相关产品推荐更多 >
万千商家帮你免费找货
0 人在求购买到急需产品
- 详细信息
- 技术资料
- 库存:
731
- 英文名:
Sinomenine
- 保质期:
长期
- 供应商:
北京百奥莱博科技有限公司
特别声明:本产品及我公司所售其他产品均为科研类试剂产品,严禁用于药物、医疗及其他非科研用途。
北京百奥莱博公司供应包括北京现货青藤碱对照品优惠在内的化学标准品,化学对照品,杂志对照品,HPLC标准品,UV标准品等高品质标准品、对照品
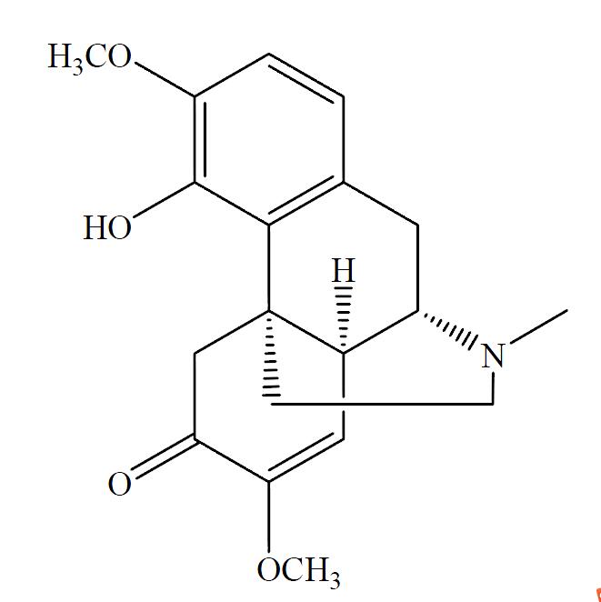
名称:青藤碱
编号:BP1070
品牌:百奥莱博
规格:20mg
本品为青藤碱化学对照品,供鉴别或含量测定用。
分子式:C19H23NO4
分子量:329.38
结构式:

包装:棕色瓶装
规格:约20mg/支
储存条件:干燥密闭保存
关键词:BP1070,青藤碱,Sinomenine
北京现货青藤碱对照品优惠正在火爆热销,除此之外,为您推荐下别热销产品:
| 编号 | 名称 |
| BP0114 | N-甲基哌*(代"嗪") |
| BP1115 | 云南白药提取物 |
| BP0409 | 甘露醇 |
| BP1919 | 发色底物S-2238 |
| BP1200 | 小茴香油 |
| BP1145 | 三七茎叶皂苷 |
| BP1071 | 香草酸 |
| BP0252 | *胞嘧啶(恩曲他滨杂质I) |
| BP1253 | 射干苷 |
| BP0822 | 阿托酸6β-羟基-3α-托品酯(消旋山莨菪碱杂质Ⅰ) |
| BP0573 | 磷酸二** |
| BP1617 | *霉素二醇物 |
| BP1801 | D-葡萄糖醛酸 |
| BP1642 | 青霉素V |
| BP1579 | 吉它霉素 |
| BP1235 | 丹参酮IIA磺酸* |
| BP0345 | 对*基水杨酸异烟肼 |
| BP0815 | 可的松 |
| BP0340 | 枸橼酸喷托维林 |
| BP1955 | 盐*(代"酸")高血糖素 |
| BP0277 | 盐*(代"酸")卡替洛尔 |
| BP1039 | 甘*酸 |
| BP0462 | 洛伐他汀 |
| BP1060 | 小豆蔻明 |
| BP1093 | 人参皂苷Rg3 |
| BP1539 | β-细辛醚 |
| BP0153 | *尿嘧啶 |
| BP0550 | 盐*(代"酸")*环壬酯 |
| BP0120 | *化琥珀胆*(代"碱") |
| BP1864 | 门冬酰胺酶(欧文菌) |
| BP0752 | 尼群地平杂质Ⅰ |
| BP1492 | 鞣花酸 |
| BP1246 | 柯里拉京 |
| BP1575 | 西索米星 |
| BP1313 | 亥茅酚苷 |
| BP0728 | 扁桃酸 |
| BP1310 | 白花前胡甲素 |
| BP1429 | (±)原苏木素B |
风险提示:丁香通仅作为第三方平台,为商家信息发布提供平台空间。用户咨询产品时请注意保护个人信息及财产安全,合理判断,谨慎选购商品,商家和用户对交易行为负责。对于医疗器械类产品,请先查证核实企业经营资质和医疗器械产品注册证情况。
技术资料暂无技术资料 索取技术资料
北京现货青藤碱对照品优惠
¥120 - 2260









