相关产品推荐更多 >
万千商家帮你免费找货
0 人在求购买到急需产品
- 详细信息
- 文献和实验
- 技术资料
- 保存条件:
低温
- 保质期:
2年
- 英文名:
EDTA-2Na
- 库存:
40
- 供应商:
上海机纯实业有限公司
- CAS号:
6381-92-6
- 规格:
250g/1kg
| 规格: | 250g | 产品价格: | ¥40.0 |
|---|---|---|---|
| 规格: | 1kg | 产品价格: | ¥120.0 |
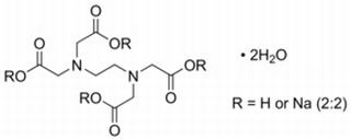
中文名:乙二胺四乙酸二钠盐
英文名:EDTA-2Na
别名: 四乙酸二氨基乙烯二钠盐;托立龙B;氨羧络合剂III;螯合剂III;络合酮II;EDTA二钠
CAS号: 6381-92-6
分子式: C10H18N2Na2O10
分子量: 372.24
MDL: MFCD00150037
介绍:
每瓶安瓿可稀释成一升的滴定液
熔点: 252℃
比重: 1.01
储存条件: RT
外观: 白色结晶
用途: 络合剂,钙、镁及其他金属试剂,金属掩蔽剂。乙二胺四乙酸二钠是一种重要络合剂,用于络合金属离子和分离金属。
敏感性: 易吸潮
乙二胺四乙酸二钠盐自创立以来,经历过辉煌,也经历过挑战,通过公司各个部门所有员工的共同努力,本着“、服务、信誉”的精神,坚持以先进的技术、的产品、良的信誉,为国内外广大用户提供生物产品和的服务,在行业内拥有较高知名度,深得新老客户的厚爱。
乙二胺四乙酸二钠盐储存条件:
避光、干燥阴凉处封闭贮存,严禁与有毒、有害物品混放、混运,本品为非危险产品可按一般化学品运输,轻搬动轻放,防止日晒、雨淋、受热、受潮、受光后易丧失活力,保存期短,因此贮存和运输条件比较苛刻。
风险提示:丁香通仅作为第三方平台,为商家信息发布提供平台空间。用户咨询产品时请注意保护个人信息及财产安全,合理判断,谨慎选购商品,商家和用户对交易行为负责。对于医疗器械类产品,请先查证核实企业经营资质和医疗器械产品注册证情况。
文献和实验根据组成不同,盐可以分成正盐、酸式盐、碱式盐、复盐和络盐等。既不含可以电离的氢原子,又不含氢氧根,这种盐叫正盐。由金属离子和含有可以电离的氢原子的酸根所组成的盐,叫做酸式盐,如NaHCO3 和NaH2 PO4 。它们分别叫碳酸氢钠和磷酸二氢钠。除金属离子和酸根以外,还含有一个或几个氢氧根,这种盐叫碱式盐,如Cu2 (OH)2 CO3 、Mg(OH)Cl、(BiO)Cl和(BiO)2 CO3 。它们分别叫做碱式碳酸铜、碱式氯化镁、碱式氯化铋(或氯化氧铋)和碱式碳酸铋(或碳酸氧化铋)。上述
反复冻融,最好小剂量分装,用避光袋或是黑纸、锡箔纸包住避光以免分解。我一般都把MTT粉分装在EP管里,用的时候现配,直接往培养板中加,没必要一下子配那么多,尤其当MTT变为灰绿色时就绝对不能再用了。 MTT有致癌性,用的时候小心,有条件最好带那种透明的簿膜手套.配成的MTT需要无菌,MTT对菌很敏感;往96孔板加时不避光也没有关系,毕竟时间较短,或者你不放心的时候可以把操作台上的照明灯关掉. 配制MTT时用用PBS溶解,也有人用生理盐水配,60 ℃水浴助溶
利用不同蛋白质在高浓度的盐溶液中,溶解度降低而沉淀,从而与其他成分分离的方法。这种在高分子溶液中加入大量盐,使之析出沉淀的过程,称为盐析。
技术资料暂无技术资料 索取技术资料









