万千商家帮你免费找货
0 人在求购买到急需产品
- 详细信息
- 文献和实验
- 技术资料
- 保存条件:
2-8℃
- 保质期:
见包装
- 英文名:
hinokiflavone
- 库存:
大量现货
- 供应商:
上海研谨生物
- CAS号:
19202-36-9
- 规格:
20mg
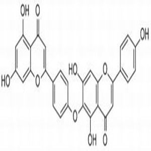
扁柏双黄酮
分析标准品,HPLC≥98%
hinokiflavone
CAS号:19202-36-9
分子式:C30H18O10
分子量:538.46
别名:扁柏双黄酮;
4',6''-O-Biapigenin; 6-[4-(5,7-dihydroxy-4-oxochromen-2-yl)phenoxy]-5,7-dihydroxy-2-(4-hydroxyphenyl)chromen-4-one; Hinokiflavone; hynokiflavone;
|
货号 |
规格/参数/品牌 |
价格 |
货期 |
|
YJ-B20097-5mg |
分析标准品,HPLC≥98% |
¥1180.00 |
现货 |
|
YJ-B20097-20mg |
分析标准品,HPLC≥98% |
¥2100.00 |
现货 |
产品介绍
熔点: 353-355°C
沸点: 841.5°C at 760 mmHg
外观: 淡黄色结晶粉末
溶解性: 可溶于甲醇、乙醇、DMSO等有机溶剂。
储存条件: 2-8℃
注意: 部分产品我司仅能提供部分信息,我司不保证所提供信息的权威性,仅供客户参考交流研究之用。
风险提示:丁香通仅作为第三方平台,为商家信息发布提供平台空间。用户咨询产品时请注意保护个人信息及财产安全,合理判断,谨慎选购商品,商家和用户对交易行为负责。对于医疗器械类产品,请先查证核实企业经营资质和医疗器械产品注册证情况。
文献和实验参考文献(4篇)
4. [IF=6] Qiong Gao et al."Antidiabetic and Antigout Properties of the Ultrasound-Assisted Extraction of Total Biflavonoids from Selaginella doederleinii Revealed by In Vitro and In Silico Studies."Antioxidants.2024 Oct;13(10):1184
3. [IF=5.2] Yi-Ying Liu et al."Hinokiflavone exerts dual regulation on apoptosis and pyroptosis via the SIX4/Stat3/Akt pathway to alleviate APAP-induced liver injury."LIFE SCIENCES.2024 Oct;354:122968
2. [IF=5.2] Zhe Wang et al."Fermentation of Betaphycus gelatinum Using Lactobacillus brevis: Growth of Probiotics, Total Polyphenol Content, Polyphenol Profile, and Antioxidant Capacity."Foods.10.3390/foods12183334
1. 向阳 陈莹 黄志军 肖飞 明凯利 陈鹏 万佳丽 肖凌 聂晶.不同产地五灵脂质量评价研究[J].世界中医药 2020 15(12):1686-1691.
形态: 常绿乔木,高达 40m ,干径 1.5m ;树冠尖塔形;干皮赤褐色。鳞叶尖端较钝。球果球形,径 0.8-1cm ;种鳞常为 4 对;子叶 2 枚。花期 4 月;球果 10-11 月成熟。 分布: 原产日本。我国青岛、南京、上海、杭州、河南鸡公山、江西庐山、台湾省、浙江省、云南省等地均有栽培。 习性: 对阳光要求中等而略耐荫;喜凉爽而温暖湿润气候;在北京只能生于小气候良好地点,在青岛则生长良好;喜生于排水
由于生物特别是人、动物等的作用而形成的顶极群落。与气候顶极群落等有区别。人工植造的柳杉林、扁柏林、以及山麓所见到的一些草原、牧场(非过渡放牧的)就是例子。
防腐作用。α -及β -体在丝柏精油中也有存在。密挤青霉酸( stipitatic acid), 6-羟基芳庚酮 -4-羧酸)作为青霉菌属的代谢产物而形成,具有抗菌作用。作为糖苷存在于壳斗科檞属植物虫瘿里的红紫棓精( purpurogallin)可被用作酚氧化酶试验。此外,还有含于努特卡扁柏( Cha- maecyparis nootkatensis)心材中的努特卡扁柏素( nootkatin)和作为抑制物质的秋水仙素及其类似的秋水仙属( Colchicum)的副生物碱类。根据其反应性质推测托酚酮
技术资料暂无技术资料 索取技术资料










