相关产品推荐更多 >
万千商家帮你免费找货
0 人在求购买到急需产品
- 详细信息
- 文献和实验
- 技术资料
- 保存条件:
低温
- 英文名:
CBZ-L-Pyroglutamic acid
- 库存:
43
- 供应商:
上海机纯实业有限公司
- CAS号:
32159-21-0
- 规格:
100g
A级:原子量标准
B级:和A 级接近的基准物质
C级:含量为100+-0.02%的标准试剂
D级:含量为100+-0.05%的标准试剂
E级:以C级或D级为标准对比测定得到的纯度的试剂
化学试剂按用途可分为标准试剂,一般试剂,生化试剂等等。
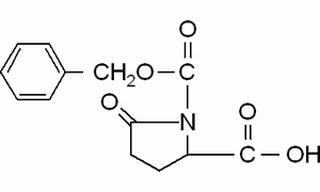
中文名:CBZ-L-焦谷氨酸
英文名:CBZ-L-Pyroglutamic acid
CAS号: 32159-21-0
分子式: C13H13NO5
CBZ-L-焦谷氨酸
分子量: 263.25
MDL: MFCD00037352
比重: 1·408
储存条件: RT
风险提示:丁香通仅作为第三方平台,为商家信息发布提供平台空间。用户咨询产品时请注意保护个人信息及财产安全,合理判断,谨慎选购商品,商家和用户对交易行为负责。对于医疗器械类产品,请先查证核实企业经营资质和医疗器械产品注册证情况。
文献和实验Preparation of Carboxypeptidase Y and Its Properties
through polyacrylamide gel electrophoresis. Carboxypeptidase Y possesses the activity of esterase and peptase that can be assayed using N-acetyl-L-tyrosine ethyl ester (ATEE) and benzyloxycarbonyl-L-phenylalanyl-L-leucine (CBZ-Phe-Leu) as substrates respectively
过sephadexG-150柱,可得到更纯的酶。经过以上分离纯化步骤后,酶可提纯400倍以上。用聚丙烯酰胺凝胶电泳鉴定为一条带。 羧肽酶Y具有肽酶和酯酶活性,可用人工合成的苯甲氧羰二肽(CBZ-Phe-Leu)或N-乙酰酪氨酸乙酯(N-acetyl-L-tyrosine ethyl ester,简称ATEE)为底物,分别测定其肽酶活性或酯酶活性。一般多用紫外分光光度法测定酶活性。 【实验材料】 1. 实验器材 循环水式真空泵;蛋白紫外检测仪;记录仪; 紫外
是指为补充、增强、改进食品中的原有口味或滋味的物质。有的称为鲜味剂或品味剂。 我国目前允许使用的增味剂有谷氨酸钠、-鸟苷酸二钠和5’-肌苷酸二钠5’-呈味核甘酸二钠、琥珀酸二钠和L-丙氨酸。 谷氨酸钠为含有一分子结晶水的L-谷氨酸一钠。易溶于水,在150℃时失去结晶水,210℃时发生吡咯烷酮化,生成焦谷氨酸,270℃左右时则分解。对光稳定,在碱性条件下加热发生消旋作用,呈味力降低。在PH为5以下的酸性条件下加热时易可发生吡咯烷酮化,变成焦谷氨酸,呈味力降低
技术资料暂无技术资料 索取技术资料










