量测试 Human intrinsic factor antibody,ifa ELISA KIT
结晶紫-柠檬酸染色液(0.1%) 100ml
ARB13528 兔p53(p53)含量检测 Rabbit p53/tumor protein,p53/tp53 ELISA KIT
68938-01-2 DNA(Salmon sperm ) 鲑鱼精DNA
维拉帕米盐*(代"酸")盐 Boc-D-glutamine 152-11-4
BTN80602 柱式凋亡DNAOUT Column Apoptotic DNAOUT
PY08-015 庆大霉素琼脂平板 9CM 10皿/盒,用于霍乱弧菌的选择性分离培养
15086-94-9 伊红Y(醇溶) Eosin Y
ARB10245 人乙型肝炎病毒前S2抗体(HBV preS2Ab)elisa检测说明书 Human hepatitis b virus,hbv pres2ab ELISA KIT
脂蛋白a(Lp-a)检测试剂盒(免疫比浊比色法) 100T
9036-06-0 PronaseE 链霉蛋白酶E
我公司是一家生物高新技术企业,主要从事免疫学、分子生物学和常规生化试剂的研发、销*(代"售")。致力于为广大高校、科研院所和企事业单位提供一流的科研试剂和完善的技术服务,满足生物化学、分子生物学 、两性霉素B、细胞生物学、免疫学ELISA试剂盒等生物科技实验需求。我们诚以100%的热情换您100%的满意!
北京百莱博科技有限公司专业生产标准品对照品产品,欢迎来电咨询选购两性霉素B对照品说明书。
风险提示:丁香通仅作为第三方平台,为商家信息发布提供平台空间。用户咨询产品时请注意保护个人信息及财产安全,合理判断,谨慎选购商品,商家和用户对交易行为负责。对于医疗器械类产品,请先查证核实企业经营资质和医疗器械产品注册证情况。
文献和实验品和对照品均附有使用说明书,质量要求,有效期和装量等。 1.定义 生物制品标准物质系指用于生物制品效价、活性或含量测定的或其特性鉴别、检查的生物标准品或生物参考物质。 2.标准物质的种类 生物制品标准物质分为二类: 国家生物标准品:系指用国际标准品标定的,或我国自行研制的(尚无国际生物标准品者)用于定量测定某一制品效价或毒性的标准物质,其生物活性以国际单位(IU)或以单位(U)表示。 国家生物参考品:系指用国际参考品标定的,或我国自行研制的(尚无国际参考品者)用于微生
。由于大量正常人血甭较难得到,国外试剂盒中的对照品多以复钙人血浆(recalcified human plasma)为原料,即在血浆中加入钙离子,使其中的纤维蛋白质凝固,除去凝块后所得的液体,其组成与血清相似。阴性对照品须先行检测,确定其中不含待测物质。例如HBsAg检测的阴性对照品中不可含HBsAg,最好抗HBs也是阴性。阳性对照品多以含蛋白保护剂的缓冲液为基质,其中加入一定量的待检物质,此量最好在试剂说明书中标明。加入的量应与试剂的敏感度相称,在测定中得到的吸光值与受检标本吸光值比较,可对标本中受检
产生假阳性反应。一般说来,在 3 天内测定的血清标本可放置于 4℃,超过一周测定的需低温冰存。冻结血清融解后,蛋白质局部浓缩,分布不均,应充分混匀宜轻缓,避免气泡,可上下颠倒混和,不要在混匀器上强烈振荡。混浊或有沉淀的血清标本应先离心或过滤,澄清后再检测。反复冻融会使抗体效价跌落,所以测抗体的血清标本如需保存作多次检测,宜少量分装冰存。保存血清自采集时就应注意无菌操作,也可加入适当防腐剂。 2. 试剂的准备 按试剂盒说明书的要求准备实验中需用的试剂。 ELISA 中用的蒸馏水或去离子
技术资料暂无技术资料 索取技术资料










