万千商家帮你免费找货
0 人在求购买到急需产品
- 详细信息
- 文献和实验
- 技术资料
- 保存条件:
冷藏
- 保质期:
长期
- 英文名:
Genkwanin
- 库存:
866
- 供应商:
北京百奥莱博科技有限公司
特别声明:本产品及我公司所售其他产品均为科研类试剂产品,严禁用于药物、医疗及其他非科研用途。
百奥莱博公司致力于为全国科研单位提供药典标准品、对照品、标准溶液、标准样品、对照培养基、国家标准品等可靠标准物质,其中芫花素对照品厂家的品质过硬,在广大科研人员中有口皆碑!
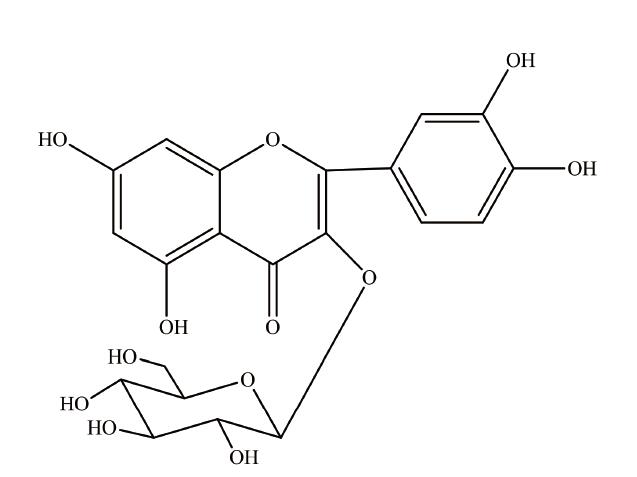
名称:芫花素对照品厂家
编号:BP1443
规格:20mg/支
品牌:百奥莱博
产地:国产|进口
英文名:Genkwanin
本品为芫花素化学对照品,供鉴别或含量测定用,含量以94.9%计,使用前无需处理。
分子式:C16H12O5
分子量:284
结构式:

包装:棕色安瓿瓶
保存条件:室温保存
欲咨询购买芫花素对照品厂家,请致电北京百奥莱博科技有限公司,为您提供最全面周到的产品服务,除此之外,我公司正在促销以下产品:
ARB11807 人颗粒酶B(Gzms-B)定量分析 Human granzymes b,gzms-b ELISA KIT
兔肌动蛋白 GABA 51005-14-2
BL1284 1×PBST,PH7.2-7.4,0.01M,液体
ARB13509 鱼促卵泡素(FSH)含量分析 Fish fsh ELISA KIT
"MTT细胞增殖及细胞毒性检测试剂盒
F060101 艾滋抗原
HC0271 Biohit移液器
ARB10362 人双*睾酮(DHT)ELISA代测服务 Human dihydrotestosterone,dht ELISA KIT
转铁蛋白 4-Ethylphenol 11096-37-0
L-丙*酸 Hydroxyurea 56-41-7
ARB12002 大鼠S-100 蛋白Elisa定量检测 Rat soluble protein-100,s-100 ELISA KIT
ARB12830 小鼠小扁豆素结合型甲胎蛋白/甲胎蛋白异质体3(AFP-L3)代做ELISA实验 Mouse alpha-fetoprotein lens culinaris agglutⅡn 3,afp-l3 ELISA KIT
肾上腺酮 Fmoc-Phe-OH 50-22-6
CYB167074 兔抗亲合素
F030205 HRP标记山羊抗小鼠IgG抗体 Goat Anti-Mouse IgG*HRP
甲基红-亚甲基蓝指示剂 100ml
芫花素对照品厂家关键词:BP1443,芫花素,Genkwanin
·盐*(代"酸")特拉唑嗪
编号:BP0301
英文名称:Terazosin Hydrochloride
规格:100mg
本品为盐*(代"酸")特拉唑嗪的二水合物,按C19H25N5O4·HCl计,供HPLC法测定,含量为92.3%;供UV法测定,含量为92.4%。
分子式:C19H25N5O4·HCl·2H2O
分子量:459.93
CAS号:70024-40-7
包装及装量:棕色小瓶装,每支约100毫克
储存条件:遮光,密封保存。
注意事项:使用前不需干燥处理。
·L-苹果酸
编号:BP1991
英文名称:L-(-)-Malic acid
规格:100mg/支
本品为L-苹果酸化学对照品,供L-苹果酸品种系统适用性试验用和红外鉴别用。
CAS号:97-67-6
分子式:C4H6O5
分子量:134.08
包装:棕色安瓿装
规格:每支约100mg
储存条件:干燥,密闭,在4℃保存。
注意事项:使用前不需干燥,本品易潮解。打开包装后一次使用完毕。
·杯苋甾酮
编号:BP1374
英文名称:Cyasterone
规格:约20mg/支
本品为杯苋甾酮化学对照品,鉴别或含量测定用,含量以95.3%计,使用前不需干燥处理。
CAS号:17086-76-9
分子式:C29H44O8
分子量:520.65
结构式:

包装:棕色安瓿
规格:约20mg/支
储存条件:冷处(2~10℃)
注意事项:本品有引湿性,建议打开包装一次性使用完。
·磺胺
编号:BP0022
英文名称:Sulfanilamidum
规格:100mg/支
本品为磺胺(Sulfanilamidum),供含量测定用,按C6H8N2O2S计,含量为99.8%。
分子式:C6H8N2O2S
分子量:172.20
CAS号:63-74-1
包装及装量:棕色小瓶装,每支约100毫克。
储存条件:遮光,密封保存。
注意事项:105℃干燥2小时后使用。
芫花素对照品厂家关键词:BP1443,芫花素,Genkwanin
我公司所售商品均为100%厂家供货,品质保证,价格优惠!
1.试剂包装:1g、5g、10g、25g、100g、500g等不同包装,欢迎来电咨询:芫花素,生化试剂
2.试剂纯度:97%-99%以上
3.库存均有现货。
4.产品订购以订货当日最新价格为准。
5.所有产品为确保质量,出库均复检。
二十七烷 L-Asparagine Monohydrate 593-49-7
3-*丙胺*化* Fmoc-Gly-OH 5003-71-4
乙酸*溶液(3mol/L,pH6.0,RNase free) 500ml
肉桂酸 Azlocillin sodiu*(代"m") 140-10-3
ARB11459 人透明质酸酶(HAAse)酶免分析 Human hyaluronidase,haase ELISA KIT
PY01-162 磷酸二**(无水) 500克
ARB12728 小鼠5核苷酸酶(5-NT)免费代测 Mouse 5-nucleotidase,5-nt ELISA KIT
ARB13390 牛瘦素(LEP)酶联免疫定量检测
ARB13747 兔糖化血红蛋白A1c 检测服务 Rabbit glycated hemoglobin a1c ELISA KIT
ARB13413 鸡5核苷酸酶(5-NT)定量分析 Chicken 5-nucleotidase,5-nt ELISA KIT
606-68-8 NADH Na2 还原型辅酶Ⅰ二*
甘油溶液(100%,无菌) 100ml
ARB12634 大鼠硫氧化还原蛋白(Trx)血清中含量检测 Rat thioredoxin,trx ELISA KIT
ARB13967 猪胰岛素样生长因子-2(IGF-2)Elisa定量检测 Porcine igf-2ELISA KIT
ARB12664 大鼠碱性成纤维细胞生长因子4(bFGF-4)酶免分析 Rat basic fibroblast growth factor 4,bfgf-4 ELISA KIT
6381-92-6 EDTA Na2 乙二*(代"胺")四乙酸二*
BTN131236 牛血清白蛋白封堵液 BSA Blocking Solution
芫花素的不同等级:
除了优级纯、分析纯、化学纯、实验试剂外,目前市场上尚有:基准试剂(PT):专门作为基准物用,可直接配制标准溶液。光谱纯试剂(SP):表示光谱纯净。但由于有机物在光谱上显示不出,所以有时主成分达不到99.9%以上,使用时必须注意,特别是作基准物时,必须进行标定。纯度远高于优级纯的试剂叫做高纯试剂(≥ 99.99%)。
一般化学试剂的品级:一级试剂、二级试剂、三级试剂、四级试剂
国内标准名称:优级纯(保证试剂)、分析纯、化学纯 、实验试剂
国内标签颜色:绿色、红色、蓝色、中黄色
我公司主要从事免疫学、分子生物学和常规生化试剂的研发、销*(代"售")。并代理销*(代"售")R&D、Sigma、Amresco 、Gibco、Pharmacia、HyClone、GIBCO等多个国外知名品牌,致力于为广大高校、科研院所和企事业单位提供一流的科研试剂和完善的技术服务,满足生物化学、分子生物学 、细胞生物学、免疫学等生物科技实验需求。 公司主要产品:试剂盒:芫花素、ELISA试剂盒、分子生物学试剂、细胞凋亡试剂盒。各种动物血清:NBQQ、HyClone、GIBCO胎牛血清。抗体:进口原装抗体、进口分装抗体、单克隆抗体、多克隆抗体、一抗、二抗。 我们立足于生命科学领域,全力打造高品质生物科技产品链和技术服务链,立志成为生命科学研究领域的问题解决专家。
我公司强烈推荐标准品对照品系列产品,热情期待您的咨询选购芫花素对照品厂家。
风险提示:丁香通仅作为第三方平台,为商家信息发布提供平台空间。用户咨询产品时请注意保护个人信息及财产安全,合理判断,谨慎选购商品,商家和用户对交易行为负责。对于医疗器械类产品,请先查证核实企业经营资质和医疗器械产品注册证情况。
文献和实验,多是与试剂供应商洽谈,由生产厂家发货,所以这样定性检测质控品就奇货可居了。 质控品来源 我们实验室的免疫ELISA定性质控品也是与试剂供应商洽谈,从试剂生产厂家发货过来的,成本有点高,出于经济因素,我们都是将到货的质控品及时按用量分装到EP管(子弹头)中,依温度要求进行冷冻处理,每天拿出需要用的一小支解冻使用。这样就避免了质控品的反复冻融,防止破坏质控品中蛋白质成份,造成失控。 室内质控品不同于试剂盒中的内部对照品,个别实验室认为试剂盒中内部阴阳对照品即是室内
液相色谱-蒸发光散射检测法测定其黄芪甲苷的含量,报道如下。 1 仪器与试药 LC�10ATvp高效液相色谱仪(日本岛津公司);ELSD�2000蒸发光检测器(美国Alltech);黄芪甲苷对照品(中国药品生物制品检定所提供,批号为110781�200311,为含量测定用);乙腈为色谱纯,水为经Milli�Q过0.22μm膜净化的超纯水,其它试剂均为分析纯。心舒康片样品(厂家提供)。 2 方法与结果 2.1 色谱条件 色谱柱为Agilent HC�
性质稳定,且对浓度准确度要求不是太高的溶液,可长期保存使用。像福尔马林、生理盐水、CMC-Na溶液。 按其纯度可分为: 化学纯:一般化学实验用的,含少量杂质.纯度一般应在98%以上. 分析纯:做分析实验用的,含微量杂质,纯度一般应在99%以上.缩写: A.R 色谱纯:液相流动相的要求.据本人理解应是不出现杂峰.纯度可能在99.9%. 生化纯:好像在一些生化试剂里有这么写的.缩写:B.R 要注意的是,有些厂家有标明 优级纯(G
技术资料暂无技术资料 索取技术资料










