万千商家帮你免费找货
0 人在求购买到急需产品
- 详细信息
- 询价记录
- 文献和实验
- 技术资料
- 保存条件:
冷藏
- 保质期:
长期
- 英文名:
Vancomycin
- 库存:
579
- 供应商:
北京百奥莱博科技有限公司
特别声明:本产品及我公司所售其他产品均为科研类试剂产品,严禁用于药物、医疗及其他非科研用途。
北京百奥莱博公司供应包括北京现货万古霉素标准品(国产,进口)在内的化学标准品,化学对照品,杂志对照品,HPLC标准品,UV标准品等高品质标准品、对照品
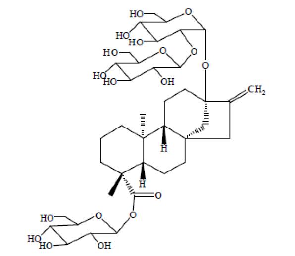
名称:北京现货万古霉素标准品(国产,进口)
编号:BP1581
规格:150mg
英文名:Vancomycin
本品为万古霉素标准品,供盐*(代"酸")万古霉素品种效价测定用,使用前不需要干燥处理。本标准品使用时,精密称取适量,用灭菌水使溶解,并制成每1ml中约含1000单位的溶液。
储存条件:置4℃以下低温避光保存。
欲了解更多北京现货万古霉素标准品(国产,进口)的品牌、产地、价格及说明书等产品信息,请致电北京百奥莱博科技有限公司,我们将竭诚为您服务,另外,以下产品正在火爆促销:
·松香酸
编号:BP1476
英文名称:Abietic acid
规格:10mg/支
本品为松香酸化学对照品。
分子式:C20H30O2
分子量:302.46
包装及装量:棕色瓶,每支约10毫克。
储存条件:冷冻干燥保存。
注意事项:使用前无需处理。
·醌式利福平
编号:BP1599
英文名称:Rifampicin quinone
规格:50mg/支
本品为醌式利福平标准品,供检查用,以C43H56N4O12计,含量为92.8%,使用前不需干燥处理。
CAS号:13983-13-6
分子式:C43H56N4O12
分子量:820.4
结构式:

包装:棕色安瓿
规格:50mg/支
储存条件:2-8℃遮光保存。
·左羟丙哌*(代"嗪")杂质(缩水甘油)
编号:BP0955
英文名称:Levodropropizine Impurity(Glycidol)
规格:约300毫克/支
本品为左羟丙哌*(代"嗪")杂质(缩水甘油)化学对照品,使用前不需干燥处理。供GC法检查用。
CAS号:556-52-5
分子式:C3H6O2
分子量:74.08
结构式:

包装:安瓿瓶装
规格:约300毫克/支
储存条件:遮光,2-8℃密封保存。
·甜菊苷
编号:BP1180
英文名称:Stevioside
规格:约20mg/支
本品为甜菊苷化学对照品,供相关物质鉴别用。
分子式:C38H60O18
分子量:804.87
结构式:

包装及装量:棕色瓶。
储存条件:干燥避光保存。
北京现货万古霉素标准品(国产,进口)关键词:Vancomycin,BP1581,万古霉素
我公司位于北京市海淀区,是一家专业从事生化试剂、分子生物学试剂、实验耗材研发、销*(代"售")、服务为一体的生物科技公司,公司主要经营的进口品牌包括Sigma,Invitrogen,Roche,Abcam,BD, R&D,GE,Amresco,Merck等;产品涉及化工原料、生化试剂、分子克隆相关试剂、细胞培养及检测常用试剂、实验室常用耗材等。百奥莱博秉承博采众长、诚信为本、德行天下的宗旨服务于客户。公司合作单位及客户包括各大医院、科研机构、大专院校、制药单位、医学检验单位、卫生防疫、生物技术公司、食品单位等诸多领域,正逐步成长为一流的生化试剂和耗材供应商。 我们将一如既往的为您提供优质的产品和完善的售后服务。
·L-肌肽
编号:BP1882
英文名称: L-Carnosine
规格:50mg/支
本品为L-肌肽化学对照品,含量以L-肌肽(C9H14N4O3)计为99.8%,供聚普瑞锌检查及含量测定用,使用前不需干燥。
分子式:C9H14N4O3
分子量:226.23
结构式:

包装:2ml西林瓶
规格:每瓶约50mg
储存条件:密封,2-8℃保存。
·头孢曲松杂质C
编号:BP1743
英文名称: L-Carnosine
规格:50mg
本品为头孢曲松杂质C化学对照品,供头孢曲松*品种有关物质测定用,含量以头孢曲松杂质C(C4H5N3O2S)计。
使用方法:精密称取本品适量,按相关质量标准的规定,溶解并稀释至所需浓度的溶液,立即使用。
储存条件:置5℃以下低温避光保存。开启安瓿后严密保持干燥,以防吸水。
注意事项:使用前不需干燥处理。
·胭脂红
编号:BP1350
英文名称:Neucoccin
规格:约20mg/支
本品为胭脂红化学对照品,供检查项对照用。
CAS号:2611-82-7
分子式:C20H11N2O10S3·3Na
分子量:604.47
结构式:

包装:棕色瓶
规格:约20mg/支
储存条件:阴凉处
北京现货万古霉素标准品(国产,进口)关键词:Vancomycin,BP1581,万古霉素
我公司先后与天津中医学院、北京军区总医院、复旦大学、北京大学、上海交通大学、华东师范大学、第二军医大学、南京大学、清华大学、复兴医院、南京工业大学、301医院、中科院上海分院等多家单位建立了良好的合作关系。本公司可为您提供高品质的万古霉素等科研试剂。 公司秉承“专注品质、信守承诺、积极沟通、创新服务”的企业文化积极参与生物领域的技术创新和技术服务,力求为我国科研事业更好的,更专业的服务!
1-亚硝基-2-*酚 AMEO 131-91-9
BL0811 HRP标记羊抗人C3抗体
ARB14115 牛超氧化物歧化酶(SOD)血清中含量检测
毛地黄皂苷 4-Aminoacetophenone 11024-24-1
ARB13486 鸡促黄体激素(LH)酶标法分析 Chicken luteinizing hormone,lh ELISA KIT
ARB12825 小鼠大内皮素(BIg ET)酶联免疫定量检测 Mouse big endothelin,big et ELISA KIT
HC0304 Biohit数字瓶口滴定分液器
6%兔红细胞 100ml
BTN131093 荧光素标记的生物素 FITC-Biotin
SJ0820 *百里香酚蓝
12771-68-5 环丙嘧啶醇 Ancymidol
PY08-079 高斯氏合成培养基平板 9CM 10皿/盒,用于分离、培养与鉴别放线菌
ARB11837 人凝血因子Ⅲ(FⅢ)免费代测 Human coagulation factor Ⅲ,fⅢ ELISA KIT
2-(N-玛啡啉)乙磺酸 Benzethonium chloride 145224-94-8
甲*-4-磺酸* Myristoylcholine chloride 657-84-1
BL0969 人外周血淋巴细胞分离液
ARB12709 大鼠磷脂酶A2(PL-A2)血清中含量检测 Rat phospholipidase a2,pl-a2 ELISA KIT
万古霉素上架一个月之内参与新品促销活动,新老客户订购此产品均可享受会员优惠,若您是我们的诚信会员,还可享受我司的VIP专线服务与优惠,欢迎来电咨询、订购您所需产品。
我公司正在优惠促销标准品对照品等系列产品,期待您的咨询选购北京现货万古霉素标准品(国产,进口)。
风险提示:丁香通仅作为第三方平台,为商家信息发布提供平台空间。用户咨询产品时请注意保护个人信息及财产安全,合理判断,谨慎选购商品,商家和用户对交易行为负责。对于医疗器械类产品,请先查证核实企业经营资质和医疗器械产品注册证情况。
- 作者
- 内容
- 询问日期
文献和实验国产新冠药物登顶 NEJM,疗效不输 Paxlovid,且不良事件更少
病毒的药物——VV116,其作为对严重急性呼吸综合征具有有效活性的口服抗病毒药物,同时是我国首个国产靶向新冠病毒 RNA 复制酶的小分子药物抑制剂。 2022 年 12 月 28 日,上海瑞金医院赵任教授、宁光院士、上海仁济医院皋源教授等团队联合在国际医学顶刊 NEJM 杂志上发表研究论文 VV116 versus Nirmatrelvir–Ritonavir for Oral Treatment of Covid-19。 该研究首次报告感染奥密克戎病毒且具有高危症状的患者的 3 期临床
11 月 13 日,首都机场出入境检验检疫局检疫人员对一批申报为「塑胶板」(申报货值 50 美元,收货人显示为北京美术学院)的快件进行查验,传说中的塑胶板长这样:此「塑胶板」实际上为 36 瓶胎牛血清、生物试剂等产品。检验检疫部门对发货和收获人的情况进行排查布控,共查获牛血清 93 瓶,其中美国牛血清 21 瓶,新西兰牛血清 1 瓶,墨西哥牛血清 1 瓶,澳大利亚牛血清 70 瓶。检验检疫部门将 4 批涉案牛血清做了相关实验室检测,结果发现牛病毒性腹泻病毒核酸阳性和抗体阳性。牛病毒性腹泻是农业
1、【仪器名称】:进口代谢笼。 2、【仪器型号】:2602动物器具。 3、【生产厂家】:意大利TECNIPLAST公司。 4、【检测适用范围】:完全地分离粪便和尿液,尿液不会被污染。 5、【仪器使用优点、缺点】:独特的漏斗和锥形体设计保证了粪便和尿液的分离收集,尿液不会被污染
技术资料暂无技术资料 索取技术资料









