相关产品推荐更多 >
万千商家帮你免费找货
0 人在求购买到急需产品
- 详细信息
- 技术资料
- 保存条件:
冷藏
- 保质期:
长期
- 英文名:
Chonglou saponin VII
- 库存:
245
- 供应商:
北京百奥莱博科技有限公司
- CAS号:
68124-04-9
特别声明:本产品及我公司所售其他产品均为科研类试剂产品,严禁用于药物、医疗及其他非科研用途。
重楼皂苷VII对照品打折促销由专业试剂供应商北京百奥莱博提供,用于科研目的生化试验项目,本产品质量好,且极具价格优势,深为用户称道,了解更多重楼皂苷VII等标准品对照品产品请联系我司咨询订购。
名称:重楼皂苷VII对照品打折促销
编号:BP1230
英文名:Chonglou saponin VII
产地:国产|进口
品牌:百奥莱博
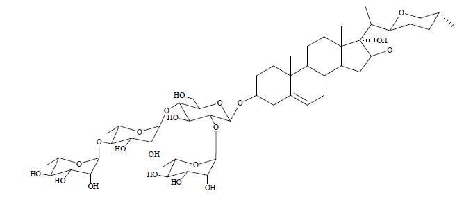
本品为重楼皂苷VII化学对照品,供含量测定用,含量以94.0%计,使用前不需干燥处理。
CAS号:68124-04-9
分子式:C51H82O21
分子量:1031.18
结构式:

包装:棕色安瓿瓶
装量:约20mg/支
储存条件:冷冻保存。
关于重楼皂苷VII对照品打折促销的更详细说明,请致电我公司咨询,我们将以最饱满的热情为您提供解答,此外,我公司专业供应下列产品:
·洛塞维
编号:BP1520
英文名称:Rosavin
规格:20mg/支
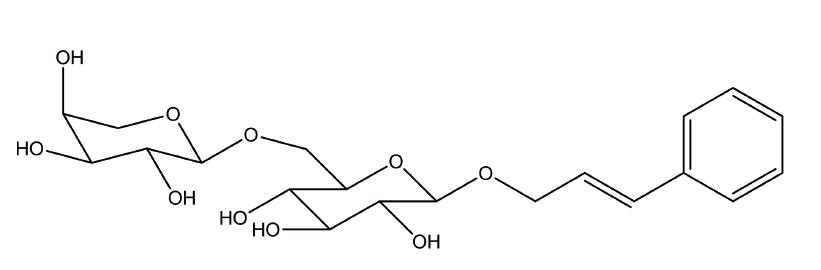
本品为洛塞维非标准用对照品,含量以95.1%计,使用前不需干燥处理。
CAS号:84954-92-7
分子式:C20H28O10
分子量:428.43
结构式:

包装:棕色安瓿瓶
装量:约20mg/支
储存条件:冷处(2-10℃)干燥保存
注意事项:本品有引湿性,建议打开包装一次性使用完。
·磺胺吡*(代"啶")
编号:BP0856
英文名称:Sulfapyridine
规格:50mg
本品为磺胺吡*(代"啶")化学对照品,供HPLC法检查用。
CAS号:144-83-2
分子式:C11H11N3O2S
分子量:249.29
包装及装量:棕色小瓶装,每支约50毫克。
储存条件:遮光,密封保存。
注意事项:使用前不需干燥处理。
·盐*(代"酸")马普替林
编号:BP0208
英文名称:Maprotiline Hydrochloride
规格:100mg
本品为磺胺吡*(代"啶")化学对照品,供HPLC法检查用。
CAS号:144-83-2
分子式:C11H11N3O2S
分子量:249.29
包装及装量:棕色小瓶装,每支约50毫克。
储存条件:遮光,密封保存。
注意事项:使用前不需干燥处理。
·乙酸龙脑酯
编号:BP1056
英文名称:Bornyl acetate
规格:0.2ml
本品为乙酸龙脑酯化学对照品,供鉴别或含量测定用。使用前无需处理。
分子式:C12H20O2
分子量:196.29
结构式:

包装:棕色安瓿瓶
规格:约0.2ml/支
储存条件:室温保存。
·十八种*基酸(套)
编号:BP1790
英文名称:Amino acids(18AA)
规格:100mg/瓶
本品为十八种*基酸化学对照品,本套*基酸化学对照品由*丙*酸、丙*酸、甘*酸、谷*酸、胱*酸、甲硫*酸、精*酸、酪*酸、亮*酸、门冬*酸、脯*酸、色*酸、丝*酸、苏*酸、缬*酸、盐*(代"酸")赖*酸、异亮*酸、组*酸十八种*基酸组成,供*基酸含量及鉴别测定用。使用前根据标签具体要求试验。
包装:棕色小瓶
规格:每瓶约100mg
储存条件:避光,密封保存。
重楼皂苷VII对照品打折促销关键词:68124-04-9,Chonglou saponin VII,重楼皂苷VII
重楼皂苷VII由我公司长期专业供应,公司为广大顾客提供 重楼皂苷VII产品说明,生产厂家,价格,规格,哪里买 。公司遵循高品质的产品,高质量的技术服务,合理的价格,是国内研发与生产,销*(代"售")合为一体的一家大型企业,我们承诺:以最少的经费,最高的效率,得到您最需要的实验结果,同时我们承诺,若有质量问题,无条件退换。
PY02-228 胰胨大豆琼脂斜面(TSA) 250克
ARB10100 人E*粘着蛋白/上皮性*黏附蛋白(E-CAd)血清中含量检测 Human e-cadherin,e-cad ELISA KIT
*甲*(代"酸")酐 Thymol Blue sodiu*(代"m") salt 93-97-0
ARB11821 人端粒酶(TE)elisa测定使用说明书 Human telomerase,te ELISA KIT
ARB12417 大鼠细胞间粘附分子2(ICAM-2/CD102)Elisa分析 Rat intercellular adhesion molecule 2,icam-2 ELISA KIT
BL1212 抗酸染色液(试剂盒)
BTN100102 一站式His标记蛋白质微量纯化套装 One-Stop His-Tagged Protein Miniprep Pack
ARB13934 猪组织型纤溶酶原激活剂(t-PA)含量测试 Porcine tissue-type plasiminogen actilyse,t-pa ELISA KIT
ARB11388 人活化凝血因子Ⅻ(FⅫA)酶免分析 Human activated coagulation factor Ⅻ,fⅫa ELISA KIT
PY04-089 头孢菌素* 2mg/支×10支 每支添加于100ml Bolton肉汤基础中,用于弯曲杆菌的增菌培养
M0107 特级牛血清白蛋白/BSA
ARB10324 人内皮型一氧化*(代"氮")合成酶3(eNOS-3)Elisa方法检测 Human α1-acid glycoprotein,α1-agp ELISA KIT
ARB11664 人维生素A(VA)elisa检测操作说明书 Human vitamin a,va ELISA KIT
ARB13340 牛CD3分子(CD3)Elisa分析
ARB10598 人血小板衍生生长因子受体(PDGFR)免费代测 Human platelet-derived growth factor receptor α,pdgfr-α ELISA KIT
重楼皂苷VII对照品打折促销关键词:68124-04-9,Chonglou saponin VII,重楼皂苷VII
生物化工学科起始于第二次世界大战时期,以抗生素的深层发酵和大规模生产技术的研究为标志。20世纪60年代末至80年代中期,转基因技术、生物催化与转比技术、动植物细胞培养技术、新型生物反应器和新型生物分离技术等开发和研究的成功,使本学科进入了新的发展时期,学科体系逐步完善。20世纪后期,随着以基因工程为代表的高新技术的迅速崛起,为本学科的进一步发展开辟了新领域,无数前人的工作和我公司的不懈奋斗。造就了高品质的重楼皂苷VII。
28-表高油菜素内酯 Potassium formate 80483-89-2
*甲*(代"酚")绿 Phosphomycin disodiu*(代"m") salt 76-60-8
ARB12747 小鼠CA-ATP酶elisa检测说明书 Mouse ca-atp ELISA KIT
ARB10479 人白介素1α(IL-1α)ELISA代测服务 Human interleukin 1α,IL-1α ELISA KIT
ARB12798 小鼠β连环蛋白/联蛋白(β-CAt)elisa检测操作说明书 Mouse β-catenin,β-cat ELISA KIT
ARB11003 人补体3(C3)含量测试 Human complement 3,c3 ELISA KIT
ARB10737 人纤维连接蛋白(FN)代做ELISA实验 Human fibronectin,fn ELISA KIT
DP432 植物总RNA提取试剂盒
ARB13614 兔子细胞间粘附分子1(ICAM-1/CD54)血清中含量检测 Rabbit intercellular adhesion molecule 1,icam-1/cd54 ELISA KIT
BTN130996 Cy5-dCTP溶液 Cy5-dCTP Solution
ARB11894 人磷酸化细胞外信号调节激酶(pERK)elisa测定使用说明书 Human phospho-extracellular signal-regulated kinase,perk ELISA KIT
CYB166008-D 兔抗豚鼠IgG-GOLD
PY04-104 莫匹罗星*盐 5mg/支×10支 每支添加于100ml 灭菌冷却至48℃的改良MRS琼脂基础中,用于双歧杆菌计数
L-羟脯*酸甲酯盐*(代"酸")盐 Ethephon 40216-83-9
苦酮酸 H-Leu-Ome?HCl 550-74-3
ARB14153 人抗流行性出血热病毒抗体IgG(EHF IgG)酶联免疫定量检测
ARB12689 大鼠凝血因子Ⅷ相关抗原(FⅧ-Ag)代做ELISA实验 Rat coagulation factor Ⅷ related antigen,fⅧ-ag ELISA KIT
CYB163019 羊抗人白蛋白-FITC
我公司生化试剂产品种类丰富,涵盖溶剂、培养基、*基酸及其衍生物、组织学试剂、电泳试剂、核苷酸及其衍生物、糖类、纯化试剂、分子生物学用试剂、抗生素、生物缓冲试剂、染色剂、重楼皂苷VII等。我公司作为一家以客户为中心的生产厂家和全球分销商,生产经营品种齐全的高质量化学品,实验室耗品和器材。在百奥莱博,质量是我们第一关注的要点。欢迎咨询选购!
北京百莱博科技有限公司专业生产标准品对照品产品,欢迎来电咨询选购重楼皂苷VII对照品打折促销。
风险提示:丁香通仅作为第三方平台,为商家信息发布提供平台空间。用户咨询产品时请注意保护个人信息及财产安全,合理判断,谨慎选购商品,商家和用户对交易行为负责。对于医疗器械类产品,请先查证核实企业经营资质和医疗器械产品注册证情况。
技术资料暂无技术资料 索取技术资料










