相关产品推荐更多 >
万千商家帮你免费找货
0 人在求购买到急需产品
- 详细信息
- 文献和实验
- 技术资料
- 保存条件:
冷藏
- 保质期:
长期
- 英文名:
Stevioside
- 库存:
736
- 供应商:
北京百奥莱博科技有限公司
特别声明:本产品及我公司所售其他产品均为科研类试剂产品,严禁用于药物、医疗及其他非科研用途。
北京百奥莱博公司供应包括甜菊苷对照品供应在内的化学标准品,化学对照品,杂志对照品,HPLC标准品,UV标准品等高品质标准品、对照品
名称:甜菊苷对照品供应
产地:国产|进口
规格:约20mg/支
品牌:百奥莱博
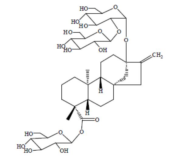
本品为甜菊苷化学对照品,供相关物质鉴别用。
分子式:C38H60O18
分子量:804.87
结构式:

包装及装量:棕色瓶。
储存条件:干燥避光保存。
甜菊苷对照品供应极具性价比,此外,我公司正火爆促销以下产品:
BFD010 猪弓形体病毒抗体检测试剂盒
PY01-188 玉米浸粉 100克
ARB10151 人Runt相关基因2(RUNX2)elisa检测说明书 Human runt-related transcription factor 2,(runx 2)ELISA KIT
F030220 HRP标记兔抗马IgG抗体 Rabbit Anti-Horse IgG*HRP
没食子酸 Bismuth potassiu*(代"m") iodide 149-91-7
ARB11632 人淋巴细胞功能相关抗原2(LFA-2/CD2)检测服务 Human lymphocyte function associated antigen 2,lfa-2 ELISA KIT
O-(3,4-二*-4-氧-1,2,3-*并三氮唑-3-基)-N,N,N",N"-四甲基脲六*磷酸酯 BTEE 164861-52-3
PY06-008 弧菌显色培养基 1000ml,用于弧菌属细菌的快速分离与鉴别
145224-94-8 MES 2-(N-玛啡啉)乙磺酸
ARB10478 人白介素18(IL-18)酶联免疫定量检测 Human interleukin 18,IL-18 ELISA KIT
BL1373 10%SDS
4.1-66kDa低范围分子量MARK Tylosin tartrate
ARB10895 人抗麻疹病毒抗体(MVAb)代做ELISA实验 Human anti-measles virus antibody ELISA KIT
气溶胶OT Iron(III) phosphate tetrahydrate 577-11-7
"
ARB13507 鱼卵黄高磷蛋白(PV)酶联免疫定量检测 Fish pv ELISA KIT
ARB14119 大鼠*卫蛋白(cAlproteIn)ELISA检测服务
ARB13455 鸡白痢抗体检测(PD)Elisa方法检测 chiken pullorum diseaes,pd ELISA KIT
F030820 BIOTIN标记兔抗马IgG抗体 Rabbit Anti-Horse IgG*BIOTIN
甜菊苷对照品供应关键词:Stevioside,BP1180,甜菊苷
·野百合碱
编号:BP1427
英文名称:Monocrotaline
规格:20mg
本品为野百合碱化学对照品,供限量检查内标用,含量以99.8%计。
分子式:C16H23NO6
分子量:325
包装及装量:棕色瓶。
储存条件:室温干燥保存。
注意事项:使用前无需处理。
·金刚烷
编号:BP0865
英文名称:Adamantane
规格:500mg
本品为金刚烷化学对照品,供检查用,使用前不需干燥处理,供GC法系统适用性试验用。
CAS号:281-23-2
分子式:C10H16
分子量:136.23
结构式:

包装及装量:棕色西林瓶,约500mg/支。
储存条件:遮光,密封保存。
·孕酮(P)
编号:BP1977
英文名称:Adamantane
规格:3支/套,0.5ml/支
本品为孕酮质控血清,供免疫测定用。
1、是以孕酮纯品为原料加入至新鲜正常人混合血清制备而成。
2、本套质控血清为冻干品,3支/套,0.5ml/支。
3、使用时应用0.5ml去离子水将内容物完全溶解,充分混合后使用。
4、质控血清I理论值为2.0ng/ml;
质控血清Ⅱ理论值为4.0ng/ml;
质控血清Ⅲ理论值为11.0ng/ml。
由于免疫分析体系不同,各公司测定结果存在一定差异,数据仅供参考。
5、本套质控血清长期保存应在-20
·盐*(代"酸")丁卡因杂质(对丁*基*甲*(代"酸"))
编号:BP0861
英文名称:4-(Butylamino)-benzoic acid
规格:50mg
本品为对丁*基*甲*(代"酸")化学对照品,供TLC法检查用。
CAS号:4740-24-3
分子式:C11H15NO2
分子量:193.25
包装及装量:棕色小瓶装,每支约50毫克。
储存条件:遮光,密封保存。
注意事项:使用前不需干燥处理。
甜菊苷对照品供应关键词:Stevioside,BP1180,甜菊苷
为何选择百奥莱博公司的甜菊苷?
我公司是一家专业从事“产品研发生产、市场销*(代"售")、技术服务”为一体的高科技生物技术公司,公司生产的甜菊苷质量有保证,含量高,能够给实验带来准确的结果。同时能为用户更好的解决各种疑难问题。如有需要可联系我司销*(代"售")人员,我们将竭诚为您服务。
ARB11238 人毒性休克综合征毒素1(TSST-1)含量分析 Human toxic shock syndrome toxin,tsst-1 ELISA KIT
BL1356 高效RIPA组织/细胞快速裂解液
PY08-083 胰酪胨大豆琼脂平板 9CM 10皿/盒,用于药品中抑菌剂效力测定
三*乙酸 Phenylhydrazine hydrochloride 76-05-1
BTN131225 Carnoy固定液 Carnoy Solution
BL0858 兔抗亲和素纯化抗体
*化胆固醇 TDZ 910-31-6
PY02-415 WORT琼脂 250克
F010202 小鼠抗人IgG FC抗体 Monoclonal Mouse Anti-Human IgG(FC)
邻*二甲醛 Monoacetone glucose 643-79-8
SJ0758 1-*胺
碳酸** Diethyl suberate 298-14-6
十二烯基丁二酸酐 D-a-Aminoadipic acid 25377-73-5
F030432 胶体金标记小鼠抗猪IgG抗体 Monoclonal Mouse Anti-Pig IgG*GOLD
*甲酰胺 HMB 55-21-0
ARB12482 大鼠前列腺酸性磷酸酶(PAP)Elisa定量检测 Rat prostatic acid phosphatase,pap ELISA KIT
BTN120535 HRP标记的兔抗GST标签多抗 Anti GST-Tag Rabbit PAb,HRP
苦酮酸 H-Leu-Ome?HCl 550-74-3
6-*乙酸 Fast Black B Salt 4224-70-8
ARB11058 人松弛肽/松弛素(RLN)酶免分析 Human relaxin,rln ELISA KIT
我公司倾力为客户提供最优 、最全、最有效的甜菊苷等科研试剂产品,质量被全国各大院校科研机构认可。 同时,我们售前,售中,售后全程为您服务。欢迎来电咨询!
本公司免费技术支持,由专业的技术人员和销*(代"售")人员为科研用户提供全面的技术支持和完善的售前、售中、售后服务。百奥莱博暑期大促,凡够买我司各种生物试剂、抗体、ELISA试剂盒、抗原、血清、血浆、甜菊苷、脱纤维血、抗凝血、裂解血、分子生物学试剂、培养基等优质试剂,均可享受超低会员价,各种高品质科研试剂及各种规格包装均可定制,如有需要请联系我们。
北京百莱博科技有限公司专业生产供应销*(代"售")生物试剂、化学试剂、抗原抗体、血清血浆、Elisa试剂盒,更多试剂产品需求,欢迎来电咨询选购甜菊苷对照品供应。
风险提示:丁香通仅作为第三方平台,为商家信息发布提供平台空间。用户咨询产品时请注意保护个人信息及财产安全,合理判断,谨慎选购商品,商家和用户对交易行为负责。对于医疗器械类产品,请先查证核实企业经营资质和医疗器械产品注册证情况。
文献和实验对照品系指用于鉴别、检查、含量测定和校正检定仪器性能的标准物质。 标准品系指用于生物检定、抗生素或生物药品中含量或效价测定的标准物质,以效价单位(U)表示。 还是感觉不甚明了,是否标准品只用于生物方面?是否化学方面只能称对照品?标准品有什么要求?对照品有什么要求? 国家药品标准品、对照品系指国家药品标准中用于鉴别、检查、含量测定、杂质和有关物质检查等标准物质,它是国家药品标准不可分割的组成部分。国家药品标准物质是国家药品标准的物质基础,它是用来检查药品质量的一种特殊的专用
2.1方法 2.1.1蒜氨酸对照品溶液的制备精密称取蒜氨酸对照品0.01g置于10ml量瓶中,甲醇-水(1∶1)溶解,定容至刻度(每毫升含蒜氨酸对照品1mg)。 2.1.2供试品溶液的制备采用水煮灭活蒜氨酸酶和甲醇灭活蒜氨酸酶法,制备样品,确定样品的制备方法。 方法1:去皮蒜10g,甲醇50ml打碎15s,转移至250ml锥形瓶中,加入50ml水,在超声器中超声15min,精密吸取10ml,浓缩至5ml,备用。 方法2:去皮蒜10g,水煮10min,加水
高效液相色谱法对舒冠片中淫羊藿甙的含量进行了测定,旨在建立舒冠片中淫羊藿甙的含量测定方法. 1 材料 仪器:LC-10AT高效液相色谱仪及CLASS-LC10色谱工作站均为日本岛津公司产品.试药:淫羊藿甙对照品供含量测定用,批号为0773-9910,由中国药品生物制品检定所提供;舒冠片按卫生部颁布标准WS 3 -B-1653收载的制备方法自制,批号分别为040911,040912,040913,040914,040915;甲醇和乙腈为高效液相色谱纯;其他试剂均为分析
技术资料暂无技术资料 索取技术资料










