相关产品推荐更多 >
万千商家帮你免费找货
0 人在求购买到急需产品
- 详细信息
- 文献和实验
- 技术资料
- 免疫原:
山羊IgG(H+L)
- 亚型:
IgG
- 形态:
液体
- 保存条件:
-20℃冻存,避光
- 克隆性:
多克隆
- 标记物:
Alexa Fluor 594
- 适应物种:
山羊
- 保质期:
二年
- 抗原来源:
山羊
- 目录编号:
SY0713
- 级别:
多克隆
- 库存:
450
- 供应商:
北京百奥莱博科技有限公司
- 宿主:
兔
- 应用范围:
WB,ELISA
- 浓度:
1mg/ml
- 靶点:
IgG(H+L)
- 抗体英文名:
Alexa Fluor 594 AffiniPure Rabbit Anti-Goat IgG (H+L)
- 抗体名:
Alexa Fluor 594标记兔抗山羊IgG(H+L)
特别声明:本产品及我公司所售其他产品均为科研类试剂产品,严禁用于药物、医疗及其他非科研用途。
北京百奥莱博专业生产销*(代"售")Alexa Fluor 594标记兔抗山羊IgG(H+L) 二抗,我公司供应的抗体抗原品类齐全,且具有优势价格,欢迎新老客户垂询订购。
名称:Alexa Fluor 594标记兔抗山羊IgG(H+L) 二抗
英文名:Alexa Fluor 594 AffiniPure Rabbit Anti-Goat IgG (H+L)
编号:SY0713
产地:国产|进口
规格:100μl
本品是由Alexa Fluor 594标记的兔抗山羊IgG(H+L),使用抗原偶联的琼脂糖微珠从兔抗血清内亲和色谱纯化所得。免疫电泳和/或ELISA法检测显示本品特异性结合完整的山羊IgG分子,也会与其他山羊免疫球蛋白的轻链结合。可能会与其他物种免疫球蛋白发生交叉反应,但不会识别非免疫球蛋白类的血清蛋白。Alexa Fluor 594的光谱性质类似于Texas Red,Amax(最大激发波长)为591nm,Emax(最大发射波长)为614nm。
本品适合做单标实验,广泛应用于多种免疫学实验如免疫细胞化学(ICC),流式细胞术(FC)以及免疫组化(IHC)等。要做多标(multiple-labeling)实验,建议使用与相近物种的血清蛋白或者免疫球蛋白预先经过亲和吸附处理的二抗。
浓度:0.75mg/ml
缓冲液:0.005M 磷酸*,0.125M *化*, pH 7.6
稳定剂:7.5mg/ml BSA(无IgG,蛋白酶),50% 甘油
荧光素:Alexa Fluor 594, Amax=591, Emax=614
防腐剂:0.025% 叠氮化*
推荐稀释比例:1:50~400(适合多数实验)
储存条件:-20℃,避免反复冻融,有效期一年。
我公司的Alexa Fluor 594标记兔抗山羊IgG(H+L) 二抗,性价比高,货期短,送货上门,欢迎您来电咨询购买,另外,我公司还生产供应销*(代"售")下列产品:
ARB11495 人脂多糖/内毒素(LPS)elisa检测 Human lipopolysaccharides,lps ELISA KIT
PY04-069 *啶酮酸 2.25mg/支×10支 每支添加于225mlFraser增菌液中制成FraserⅠ培养基,用于李斯特氏菌选择性增菌培养
ARB13197 小鼠脂蛋白α(Lp-α)ELISA检测服务 Mouse lipoprotein α,lp-α ELISA KIT
ARB11830 人羰基化蛋白(PC)代做ELISA实验 Human protein carbonyl,pc ELISA KIT
ARB12450 大鼠*调磷酸酶(CAN)elisa检测操作说明书 Rat calcineurin,can ELISA KIT
ARB12586 大鼠基质金属蛋白酶13(MMP-13)Elisa定量检测 Rat matrix metalloproteinase 13,mmp-13 ELISA KIT
ARB10659 人血管紧张肽酶A(ATA)ELISA检测服务 Human angiotensinase a,ata ELISA KIT
BTN130987 接头DNA Adaptors
3,4-二**甲醛 MC 6287-38-3
ARB13784 豚鼠白三烯B4(LTB4)定量分析 Guinea pig leukotriene b4,lt-b4 ELISA KIT
BL1305 5×G250(蛋白定量专用)
PY08-082 胰蛋白胨大豆琼脂平板 9CM 10皿/盒,用于药品中需氧微生物总数测定
盐*(代"酸")土霉素 Chloroquine diphosphate 2058-46-0
ARB10580 人吖啶橙(AO)尿液中含量检测 Human acrine orange,ao ELISA KIT
甲基橙 H-Glu-PNA 547-58-0
9031-72-5 乙醇脱*酶 Alcohol Dehydrogenase
Alexa Fluor 594标记兔抗山羊IgG(H+L) 二抗关键词:山羊IgG(H+L)抗体,兔抗山羊二抗,Alexa Fluor 594标记抗山羊IgG(H+L)二抗,Alexa Fluor 594标记二抗
·快速姬姆萨染液(适用于血涂片、骨髓涂片染色)
编号:SY0579
英文名称:Fast Giemsa Stain
规格:250ml*1,500ml*1
姬姆萨染色(Giemsa stain)是一种标准化的组织学染色方法,通过对染色体染色的原理形态学上区分不同的细胞类型如血小板,红细胞,白细胞和其他细胞。吉姆萨染色液是由亚甲基蓝(methylene blue,),曙红(eosin)和天青B(Azure B)组成的混合液,主要用于血液,骨髓涂片,石蜡切片和其他临床细胞学标本。
产品组份:
试剂1————250ml
试剂2————500ml
操作步骤
1. 平置血涂片于染色架上,滴加试剂一3~5滴,使其迅速盖满血膜,染色1~2分钟,以固定血片。
2. 不要倒掉试剂一,直接滴加试剂二6~10滴,轻摇玻片或用洗耳球对准血涂片吹气使染液充分混合,染色5~8分钟。
3. 水洗30秒,待干后镜检。
染色结果
1. 红细胞呈浅红色,中央稍淡而略有蝶形态。
2. 白细胞系统清晰易分,细胞膜清晰呈紫黑色,细胞核着色呈深浅不同的紫红色,胞浆浅红色。胞浆中各种颗粒区分明显。其中1)中性粒细胞胞浆中颗粒呈淡紫红色、嗜酸粒细胞胞浆中颗粒呈桔红色、嗜碱性粒细胞胞浆中颗粒呈蓝褐色。Ⅱ)单核细胞的胞浆呈灰蓝色,胞浆中颗粒呈细小淡紫红色或蓝紫色。Ⅲ)淋巴细胞胞浆呈淡蓝色。
注意事项
1. 推片:取全血3微升左右置载玻片上,将推玻片保持与载玻片30度角,置于血滴正前方,稍往后移与血滴接触,即可见血液沿推片下缘散开,再匀速沿载玻片平面平稳向前滑动,至血液铺完血膜为止。
2. 涂片时不要太厚也不要太薄。太厚红细胞重叠并易皱,太薄时不易找到白细胞。
3. 用蜡笔在血膜两头划线,平放于染色架上。血膜要干透后才能染色,否则染色时血膜易脱落。
4. 试剂一及二染液不能过少,以防很快蒸发引起染液沉淀。试剂一不可少于400微升,试剂二是试剂一的2倍量。滴加试剂一及二时要轻摇玻片或用洗耳球对准血片吹气,使染液充分混合。
5. 镜检时如果红细胞偏蓝,请放在蒸馏水中1~3分钟,直至红润为止。
6. 染色过淡,可复染。染色过深,可用水冲洗或浸泡,还可用75%乙醇脱色3~5秒。
储存条件:室温,有效期12个月。
Alexa Fluor 594标记兔抗山羊IgG(H+L) 二抗关键词:山羊IgG(H+L)抗体,兔抗山羊二抗,Alexa Fluor 594标记抗山羊IgG(H+L)二抗,Alexa Fluor 594标记二抗
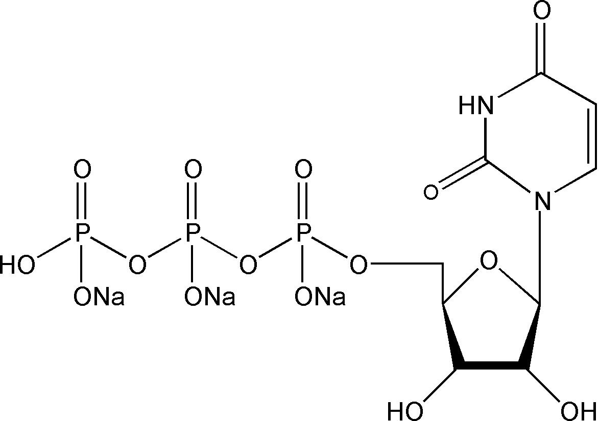
·尿苷三磷酸溶液(100 mM)(UTP)
编号:SY0054
英文名称:UTP Solution(100 mM)
规格:1ml
UTP即Uridine-5-triphosphate,中文名为尿苷-5’-三磷酸,可用于分子生物学中多种相关应用,如体外转录、RNA扩增、siRNA合成等。UTP还可参与半乳糖代谢,在此代谢途径中活化形式的UDP-半乳糖转换为UDP-葡萄糖,后者进入糖原合成途径。
本产品为纯度≥99%(HPLC)的UTP三*盐配制所得的无色透明水溶液, pH (25℃)= 7.0±0.1,浓度为100mM,且无DNase和RNase污染。
英文别名:Uridine-5-triphosphate, trisodiu*(代"m") salt
CAS:63-39-8 (acid form); 19817-92-6 (3Na salt)
分子式:C9H12N2Na3O15P3
分子量:550.09 (acid form: 484.09)
纯度:HPLC ≥99%
外观:无色透明液体
结构式:
储存条件:-20℃,有效期2年。
北京百莱博科技有限公司是二抗产品的专业生产供应销*(代"售")商,恭候您的咨询选购Alexa Fluor 594标记兔抗山羊IgG(H+L) 二抗。
风险提示:丁香通仅作为第三方平台,为商家信息发布提供平台空间。用户咨询产品时请注意保护个人信息及财产安全,合理判断,谨慎选购商品,商家和用户对交易行为负责。对于医疗器械类产品,请先查证核实企业经营资质和医疗器械产品注册证情况。
文献和实验AMCA荧光二抗?-EarthOx新型DyLight 405荧光二抗
800/500μl 详情 山羊抗兔IgG二抗, 蓝色DyLight 405荧光标记 -DyLight 405 AffiniPure Goat Anti-Rabbit IgG(H+L) EarthOx E032120 ¥200/100μl ¥800/500μl 详情 兔抗山羊IgG二抗, 蓝色DyLight
Laboratories、Sigma、Bio-Rad 及DAKO公司。 对于免疫荧光检测实验(包括免疫细胞化学及免疫组织化学),应用最广泛的是耦联有Alexa Fluor系列染料的抗体(如Alexa Fluor 488, 546, 568, 594, 596, 647, 633)、花青染料(Cyanine)系列标记的抗体(如Cy2, Cy3, and Cy5)、FITC及罗丹明(Rhodamine)。其中对于Alexa Fluor标记的二抗,推荐选择Invitrogen 公司
0.1ml 130 红色荧光 C0307 兔抗山羊 IgG(H+L)/TRITC 0.1ml 130 红色荧光 C0308 兔抗大鼠 IgG(H+L)/TRITC 0.1ml 130 红色荧光 荧光标记二抗
技术资料暂无技术资料 索取技术资料










