万千商家帮你免费找货
0 人在求购买到急需产品
- 详细信息
- 文献和实验
- 技术资料
- 保存条件:
避光保存
- 英文名:
Paris saponin V
- 库存:
33
- 供应商:
上海机纯实业有限公司
- CAS号:
19057-67-1
- 规格:
20mg
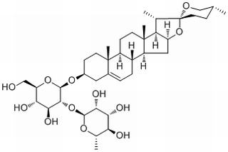
英文名: Paris saponin V
CAS号: 19057-67-1
分子式: C39H62O12
分子量: 722.912
熔点: 238-240℃
比旋光度: - 99.2 (c, 0.21 in Py)
储存条件: 2-8℃
来源: 重楼
重楼皂苷V服务优势:
1、服务到位、高灵敏度、特异性、价格实惠、操作简单。
2、所购有质量方面的问题,一律免费包换(除人为)。
3、客户有任何疑问,均是一个工作日,给出解决方案。
4、免费提供产品说明书、样本处理方法、试验原理。
5、售前售中售后技术咨询、产品报价等服务。
重楼皂苷V特殊订做
坚守从源头把控质量,运用全新科技把控贮存环境的温度、湿度、通风等条件,保证产品品质及性质稳定,按照不同类型、规格及级别分类、分格存储,根据不同实验需求公司提供瓶装、盒装、试管装,也可。
关于重楼皂苷V
CAS号、分子式、分子量、性状、熔点等化学及物理性质,贮存、用途等具体信息,可向我们生化试剂专业销售人员索取,纸质说明书,我们随货发出。
风险提示:丁香通仅作为第三方平台,为商家信息发布提供平台空间。用户咨询产品时请注意保护个人信息及财产安全,合理判断,谨慎选购商品,商家和用户对交易行为负责。对于医疗器械类产品,请先查证核实企业经营资质和医疗器械产品注册证情况。
文献和实验Q:Annexin V 凋亡检测试剂盒的原理是什么? A:Annexin V 是一种钙离子依赖性磷脂结合蛋白,与磷脂酰丝氨酸 PS 有高度亲和力,可通过细胞外侧暴露的 PS 与凋亡早期细胞胞膜结合,将 Annexin V 标记荧光染料如 FITC 利用流式细胞仪或荧光显微镜可检测细胞凋亡。 碘化丙啶(Propidium Iodide, PI)或 7-AAD 可与双链 DNA 特异性结合,并产生强烈的荧光,正常情况下无法透过细胞膜。由于凋亡晚期或坏死细胞膜丧失完整性,核染料 PI 或 7-AAD
Partial proteolysis with Staph. aureus V8 protease
. If you have too much, the V8 won't work. The molarity of neat mercaptoethanol is approximately 14. 1 microliter of ME per 14 ml of solution gives a 1 mmolar solution. Enzyme stock solution: 500 micrograms/ml (or 500 nanograms/microliter) V8-protease in 125
V形染色体 V( -shaped) chromosome 亦称等臂染色体,指着丝粒位于正中部或近于正中部的染色体。在有丝分裂中期和后期时呈 V形,因而称为 V形染色体。
技术资料暂无技术资料 索取技术资料










