相关产品推荐更多 >
万千商家帮你免费找货
0 人在求购买到急需产品
- 详细信息
- 技术资料
- 库存:
878
- 英文名:
Syringin
- CAS号:
118-34-3
- 保质期:
长期
- 供应商:
北京百奥莱博科技有限公司
- 保存条件:
冷处(2-10℃
特别声明:本产品及我公司所售其他产品均为科研类试剂产品,严禁用于药物、医疗及其他非科研用途。
百奥莱博公司致力于为全国科研单位提供药典标准品、对照品、标准溶液、标准样品、对照培养基、国家标准品等可靠标准物质,其中紫丁香苷对照品北京现货促销的品质过硬,在广大科研人员中有口皆碑!
名称:紫丁香苷对照品北京现货促销
规格:20mg/支
编号:BP1216
品牌:百奥莱博
英文名:Syringin
本品为紫丁香苷化学对照品,供鉴别或含量测定用,含量以95.2%计,使用前不需干燥处理。
CAS号:118-34-3
分子式:C17H24O9
分子量:372.14
结构式:

包装:棕色安瓿瓶
装量:约20mg/支
储存条件:冷处(2-10℃)保存
紫丁香苷对照品北京现货促销极具性价比,此外,我公司正火爆促销以下产品:
SJ0333 Gelred
芴甲氧羰基-O-叔丁基-L-苏*酸 Orange Ⅱ 71989-35-0
E0301 抗凝绵羊血(无菌 pet瓶装) 100ml/200ml/500ml
Tris缓冲盐粉剂(1×TBS) 1L|10×1L
*甲酰三*丙*(代"酮") D-lsoleucine 326-06-7
乙二*(代"胺")四乙酸三* BIS-TRIS propane 150-38-9
还原辅酶Ⅱ四*盐 Fast red B salt 1,5-Naphthalenedisulfonate 42934-87-2
PY02-192 卵黄高盐琼脂基础 250克
BTN131234 地塞米松溶液 Dexamethasone DXM Solution
ARB12199 大鼠半胱*酸蛋白酶抑制剂C(CysC)酶标法分析 Rat cystatin c ELISA KIT
ARB13275 小鼠雌二醇(E2)elisa检测操作说明书 Mouse estradiol,e2 ELISA KIT
刘氏染色液 Liu Stain 3×100ml|3×500ml
9001-64-3 苹果酸脱*酶 Malatedehydrogenase
ARB10610 人血红蛋白(Hb)代做ELISA实验
直接胆红素(DBIL)检测试剂盒(钒酸微板法) 100T
N-乙酰-L-半胱*酸 L-Pyroglutamic acid 616-91-1
ARB10161 人SmAd7 Elisa方法检测 Human mothers against decapentaplegic homolog 7,smad7 ELISA KIT
PY04-103 维生素K1 2.5mg/支×10支 每支添加于100ml 灭菌冷却至50℃的PYG培养基基础中 培养双歧杆菌用于有机酸代谢产物的测定
N-乙基-N-(3-磺丙基)-3-甲基**(代"胺")*盐 Ethyl cellulose 40567-80-4
BL1362 酵母破壁酶溶液
十二烷基硫*(代"酸")* Chlorophyll B 2044-56-6
紫丁香苷对照品北京现货促销关键词:118-34-3,紫丁香苷,Syringin
F030404 胶体金标记小鼠抗猴IgG抗体 Monoclonal Mouse Anti-Monkey IgG*GOLD
DP307 酵母基因组提取试剂盒
BL0938 生物素化羊抗人IgA抗体
蛋白酶和磷酸酶抑制剂混合物(含EDTA) Inhibitor of protease and phosphatase(with EDTA) 250ul|1ml
土壤基因组DNA提取试剂盒 50次
ARB14089 牛白血病(ALV)elisa检测
Western转移缓冲液(5×) 500ml
甲*-4-磺酰胺 O-Acetyl-L-serine hydrochloride 70-55-3
BTN81024 DH5α感受态细胞 DH5α Competent Cell
BL0874 羊抗马IgG免疫血清 0.5ml
PY02-208 胰酪胨大豆羊血琼脂基础 250克
ARB10277 人大肠菌素(colIcIn)免费代测 Human colicin ELISA KIT
F030241 HRP标记小鼠抗鸡IgY(IgG)抗体 HRP*Monoclonal Mouse Anti-Chicken IgY
ARB11660 人蛋白激酶C(PKC)血清中含量检测 Human protein kinase c,pkc ELISA KIT
精子活体检测试剂盒(低渗膨胀法) 10ml|20ml
F030411 胶体金标记山羊抗小鼠IgA抗体 Goat Anti-Mouse IgA*GOLD
2′-*脱氧尿苷 Oxyhemoglobin 72218-68-9
9003-39-8 聚乙*(代"烯")吡*(代"咯")烷酮40000 PVP40000
肌酐(Cr)检测试剂盒(去蛋白终点微板法) 100T
F050301 兔IgG抗体 Rabbit IgG
紫丁香苷对照品北京现货促销关键词:118-34-3,紫丁香苷,Syringin
紫丁香苷的不同等级:
除了优级纯、分析纯、化学纯、实验试剂外,目前市场上尚有:基准试剂(PT):专门作为基准物用,可直接配制标准溶液。光谱纯试剂(SP):表示光谱纯净。但由于有机物在光谱上显示不出,所以有时主成分达不到99.9%以上,使用时必须注意,特别是作基准物时,必须进行标定。纯度远高于优级纯的试剂叫做高纯试剂(≥ 99.99%)。
一般化学试剂的品级:一级试剂、二级试剂、三级试剂、四级试剂
国内标准名称:优级纯(保证试剂)、分析纯、化学纯 、实验试剂
国内标签颜色:绿色、红色、蓝色、中黄色
·巴*芬
编号:BP0702
英文名称:Baclofen
规格:100mg
·硝普*
编号:BP0824
英文名称:Pyridostigmine Bromide
规格:200mg
本品为硝普*二水合物,供HPLC法含量测定用,按Na2Fe(CN)5NO计,含量为88.0%。
CAS号:13755-38-9
分子式:Na2Fe(CN)5NO·2H2O
分子量:297.95
包装及装量:西林装,每支约200毫克。
储存条件:遮光,密封保存。
注意事项:使用前不需干燥处理。
·酚酞
编号:BP0077
英文名称:Phenolphthalein
规格:100mg
本品为酚酞(Phenolphthalein)化学对照品。供含量测定用。
分子式:C20H14O4
分子量:318.33
CAS号:77-09-8
包装及装量:棕色小瓶装,每支约100毫克。
储存条件:遮光,密闭保存。
注意事项:使用前不需干燥处理。
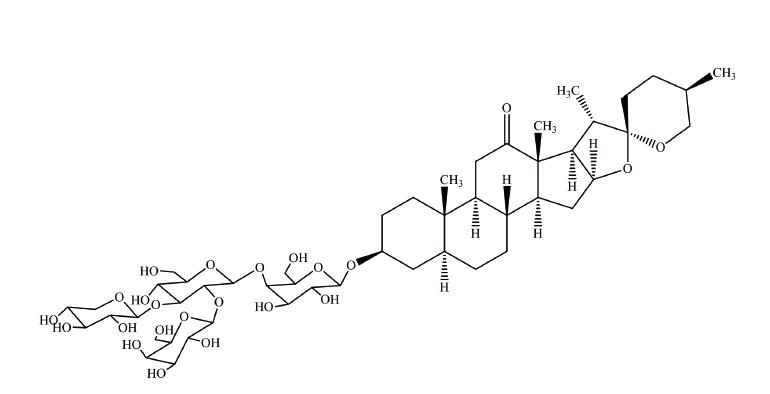
·蒺藜皂苷D
编号:BP1543
英文名称:Terrestrosin D
规格:20mg/支
本品为蒺藜皂苷D化学对照品,供鉴别和含量测定用,含量以95.3%计,使用前不需干燥处理。
CAS号:179464-23-4
分子式:C50H80O23
分子量:1049.16
结构式:

包装:棕色安瓿瓶
规格:约20mg/支
储存条件:冷处(2-10℃)保存
注意事项:本品具有引湿性,建议打开包装一次性使用完。
我公司立足北京,辐射全国。随着产品战略的不断延伸,产品理念的不断完善,百奥莱博将逐步成长为一流的生化试剂供应商,并一如既往的为您提供优质的紫丁香苷和完善的售后服务,与您一起携手整合各自的优势资源,竭尽全力支持您的事业,为中国生命科学的发展贡献一份力量。
我公司是一家集研发、销*(代"售")、实验室技术服务于一体的高科技企业。 多年来一直处于行业前沿。我们专业经营培养基、生化试剂、紫丁香苷、进口ELISA试剂盒、化工产品、实验室消耗品、实验室耗材以及实验室器材。产品涉及分子生物学、细胞生物学、细菌学、遗传学、免疫学、生物化学、蛋白质学、细胞治疗等领域。
我公司正在优惠促销标准品对照品等系列产品,期待您的咨询选购紫丁香苷对照品北京现货促销。
风险提示:丁香通仅作为第三方平台,为商家信息发布提供平台空间。用户咨询产品时请注意保护个人信息及财产安全,合理判断,谨慎选购商品,商家和用户对交易行为负责。对于医疗器械类产品,请先查证核实企业经营资质和医疗器械产品注册证情况。
技术资料暂无技术资料 索取技术资料









