万千商家帮你免费找货
0 人在求购买到急需产品
- 详细信息
- 文献和实验
- 技术资料
- 保存条件:
低温
- 保质期:
见产品包装
- 英文名:
UDPG
- 库存:
大量现货
- 供应商:
上海研谨生物
- CAS号:
28053-08-9
- 规格:
100mg
| 货号 | 产品名称 | 英文名称 | CAS号 | 产品特征 |
| JS18074-100mg | 尿苷二磷酸葡萄糖 | UDPG | 28053-08-9 | 生物技术级,95% |
| JS18074-1g | 尿苷二磷酸葡萄糖 | UDPG | 28053-08-9 | 生物技术级,95% |
需要其它规格包装请联系咨询客服!
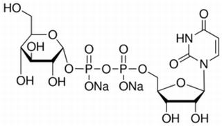
尿苷二磷酸葡萄糖—生物技术级,95%
英文名: UDPG
别名: 尿苷-5ˊ-二磷酸葡糖二钠盐;葡萄糖-5ˊ-二磷酸尿苷二钠盐;二磷酸尿苷葡萄糖二钠盐
CAS号: 28053-08-9
分子式: C15H22N2Na2O17P2 · xH2O
分子量: 610.27
MDL: MFCD20441966
储存条件: -20℃
敏感性:尿苷二磷酸葡萄糖易吸潮
【质量承诺】: 非人为造成的产品质量问题,视具体情况,我司负责退货换货。
风险提示:丁香通仅作为第三方平台,为商家信息发布提供平台空间。用户咨询产品时请注意保护个人信息及财产安全,合理判断,谨慎选购商品,商家和用户对交易行为负责。对于医疗器械类产品,请先查证核实企业经营资质和医疗器械产品注册证情况。
文献和实验二磷酸尿苷葡糖醛酸 uridine diphosphateglucuronic acid
简称UDP 葡糖醛酸。 UDP 葡萄糖的 C 6为专一性的脱氢酶氧化,最后由于形成羧基而进行生物合成。在肝中进行的酚或类固醇与葡糖醛酸的结合作用,是以这个核苷酸糖为底物的葡糖醛酸转移酶的作用进行的,成为一种解毒机制。还作为微生物或植物的含葡糖醛酸的糖苷或多糖、动物的粘多糖等的生物合成的前体。再者,在专一性的 UDP 葡糖醛酸脱羧酶( UDPglucuronate decarboxylase , EC 4.1.1.35 )的作用下变成 UDP - D- 木糖( UDP xylose
二磷酸尿苷葡糖 uridine diphosphate glucose
一般简称UDP-萄糖或UDPG等。系广泛分布于微生物、动植物细胞内的核苷酸糖的一种,在UDP-葡萄糖焦磷酸化酶(UDP glucose pyrophosphor-ylase,EC 2.7.7.9)的作用下由UTP和1-磷酸-α-D-葡糖生物合成。在生物体内,当各种苷、寡糖、多糖的生物合成时用作葡萄糖的供体。此外,在单糖的互变或糠醛酸生成时作为重要的中间产物,而在碳水化合物代谢中起着中心的作用。
简称UTP。是3分子的磷酸结合在尿苷的核糖5′-OH基上的核苷酸。为伯格维斯特和多伊奇(R.Bergkvist和W.Deutsch,1953),芒奇-彼 得森等(A.Munch-Petersen等,1953)发现的,分布广泛,是RNA合成的直接前体。与糖类代谢有密切关系,由UTP与1-磷酸葡糖经酶催化生成UDP-葡糖与焦磷酸。另外,也生成UDP-半乳糖、UDP-半乳糖胺、UDP-萄糖醛酸等。
技术资料暂无技术资料 索取技术资料










