相关产品推荐更多 >
万千商家帮你免费找货
0 人在求购买到急需产品
- 详细信息
- 文献和实验
- 技术资料
- 保存条件:
-20℃
- 保质期:
2年
- 英文名:
Hyaluronic acid
- 库存:
994
- 供应商:
北京百奥莱博科技有限公司
- CAS号:
9004-61-9
特别声明:本产品及我公司所售其他产品均为科研类试剂产品,严禁用于药物、医疗及其他非科研用途。
透明质酸(Hyaluronic acid)厂家价格的品牌:百奥莱博,是优质的细胞生物学试剂产品,用于生化科学研究,本产品质量好,且极具价格优势,深为用户称道,了解更多透明质酸(Hyaluronic acid)等细胞生物学试剂产品请联系我司咨询订购。
名称:透明质酸(Hyaluronic acid)厂家价格
规格:50mg|100mg|200mg|500mg|1g
英文名:Hyaluronic acid
品牌:百奥莱博
产地:国产|进口
编号:M01160
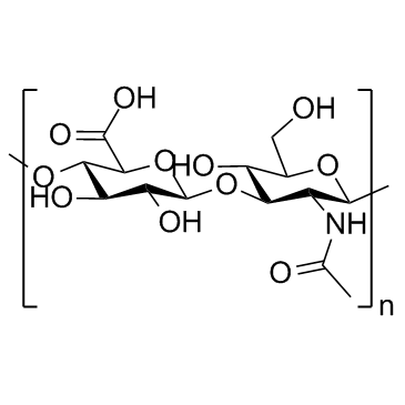
透明质酸是由二糖的重复单元组成的生物聚合物,应用领域广泛。
注:本品仅可用于科研实验,严禁用于临床医疗及其他用途!
CAS号:9004-61-9
纯度:99.90%
分子式:(C₁₄H₂₁NO₁₁)n
分子量:379.32 (monomer)
结构式:

储存条件:-20℃,有效期2年,溶入溶剂后-20℃请尽量在一个月内使用。
更多有关透明质酸(Hyaluronic acid)厂家价格的价格及使用说明等,请联系我们的业务经理王欣女士咨询,我公司还销*(代"售")以下产品:
BTN121205 CCK-8细胞增殖及毒性检测试剂盒 Cell Counting Kit-8
CBZ-D-*丙*酸 Cyclooctanone 2448-45-5
辅酶A Pyrimidine 85-61-0
DL-半胱*酸 DNA Marker Ⅱ 3374-22-9
BTN90504 XL1-Blue感受态细胞 XL1-Blue Competent Cell
PY01-112 胃蛋白酶(1:12000) 100克
SJ0063 (+)Amethopterin *甲喋呤
ARB11295 人钩端螺旋体(LeptospIrA)含量测试
ARB10822 人抗麦胶蛋白/麦醇溶蛋白抗体(AGA)ELISA代测服务 Human anti-gliadin antibody,aga ELISA KIT
DN3101 凝固全血基因组DNA提取系统
BL1114 Hoechst 33258染色液(即用型)
BL0937 生物素化羊抗人IgM抗体
硝酸咪康唑 Con A Sepharose 4B 22832-87-7
BFD064 猪伪狂犬抗体检测卡
ARB13681 兔血管内皮细胞粘附分子1(VCAM-1/CD106)定量分析 Rabbit vascuolar cell adhesion molecule 1,vcam-1 ELISA KIT
BTN130634 人源脱嘌呤/脱嘧啶(AP)核酸内切酶 APE 1
ARB11786 人叠氮胸苷(AZT)elisa检测操作说明书 Human azidothymidine,azt ELISA KIT
ARB13196 小鼠脂氧素(LXA4)含量分析
BTN80206 两管式RT-PCR试剂盒(MMLV-Taq) Two-Tube RT PCR Kit
F030817 BIOTIN标记兔抗狗IgG抗体 Rabbit Anti-Dog IgG*BIOTIN
ARB10129 人N端中段骨*素(N-MID-OT)ELISA检测服务 Human n-mid osteocalcin,n-mid-ot ELISA KIT
磷脂酰丝*酸 α-Ketoglutaric acid
透明质酸(Hyaluronic acid)厂家价格关键词:9004-61-9,Hyaluronic acid,透明质酸,透明质酸(Hyaluronic acid)
PY02-138 *丙*酸脱羧酶培养基 250克
ARB11050 人表面活性蛋白D(SP-D)Elisa方法检测 Human surfactant protein d,sp-d ELISA KIT
5486-84-0 Fast Blue BB Salt 固蓝BB盐
ARB14090 牛腹泻病毒ELISA代测服务
大孔吸附树脂D101 1-β-D-Arabinofuranosylthymine 9060-05-3
ARB12919 小鼠白细胞介素35(IL-35)含量测试 Mouse interleukin 35,IL-35 ELISA KIT
D0601 脱纤维兔血(无菌 pet瓶装)
BTN70801 非酶DNA清除剂-2 DNA Erasol-2
145224-94-8 MES 2-(N-玛啡啉)乙磺酸
005002 4%绵羊红细胞 100ml
L-甘-谷二肽 AMAC 13115-71-4
F020219 兔抗牛IgG抗体 Rabbit Anti-Bovine IgG
ARB10796 人抗心磷脂抗体IgA(ACA-IgA)酶标法分析 Human anti-cardiolipin antibody iga,aca-iga ELISA KIT
ARB11720 人普通急性淋巴细胞白血病抗原(CALLA)含量分析 Human common acute lymphocytic leukaemia antigen,calla ELISA KIT
BTN130580 小鼠抗GFP标签单抗 Anti GFP-Tag Mouse Mab
BFD017 小反刍兽疫抗体检测试剂盒(最新产品)
HC0195 记号笔(红色)
三*乙酸 Phenylhydrazine hydrochloride 76-05-1
BTN131225 Carnoy固定液 Carnoy Solution
BL0858 兔抗亲和素纯化抗体
透明质酸(Hyaluronic acid)厂家价格关键词:9004-61-9,Hyaluronic acid,透明质酸,透明质酸(Hyaluronic acid)
·Vincamine
编号:M02974
英文名称:Vincamine
规格:1mL(10mM)|100mg|500mg
Vincamine是一种外围血管扩张药,增加血液流向脑部。
注:本品仅可用于科研实验,严禁用于临床医疗及其他用途!
CAS号:1617-90-9
纯度:99.54%
分子式:C₂₁H₂₆N₂O₃
分子量:354.44
结构式:

储存条件:-20℃,有效期2年,溶入溶剂后-20℃请尽量在一个月内使用。
·PPAR激动剂(Ciprofibrate)
编号:M02196
英文名称:Ciprofibrate
规格:1mL(10mM)|100mg|500mg
Ciprofibrate是PPAR激动剂。
注:本品仅可用于科研实验,严禁用于临床医疗及其他用途!
CAS号:52214-84-3
别名:Win35833
纯度:99.62%
分子式:C₁₃H₁₄Cl₂O₃
分子量:289.15
结构式:

储存条件:-20℃,有效期2年,溶入溶剂后-20℃请尽量在一个月内使用。
·5-HT3受体拮抗剂(Ondansetron)
编号:M06050
英文名称:Ondansetron
规格:10mg|50mg|100mg
Ondansetron(GR38032)是5-HT3受体拮抗剂。
注:本品仅可用于科研实验,严禁用于临床医疗及其他用途!
CAS号:99614-02-5
别名:GR38032
纯度:98.55%
分子式:C₁₈H₁₉N₃O
分子量:293.36
结构式:

储存条件:-20℃,有效期2年,溶入溶剂后-20℃请尽量在一个月内使用。
我公司生产供应销*(代"售")的细胞生物学试剂正全品类优惠促销,十分期待您的咨询选购透明质酸(Hyaluronic acid)厂家价格。
风险提示:丁香通仅作为第三方平台,为商家信息发布提供平台空间。用户咨询产品时请注意保护个人信息及财产安全,合理判断,谨慎选购商品,商家和用户对交易行为负责。对于医疗器械类产品,请先查证核实企业经营资质和医疗器械产品注册证情况。
文献和实验为具有 O-β -D-葡萄糖醛酸基( 1→ 3) -N-乙酰基 -β -D-氨基葡萄糖基( 1→ 4)为单位的双糖重复结构的一种粘多糖。除见之于动物的关节液和眼球玻璃体等的分泌液、脐带、真皮表层等的结缔组织和 Rous肉瘤等某种肿瘤外,它还包括 A型、 C型链球菌属( Strepto-coceus)在内的某些细菌的荚膜成分。细菌透明质酸不与蛋白质结合,但动物组织中的透明质酸或多或少含有一些蛋白质,似乎以蛋白多糖和肽多糖的形态存在。不过与蛋白质部分结合的方式还不清楚。链
具有还原性羰基和羧基的糖的衍生物的总称。天然存在的糖醛酸有 D-葡糖醛酸、 D-半乳糖醛酸、 D-甘露糖醛酸等,以与糖苷配基结合的糖醛酸苷( ur- onide)形式或聚糖醛酸的形式,成为树胶质、果胶、半纤维素、藻酸、细菌多糖等细胞壁或粘液物质的主要成分。 D-葡糖醛酸在动物体内具有与毒物结合(葡糠醛酸结合作用)后排出的作用,也是构成肝素、硫酸软骨素、透明质酸等高活性物质的成分。这样,糖醛酸不是以游离单糖存在,而是以苷或多糖的形态存在于生物体内,它的生物合成是这样进行的:在 UDP
(hyaluronic acid)、硫酸皮肤素(dermatan sulfate)等。这些二糖都含有一个氨基糖,并至少含有一个负电的磺酸基或羧基团。由于氨基聚糖是亲水的,并且带有负电荷,所以它们既能结合阳离子又能结合水分子,由于糖胺聚糖的这种性质,它们在细胞外创造了水合的、胶状的材料,形成了所谓的细胞外基质的基质。
技术资料暂无技术资料 索取技术资料










