相关产品推荐更多 >
万千商家帮你免费找货
0 人在求购买到急需产品
- 详细信息
- 文献和实验
- 技术资料
- 保存条件:
2-10℃
- 保质期:
长期
- 英文名:
Ursodeoxycholic acid
- 库存:
821
- 供应商:
北京百奥莱博科技有限公司
- CAS号:
128-13-2
特别声明:本产品及我公司所售其他产品均为科研类试剂产品,严禁用于药物、医疗及其他非科研用途。
百奥莱博公司致力于为全国科研单位提供药典标准品、对照品、标准溶液、标准样品、对照培养基、国家标准品等可靠标准物质,其中熊去氧胆酸标准品批发的品质过硬,在广大科研人员中有口皆碑!
名称:熊去氧胆酸标准品批发
编号:BP1052
品牌:百奥莱博
产地:国产|进口
规格:约20mg/支
英文名:Ursodeoxycholic acid
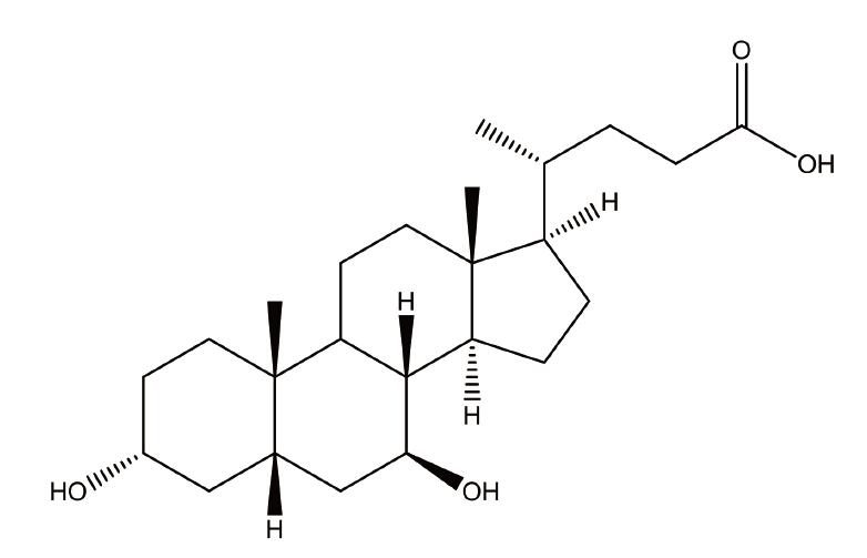
本品为熊去氧胆酸化学对照品,供鉴别或含量测定用,含量99.4%。置五氧化二磷干燥器中减压干燥12小时后使用。
CAS号:128-13-2
分子式:C24H40O4
分子量:392.57
结构式:

包装:棕色安瓿
装量:约20mg/支
储存条件:冷处(2-10℃)保存
关于熊去氧胆酸标准品批发的更详细说明,请致电我公司咨询,我们将以最饱满的热情为您提供解答,此外,我公司专业供应下列产品:
·羟基脲
编号:BP0868
英文名称:Hydroxycarbamide
规格:100mg/支
本品为羟基脲化学对照品,供HPLC法含量测定用,按CH4N2O2计,含量为99.8%,使用前不需要干燥处理。
CAS号:127-07-1
分子式:CH4N2O2
分子量:76.06
包装:棕色西林瓶装。
规格:约100毫克/支
储存条件:遮光,密封保存。
·硼砂
编号:BP2100
英文名称:Borax
规格:100mg/瓶
本品为硼砂化学对照品,仅供丁硼乳膏品种项下硼砂含量测定用对照品,以Na2B4O7·10H2O计,含量为100.9%,使用前不需干燥处理。
CAS号:1303-96-4
分子式:Na2B4O7·10H2O
分子量:381.37
包装:西林瓶
规格:约100mg
储存条件:遮光、常温保存
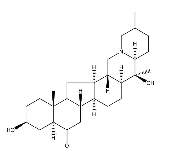
·贝母素乙
编号:BP1048
英文名称:Peiminine
规格:约20mg/支
本品为贝母素乙化学对照品,供鉴别或含量测定用,使用前不需干燥处理。含量以96.4%计。
CAS号:18059-10-4
分子式:C27H43NO3
分子量:429.62
结构式:

包装:棕色安瓿瓶。
装量:约20mg/支。
储存条件:冷处(2-10℃)保存。
熊去氧胆酸标准品批发关键词:Ursodeoxycholic acid,熊去氧胆酸,128-13-2
我公司是一家生物高新技术企业,主要从事免疫学、分子生物学和常规生化试剂的研发、销*(代"售")。并代理销*(代"售")Omega、Sigma、R&D、GBD、ATCC、HYCLONE等二十多家国外知名品牌,致力于为广大高校、科研院所和企事业单位提供一流的科研试剂和完善的技术服务,满足生物化学、分子生物学 、熊去氧胆酸、细胞生物学、免疫学 ELISA试剂盒等生物科技实验需求。
ARB11294 人*腔蛋白(CALU)Elisa分析 Human calumenin,calu ELISA KIT
BL0776 Matrigel(基底胶)
ARB11731 人富含半胱*酸蛋白61(Cyr61)ELISA检测服务 cyr61 cysteine-rich protein 61 ELISA KIT
ARB14007 鹿胰岛素样生长因子结合蛋白3(IGFBP-3)含量分析 Deer insulin-like growth factor binding protein 3,igfbp-3 ELISA KIT
BTN70906 NTP溶液,10mM NTP Solution,10 mM
ARB12705 大鼠糖原磷酸化酶同工酶MM(GP-MM)elisa测定使用说明书 Rat glycogen phosphorylase mm,gp-mm ELISA KIT
BL0635 SP-琼脂糖凝胶FF SP Sepharose FF
HC0327 芬兰Thermo
HC0328 单道雷勃彩色移液器(全彩)
ARB12885 小鼠叶酸(FA)Elisa方法检测 Mouse folic acid,fa ELISA KIT
BL0908 FITC标记兔抗狗IgG抗体
BL0921 RBITC标记羊抗人C3抗体
二聚对二甲* Brilliant Yellow 1633-22-3
PY02-157 *甲*(代"酚")紫葡萄糖肉汤 250克
ARB12501 大鼠诱导型NO合酶(INOS)血清中含量检测 Rat inducible nitric oxide synthase ELISA KIT
37348-90-4 两性电解质3-10
ARB12775 小鼠SlIt2 elisa测定使用说明书 Mouse slit2 ELISA KIT
SJ0408 L-NAME N-硝基-L-精*酸甲酯
PY08-018 沙堡氏琼脂平板 9CM 10皿/盒,用于霉菌和酵母菌的培养
熊去氧胆酸标准品批发关键词:Ursodeoxycholic acid,熊去氧胆酸,128-13-2
我公司是一家专业经营生化试剂、仪器、熊去氧胆酸、实验室耗材的公司,代理许多国际先进水平的高科技产品,包括分子生物学、细胞生物学、免疫学等多个研究及应用领域。我们努力将欧美专业生产厂家的具有国际先进水平的产品推荐给各类研究人员;另一方面也非常重视自主产品研究和开发,推出了一系列具有竞争力的产品和服务。同时国家对于生物行业的发展给予了极大的重视,更多地侧重于科研的投入。
N-乙酰-L-亮*酸 5-HT 1188-21-2
PL1401 大型/大量质粒提取试剂盒(溶液型,转染级)
64485-93-4 噻孢霉素 Cefotaxime,Sodium Salt
2-脱氧-D-葡萄糖 Boc-L-aspartic acid 4-benzyl ester 154-17-6
ARB13908 猪血管细胞粘附分子-1(VCAM-1)elisa检测说明书 Porcine vascuolar cell adhesion molecule 1,vcam-1 ELISA KIT
ARB10882 人抗浦肯野细胞抗体/抗Yo抗体(PCA-1/Yo)ELISA检测服务 Human purkinje cell autoantibody,pca-1/yo ELISA KIT
Taq plus酶 Tryptamine
L0201 小鼠IgA类单克隆抗体腹水纯化试剂盒
鞣花酸 Fluorescein 476-66-4
PY04-089 头孢菌素* 2mg/支×10支 每支添加于100ml Bolton肉汤基础中,用于弯曲杆菌的增菌培养
ARB14227 鸡新城疫病毒抗体(NDV-Ab)免费代测
9007-34-5 胶原蛋白Ⅱ型 Collagen TypeⅡ
BL0939 生物素化羊抗人C3抗体
ARB10869 人抗核膜糖蛋白210抗体(gp210)代做ELISA实验 Human anti-glucoprotein 210,gp210 ELISA KIT
9001-42-7 α-葡萄糖苷酶 α-Glucosidase
琼脂粉 Sodium 1-butanesulfonate 9002-18-0
N,N-双(2-羟yi基)-2-*基乙磺酸*盐 N-Acetyl-L-Leucine 66992-27-6
PY01-001-1 蛋白胨(发酵级) 1公斤
BTN100815 溶菌酶溶液 Lysozyme Solution
BTN130433 磁珠动物DNAOUT MAG Animal DNAOUT
我公司是集科研和生产为一体的专业化生物工程公司。特别是ELISA研发,代测,技术服务这一产品已使百奥莱博成为中国知名公司。 公司产品涵盖ELISA研发、细胞培养,各种生化试剂、各种酶类、分子生物学试剂盒、熊去氧胆酸、培养基等。我们进一步加强人才经营、产品经营,不断提升企业的核心竟争力,实现具有高科技产业体系、知识化创业团队的国际化的公司,服务于生命科学领域,迎接世界经济一体化所带来的机遇与挑战。
我公司正在火爆促销标准品对照品系列产品,欢迎您的垂询选购熊去氧胆酸标准品批发。
风险提示:丁香通仅作为第三方平台,为商家信息发布提供平台空间。用户咨询产品时请注意保护个人信息及财产安全,合理判断,谨慎选购商品,商家和用户对交易行为负责。对于医疗器械类产品,请先查证核实企业经营资质和医疗器械产品注册证情况。
文献和实验,制备样品过程所需时间短,检测速度快,5 分钟即可完成对真菌毒素的定量测定,这也是其他方法无可比拟的,此系统拥有业内最齐全、最完整的霉菌毒素检测项目。此外,本法率先推出霉菌毒素水提取技术(WET),无需使用有机溶剂和霉菌毒素标准品,减少了实验对工作人员健康的伤害。最重要的一点是此法检测结果与国标方法具有较高的一致性。该方法为国家粮食局粮油检测行业标准 LS/T 6111-2015《粮油检验 粮食中黄曲霉毒素 B1 测定 胶体金快速定量法》、LS/T 6112-2015《粮油检验 粮食中
技术资料暂无技术资料 索取技术资料










