相关产品推荐更多 >
万千商家帮你免费找货
0 人在求购买到急需产品
- 详细信息
- 文献和实验
- 技术资料
- 库存:
507
- 供应商:
北京百奥莱博科技有限公司
- 英文名:
LB Petri Dish(Amp)
特别声明:本产品及我公司所售其他产品均为科研类试剂产品,严禁用于药物、医疗及其他非科研用途。
百奥莱博专业生产供应即用型LB平板培养基(含Amp)哪里卖,我公司销*(代"售")全品类的分子生物学试剂,价格优惠,欢迎广大科研工作者垂询订购。
名称:即用型LB平板培养基(含Amp)哪里卖
产地:国产|进口
品牌:百奥莱博
编号:BTN130848B
英文名:LB Petri Dish(Amp)
规格:10块
本产品为即用型LB平板培养基,A型为无抗生素LB平板,B型为LB-Amp平板,C型为LB-Kan平板,LB-Tet平板。
储存条件:低温运输及保存,有效期半年。
关于即用型LB平板培养基(含Amp)哪里卖的更详细说明,请致电我公司咨询,我们将以最饱满的热情为您提供解答,此外,我公司专业供应下列产品:
·一站式miRNA柱式提取试剂盒
编号:BTN80104
英文名称:One-stop miRNA column extraction kit
规格:50次
本试剂盒是目前国内外市场上最快速最简单的小RNA分离纯化产品。
试剂盒特点:
1.一步法直接分离纯化小RNA,比两步法(先分离总RNA和再纯化其中的小RNA)和PAGE电泳回收法更简单。得到的小RNA长度大部分在200nt以下,包括5S RNA、tRNA、miRNA、Pre-miRNA、pri-miRNA、siRNA、shRNA和snRNA等。
2. 柱式操作,比miRNA提取试剂盒更加简单快捷,整个过程只需要十多分钟。
3.适用范围广,可以用于动物组织、血液及部分植物组织等实验材料。
4.小RNA 纯净,OD260/280一般都在1.9以上。
5.产率一般为20-40μg/100mg动物组织。
6. 无基因组DNA的污染。
7.可用于RT-PCR、miRNA 标记、microarray等后续实验。
试剂盒组成:
| 成分 | 规格 |
| 溶液A | 25ml |
| 溶液B | 25ml |
| 溶液C | 50ml |
| 离心吸附柱 | 100套 |
| 通用洗柱液 | 50ml |
| RNA洗脱液 | 10ml |
| 说明书 | 1份 |
储存条件:常温运输,4℃保存,有效期一年。
使用方法:
由于离心吸附柱的吸附量限制,本产品每次提取只能处理100mg左右的各种组织,可以在1.5mL塑料离心管中。如果处理样品量大,请分成很多相当于微量提取的量进行,最后再收集在一起。
1. 新鲜配制裂解液。将溶液A和溶液B按1:1的比例混合,然后根据组织细胞类型的不同分为下面及种情况使用。注意:溶液A和溶液B混合后必须立即使用,不要放置,否则会产生沉淀。
a)对贴壁细胞:吸尽培养液,在每10平方厘米细胞中加入1mL新鲜配制的裂解液,用枪轻柔吹打数次,确保细胞全部裂解。
b)对悬浮细胞:离心收集细胞,吸尽液体,在每1-5×106 悬浮细胞中加入1mL新鲜配制的裂解液,用枪轻柔吹打数次,确保细胞全部裂解。如果是fibroblasts或carcinoma cell,1mL 新鲜配制的裂解液的细胞使用量不要超过1×106个细胞。
c)对新鲜的动物组织:先将剪切成小块新鲜组织或液氮保存的组织放入10mL或15mL塑料离心管中,每50-100mg 组织加1mL 新鲜配制的裂解液,用匀浆器匀浆30秒左右。对肝、脾、胰、肾等细胞分裂十分旺盛的组织(细胞中含大量正在复制的DNA),建议组织的使用量不要超过50mg/mL裂解液,否则十分容易产生DNA污染。
d)对新鲜的植物组织:先将剪切成小块新鲜组织或液氮保存的组织放入10mL或15mL塑料离心管中,每50-100mg 组织加1mL 新鲜配制的裂解液,用匀浆器匀浆30秒左右。
e)对 RNAhold 保存动物或植物组织:先用纸吸去RNAhold液体后再剪切成小块,放入10mL或15mL塑料离心管中,每50-100mg组织加1mL新鲜配制的裂解液,用匀浆器匀浆30秒左右。
2. 将裂解物转移至一个干净的1.5mL塑料离心管中,然后加入0.2倍体积的自备*仿(1mL裂解物需0.2mL *仿),振荡器上充分振荡混均30秒。
3. 12000~15000g室温离心3~5分钟。
4. 将上清液(约0.6-0.8mL)转移到一根离心吸附柱中以去除大RNA(最好标记以跟后面要用的专门吸附小RNA的另一离心吸附柱区别开来,本试剂盒提供的离心吸附柱之间没任何区别,可以随机选一个做大RNA 吸附,另一个做小RNA 吸附)。注意:离心后下层有机相和中间层含有DNA和蛋白质,避免触及,否则将产生蛋白质和DNA污染。为保险起见,可以留下100μL上清液不取。同时吸取上清时最好缓慢进行,否则容易吸出交界面的不可见的丝状DNA。
5. 12000~15000g室温离心半分钟,收集管中的穿透液。大RNA 及DNA将与离心吸附柱的膜结合,小RNA 将存在于穿透液中。但由于离心吸附柱的最大吸附能力为40μg动物RNA,20μg植物RNA,如果样品中的大RNA含量高于上面数值,则穿透液中将同时含有大RNA和小RNA,在此情况下,穿透液需要再次重复上柱以去除大RNA。由于此时离心吸附柱已经吸附了大RNA,所以需要预处理(具体步骤见本手册最后的附录)。
6.在最后得到的不含大RNA的穿透液中加等体积的溶液C,混匀。此时溶液的总体积约1.5mL。
7. 先转移约0.75mL 到一新的离心吸附柱中。注意:不要使用已经使用过的、用来吸附大RNA的离心吸附柱。12000~15000g室温离心半分钟,弃收集管中的穿透液。
8. 将上步上柱剩余的样品转移到离心吸附柱中,12000~15000g室温离心半分钟,弃收集管中的穿透液。
9. 加 0.7mL 通用洗柱液到离心吸附柱中,12000~15000g室温离心半分钟,弃穿透液。
10. 加 0.3mL 通用洗柱液到离心吸附柱中,12000~15000g室温离心半分钟,弃穿透液。此步一般可以省略。
11. 12000~15000g室温离心半分钟以甩出残联液体。此步十分重要,否则残留的通用洗柱液会影响miRNA的使用。
12. 将离心吸附柱转移到一自备的RNase-free 收集管中,加入50-100μLRNA 洗脱液。
13. 12000~15000g室温离心半分钟,离心管中溶液即为miRNA样品,可以立即使用或存放于-80℃待用。
附录:
1. 将结合有大RNA和DNA的离心吸附柱中加入0.1mL自备的超纯水,12000~15000g室温离心半分钟,弃收集液。
2. 再加 0.1mL自备的超纯水,重复上步一次。
3. 将第5 步的得到、需要进一步去除其中大RNA和DNA污染的穿透液直接上柱,12000~15000g室温离心半分钟,收集穿透液(此穿透液含小RNA)。
4. 如果大 RNA 已经去干净,可以直接进入第6 步;如果大RNA 没有去除干净,则用本附录1-2的方法处理离心吸附柱,然后再将此穿透液加入(接本附录第3 步)。一般样品只需要额外处理一次就可以去除全部的大RNA污染。
即用型LB平板培养基(含Amp)哪里卖关键词:LB Petri Dish(Amp),即用型LB平板培养基,即用型LB平板培养基(含Amp),BTN130848B
·8M盐*(代"酸")胍溶液
编号:BTN131120
英文名称:Guanidine·HCl Solution
规格:250mL
本产品为即用型盐*(代"酸")胍溶液。可快速简易的制备8M以下的任意浓度,无需花费更多宝贵的实验时间处理难以称量的晶体缓慢制备盐*(代"酸")胍溶液,本产品不含225-300nm处具有紫外吸收的物质,不含醛类,具有极好的稳定性,无颗粒物,是一种透明似水晶的溶液。经检测,本产品具有鲜明的紫外截断光谱,OD260小于0.03;典型的金属含量:铜<0.02ppm,锌<0.15ppm,铁<0.25ppm,铅<0.005ppm。
储存条件:常温运输及保存,有效期一年。
·pNPP干粉
编号:BTN131116
英文名称:p-nitrophenyl phosphate,disodiu*(代"m") salt
规格:1g
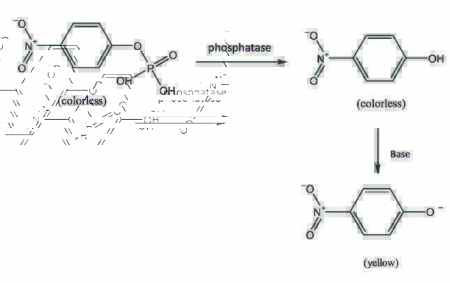
pNPP在ELISA应用中作为检测碱性磷酸酶的底物而被广泛使用。当碱性磷酸酶与PNPP反应后,形成黄色水溶性反应产物。该产物在405nm有光吸收,并可使用传统方法终止反应。其反应原理如下:
储存条件:常温运输,避光保存,有效期一年。
·Southern专用DNA Marker(生物素标记)
编号:BTN120654A
英文名称:Southern DNA Marker(Labeled by Biotin)
规格:20次
本产品是用生物素标记的lambda/Hind Ⅲ DNA Marker,可以用做Southern杂交的Marker,便于准确确定杂交片段的大小。
产品特点:
1. 即开即用,非常方便。
2. 每个DNA片段显色强度均匀。
3. 如果探针用生物素标记,则必须用生物素标记的DNA Marker。
储存条件:低温运输,-20℃保存,有效期一年。
使用方法:
1. 按常规方法制备琼脂糖胶和酶切基因组DNA。
2.上样。在胶的两侧的加样孔中各加入10μL本产品。
3. 按常规方法电泳。
4. EB或其他染料染色后UV 观察结果。
5.转膜。
6. 按常规的方法杂交和检测生物素的方法检测。
即用型LB平板培养基(含Amp)哪里卖关键词:LB Petri Dish(Amp),即用型LB平板培养基,即用型LB平板培养基(含Amp),BTN130848B
·鲑鱼精DNA溶液
编号:BTN100604
英文名称:Salmon Sperm DNA Solution
规格:1mL
本产品是浓度为10mg/mL的、经过热变性处理的单链鲑鱼精DNA溶液,可以用于Southern、Northern预杂交,还可以用于酵母化学转化和电转化。本产品即开即用,非常方便。
储存条件:低温运输和-20℃保存、有效期一年。
·嘌呤霉素干粉
编号:BTN100840
英文名称:Puromycin Powder
规格:25mg
嘌呤霉素为白色结晶。有吸湿性。对光敏感。微溶于水和有机溶剂,易成为水溶性的双盐*(代"酸")盐及单硫*(代"酸")盐。熔点175.5~177℃。是蛋白质合成抑制剂,阻止细菌、藻类、原生动物和哺乳动物细胞的生长。
作用原理:通过特异性地抑制原核及真核核糖体上的*酰转运,使未成熟链合成终止,从而阻碍蛋白质合成。
抗性机制:抗性基因pac编码嘌呤霉素N-乙酰-转移酶。
储存条件:常温运输,4℃保存,有效期6个月。
·Carnoy固定液
编号:BTN131225
英文名称:Carnoy Fixative Solution
规格:250mL
Carnoy固定液是由乙醇、*仿和乙酸,按照6:3:1的比例混合而来的混合型固定液。该液渗透快速,固定只需1-2小时。固定后可以直接用95%乙醇脱水,固定核酸和糖原的效果很好。Carnoy固定液是组织化学最常用的固定液之一。
产品特点:
1.适用于一般植物组织和细胞的固定,常用于根尖,花药压片及子房石蜡切片等组织的固定。
2.有极快的渗透力,根尖材料固定15-20分钟即可,花药则需1小时左右。固定时间一般只需1-2小时,最多不超过24小时。
储存条件:常温运输及保存,保存期为一年。
使用方法:
1.标本修块,置入本产品内固定1~2小时(根据样品材料、大小不同,固定时间可能会有较大差异),固定时间一般最多不超过24小时。
2.固定后用95%乙醇洗涤。如果材料不是立即使用,需转入70%酒精中保存。
北京百莱博科技有限公司专业生产一次性新鲜培养基产品,欢迎来电咨询选购即用型LB平板培养基(含Amp)哪里卖。
风险提示:丁香通仅作为第三方平台,为商家信息发布提供平台空间。用户咨询产品时请注意保护个人信息及财产安全,合理判断,谨慎选购商品,商家和用户对交易行为负责。对于医疗器械类产品,请先查证核实企业经营资质和医疗器械产品注册证情况。
文献和实验含Amp的LB平板上,划线接种要防止划破培养基,划线方法如图所示: 第一次划线后接种环灼烧 第二次划线起点与第一次 如此在平板上 再进行第二次划线 划线交*,接种环灼烧后再 划线5-6次 进行第三次划线 4. 接种完成后将培养皿倒置入培养箱37℃培养过夜,运用这种划线方法接种,可以较好地保证单菌落的形成。 5. 比较
: 1.取适量连接产物加到分装的200 μL感受态细胞中,冰上混匀,冰浴30min;此过程中,需倒含氨苄的LB平板。 2.42℃热激90s,迅速在冰浴中冷3-5min; 3.上述管中加入600μL LB培养基,于37℃振荡培养45min;此过程中,在LB平板上涂布X-Gal 40 μL和IPTG 20 μL 。 4.取适量菌液涂布LB平板(含Amp 50μg/ml),室温涂布均匀后(至菌液完全被吸干),于37℃倒置,过夜
保存 外源DNA的转化: 9.取目的DNA加入大肠杆菌感受态细胞中,于冰上放置30min 10.于42℃水浴90S 11.冰上放置2min 12.加入800μlLB液体培养基于37培养1小时 13.将培养液均匀涂布在含Amp 的培养基平板上 14.将平板放置于37℃恒温培养箱中培养12-14个小时,然后观察结果 对照组 对照组1: 以同体积的无菌双蒸水代替DNA溶液,其它操作与上面相同。此组正常情况下在含抗生素的LB平板上应没有菌落出现。 对照组2: 以同体积的无菌双蒸水代替DNA溶液
技术资料暂无技术资料 索取技术资料










