相关产品推荐更多 >
万千商家帮你免费找货
0 人在求购买到急需产品
- 详细信息
- 文献和实验
- 技术资料
- 保存条件:
常温运输
- 保质期:
一年
- 英文名:
p-nitrophenyl phosphate,disodium salt
- 库存:
609
- 供应商:
北京百奥莱博科技有限公司
特别声明:本产品及我公司所售其他产品均为科研类试剂产品,严禁用于药物、医疗及其他非科研用途。
百奥莱博专业生产销*(代"售")pNPP干粉 蛋白质研究,我公司供应的分子生物学试剂品类齐全,且具有优势价格,欢迎新老客户垂询订购。
名称:pNPP干粉 蛋白质研究
规格:1g
品牌:百奥莱博
编号:BTN131116
英文名:p-nitrophenyl phosphate,disodiu*(代"m") salt
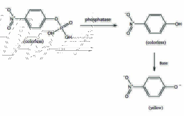
pNPP在ELISA应用中作为检测碱性磷酸酶的底物而被广泛使用。当碱性磷酸酶与PNPP反应后,形成黄色水溶性反应产物。该产物在405nm有光吸收,并可使用传统方法终止反应。其反应原理如下:

储存条件:常温运输,避光保存,有效期一年。
关于pNPP干粉 蛋白质研究的更详细说明,请致电我公司咨询,我们将以最饱满的热情为您提供解答,此外,我公司专业供应下列产品:
·Taq DNA聚合酶
编号:BTN51206
英文名称:Taq DNA Polymerase
规格:500U
本产品是Thermus aquaticus(水生栖热菌)的DNA聚合酶基因在E. coli中表达而得,具有以双链DNA为模板的5´→3´聚合酶活性和5´→3´外切酶活性。Taq DNA聚合酶长为832个*基酸,分子量为94 Kd。该酶可以广泛用于PCR,RT-PCR,加尾反应等。
产品特点:
1.耐热DNA聚合活性,该酶在90℃以上几乎无DNA合成,在75~80℃时延伸率约150个核苷酸,70℃时为60个核苷酸/秒,55℃时为24个核苷酸/秒。在65~68℃并有Mn2+存在时还具有逆转录活性。
2.热稳定,在PCR混合物中95℃保温40分钟仍可保持50%的活性。
3.Mg2+离子依赖性,MgCl₂浓度在2.0mM时该酶催化活性最高。
4.本酶无3´→5´外切活性,不具3´→5´校对功能,碱基错配机率为2.1×10⁻⁴。
产品组成:
| 成分 | 规格 |
| Taq DNA聚合酶(5U/μL) | 20μl |
| 10×PCR Buffer(含Mg2+) | 1ml |
| MgCl2,25mM | 1ml |
| 说明书 | 1份 |
储存条件:低温运输,-20℃保存,有效期一年。
使用方法:(以λDNA为模板进行PCR扩增反应为例)
1.按下列组份配制PCR反应液。
| Taq DNA聚合酶(5U/μl) | 0.25μl |
| 10×PCR Buffer(含Mg2+) | 5μl |
| MgCl₂(25mM) | 根据需要补加 |
| 自备dNTP(各2.5mM) | 4μl |
| 模板DNA | 见下 |
| 引物1(20μM) | 1μl |
| 引物2(20μM) | 1μl |
| 灭菌蒸馏水 | Up to 50μl |
注:10×PCR Buffer含15mM MgCl2(在PCR体系中的终浓度为1.5mM),是否需要补加MgCl2根据实验决定。但一般不需要补加。
推荐50μL PCR反应体系中模板DNA推荐使用量
| 哺乳动物基因组DNA | 0.5-1μg |
| 酵母基因组DNA | 5-500ng |
| 细菌基因组DNA | 0.5-50ng |
| 质粒DNA | 5-500pg |
| PCR回收片段 | 1-100pg |
2.PCR反应条件
以λDNA为模板,扩增1kbp的DNA片段的PCR反应条件如下:
注:PCR反应条件视模板、引物等的结构条件不同而各异。在实际操作中需根据模板、目的片段的大小、碱基序列和引物的长短等具体情况,设定最佳的反应条件(温度、时间等)。
注意事项:
PCR的反应液请在冰中配制,然后置于PCR反应仪上进行PCR反应。这种冷启动法可增强PCR扩增的特异性,减少PCR过程中的非特异性反应,能得到良好的PCR结果。
pNPP干粉 蛋白质研究关键词:BTN131116,p-nitrophenyl phosphate,disodiu*(代"m") salt,pNPP干粉
·IPTG溶液
编号:BTN80909
规格:1.5mL
·5M异硫*酸胍溶液(RNase-free)
编号:BTN100883
规格:250mL
·DNA marker(100-600bp)
编号:BTN70503B
英文名称:DNA ladder(100-600bp)
规格:50次
本系列产品用作凝胶电泳中双链线状DNA的分子量大小参照。它们是由一系列大小不同的单一DNA片段混合组成。成分中已经含有上样缓冲液,所以可以直接上样电泳。得到的电泳条带长度准确,明亮清晰,背景较低,稳定性很好。每次加样量为5μL,可用于相对定量。本系列产品与各种琼脂糖和各种电泳缓冲液兼容。
储存条件:低温运输、-20℃保存,有效期一年。
使用方法:直接上样电泳,每次加样量为5μL。
使用效果:
注:400bp条带为20ng/uL,其余每条带为10ng/uL
疑难解答:
a)如对带型要求较高,建议使用0.8-1.5%琼脂糖凝胶(对SuperBuffer-2缓冲液,电压为250-400V)或1.5-2.0%琼脂糖凝胶(对TAE或TBE缓冲液,电压为80V),同时适当延长电泳时间。
b)电泳图象的质量与琼脂糖、电泳缓冲液有关。请采用高质量的琼脂糖,同时要经常更换电泳缓冲液。
c)本产品条带均匀,亮度相当,但在EB胶中长时间电泳有可能会出现250bp以下的条带变淡。可以通过先电泳再染色,加大EB浓度等方法解决。
pNPP干粉 蛋白质研究关键词:BTN131116,p-nitrophenyl phosphate,disodiu*(代"m") salt,pNPP干粉
ARB12977 小鼠色素上皮衍生因子(PEDF)elisa检测说明书 Mouse pigment epithelium-derived factor,pedf ELISA KIT
PY02-099 沙堡氏琼脂 250克
BTN101003 RAPD PCR试剂盒(含银染) RAPD PCR Kit
ARB12944 小鼠血红素氧合酶1(HO-1)酶免分析 Mouse heme oxygenase 1,ho-1 ELISA KIT
ARB14246 大鼠受体相互作用丝*酸苏*酸激酶3(RIPK3)酶标法分析
BTN130822 苏木素染色液 Hematoxylin Staining Solution
SJ0707 X-Gal 20mg/ml
PY02-364 石蕊牛奶培养基 250克
84650-60-2 Tea Polyphenols 茶多酚
F030209 HRP标记山羊抗小鼠IgG3抗体 Goat Anti-Mouse IgG3*HRP
L-甘-白二肽 Rhodamine 6G 869-19-2
丙*(代"酮")酸氧化酶 Sirius Rose BB 9001-96-1
ARB10686 人杀菌性/通透性增加蛋白(BPI)ELISA检测服务 Human bactericidal/permeabilityincreasingprotein,bpi ELISA KIT
山梨酸* CyDTA 24634-61-5
4-*-3,5-二硝基*(代"*")甲*(代"酸") 5-IDU 118-97-8
HC0200 一次性口罩
邻香草醛 BGP 148-53-8
北京百莱博科技有限公司专业生产供应销*(代"售")生物试剂、化学试剂、抗原抗体、血清血浆、Elisa试剂盒,更多试剂产品需求,欢迎来电咨询选购pNPP干粉 蛋白质研究。
风险提示:丁香通仅作为第三方平台,为商家信息发布提供平台空间。用户咨询产品时请注意保护个人信息及财产安全,合理判断,谨慎选购商品,商家和用户对交易行为负责。对于医疗器械类产品,请先查证核实企业经营资质和医疗器械产品注册证情况。
文献和实验干粉灭火剂是由灭火基料(如小苏打、碳酸铵、磷酸的铵盐等)和适量润滑剂(硬脂酸镁、云母粉、滑石粉等)、少量防潮剂(硅胶)混合后共同研磨制成的细小颗粒,用二氧化碳作喷射动力。喷射出来的粉末,浓度密集,颗粒微细,盖在固体燃烧物上能够构成阻碍燃烧的隔离层,同时析出不可燃气体,使空气中的氧气浓度降低,火焰熄灭。8kg的灭火机能喷射14~18秒,射程约4.5m。它适用于扑灭油类、可燃性气体、电器设备等物品的初起火灾。
注意事项 1.认真阅读说明书。说明书都注明干粉不包含的成分,常见的有NaHCO3、谷氨酰胺、丙酮酸钠、HEPES等。这些成分有些是必须添加的,如NaHCO3、谷氨酰胺,有些根据实验需要决定。2.配制是要保证充分溶解,NaHCO3、谷氨酰胺等物质都要等培养基完全溶解之后才能添加。3.配制所用的水应是三蒸水,离子浓度很低。4.所用器皿应严格消毒。5.配制好的培养基应马上过滤,无菌保存于4度。6.液体培养基主要是为了科研工作的方便而设计的培养基,它是一种灭菌后保证无菌的溶液,必要时可制成无内毒素
相关专题 细胞培养基的配制 细胞培养专题 注意事项 1. 干粉不包含的成分,常见的有NaHCO3、谷氨酰胺、丙酮酸钠、HEPES等。这些成分有些是必须添加的,如NaHCO3、谷氨酰胺,有些根据实验需要决定。 2. 配制是要保证充分溶解,NaHCO3、谷氨酰胺等物质都要等培养基完全溶解之后才能添加。 3. 配制所用的水应是三蒸水,离子浓度很低。 4. 所用器皿应严格消毒。
技术资料暂无技术资料 索取技术资料










