万千商家帮你免费找货
0 人在求购买到急需产品
- 详细信息
- 文献和实验
- 技术资料
- 库存:
256
- 英文名:
L-Thyroxine
- CAS号:
51-48-9
- 保质期:
长期
- 供应商:
北京百奥莱博科技有限公司
- 保存条件:
密闭避光-20℃
特别声明:本产品及我公司所售其他产品均为科研类试剂产品,严禁用于药物、医疗及其他非科研用途。
百奥莱博公司致力于为全国科研单位提供药典标准品、对照品、标准溶液、标准样品、对照培养基、国家标准品等可靠标准物质,其中左甲状腺素标准品大量库存促销的品质过硬,在广大科研人员中有口皆碑!
名称:左甲状腺素标准品大量库存促销
英文名:L-Thyroxine
产地:国产|进口
规格:50mg/支
本品为左甲状腺素化学对照品,供HPLC法鉴别和含量测定用。以C15H11I4NO4计,含量为99.2%,使用前不需干燥处理。
CAS号:51-48-9
分子式:C15H11I4NO4
分子量:776.87
包装:棕色西林瓶
规格:约50毫克/支
储存条件:密闭避光-20℃下保存
除左甲状腺素标准品大量库存促销外,我公司正在打折促销以下产品:
ARB12807 小鼠γ*基丁酸(GABA)elisa检测说明书 Mouse gamma-aminobutyric acid,gaba ELISA KIT
ARB12208 大鼠过氧化物酶体增殖物激活受体α(PPAR-α)检测服务 Rat peroxisome prolifeRators activator receptors alpha,ppar-α ELISA KIT
ARB10731 人红细胞膜蛋白(EMP)含量测试 Human erythrocyte membrane protein,emp ELISA KIT
ARB14181 人对氧磷酶1(PON1)免费代测
BTN120411 T4 DNA聚合酶 T4 DNA Polymerase
SJ0698 低分子量蛋白Marker Ⅰ (14.4-97.4kD)
133-32-4 Indole-3-butyricacid(IBA)吲哚-3-丁酸(水溶)
BTN131045 辛甲基硫吡喃葡萄糖苷 OTG
PY04-014 肝浸液(猪) 100ml/瓶 根据要求适量添加,用于配制培养较难生长的微生物培养
茜素红S染色液 0.1%|0.2% 100ml
ARB13460 鸡血小板因子4(PF-4/CXCL4)尿液中含量检测 Chicken platelet factor 4,pf-4 ELISA KIT
尿蛋白定性检测试剂盒(乙酸法) 100T
5-腺苷三磷酸二*盐 TRF 987-65-5
衣霉素 4-Dimethylaminobenzal rhodanine 11089-65-9
CYB165031 生物素化人IgG
罗丹明123溶液 0.5mg/ml 100ul
盐*(代"酸")二甲双胍 4-Nitroacetanilide 1115-70-4
ARB12991 小鼠抗内皮细胞抗体(AECA)酶标法分析 Mouse anti-endothelial cell antibody,aeca ELISA KIT
9001-75-6 Pepsin 1:3000 胃蛋白酶 1:3000
辅酶Q10 Disodiu*(代"m") beta-glycerol phosphate pentahydrate 303-98-0
PY02-104 真菌培养基 250克
ARB13467 鸡免疫核糖核酸(IrnA)血清中含量检测 Chicken immune rna,irna ELISA KIT
左甲状腺素标准品大量库存促销关键词:L-Thyroxine,51-48-9,左甲状腺素
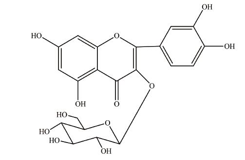
·异槲皮苷
编号:BP1378
英文名称:Isoquercitrin
规格:20mg
本品为异槲皮苷化学对照品,供薄层鉴别及含量测定用,含量以92.9%计。
CAS号:21637-25-2
分子式:C21H20O12
分子量:464.38
结构式:

包装及装量:棕色安瓿瓶,约20mg/支
储存条件:室温保存。
注意事项:使用前无需处理。
·阿嗪米特
编号:BP0730
英文名称:Azintamide
规格:100mg
本品为阿嗪米特化学对照品,供含量测定用,按C10H14ClN3OS计,供UV法测定,含量为100.0%。
分子式:C10H14ClN3OS
分子量:259.76
包装及装量:棕色小瓶装,每支约100毫克。
储存条件:遮光,密封保存。
注意事项:使用前60℃减压干燥3小时。
·阿托酸6β-羟基-3α-托品酯(消旋山莨菪碱杂质Ⅰ)
编号:BP0822
英文名称:6-hydroxy-8-methyl-8-aza-bicyclo(3.2.1)octan-3-y1 2-phenylacrylate
规格:20mg/支
本品为阿托酸6β-羟基-3α-托品酯(消旋山莨菪碱杂质Ⅰ)化学对照品,供HPLC法系统适用性试验用,使用前不需干燥处理。
CAS号:109496-01-7
分子式:C17H21NO3
分子量:287.36
结构式:

包装:棕色西林瓶。
规格:约20mg/支
储存条件:遮光,密封,阴凉处保存。
·二甲基亚砜
编号:BP2050
英文名称:Dimethyl Sulfoxide
规格:1ml/瓶
本品为二甲基亚砜化学对照品,供二甲基亚砜红外鉴别用,使用前无需干燥处理。
CAS号:608-66-2
分子式:C2H6SO
分子量:78.13
包装:棕色西林瓶
规格:约1ml/瓶
储存条件:遮光、常温保存。
左甲状腺素标准品大量库存促销关键词:L-Thyroxine,51-48-9,左甲状腺素
左甲状腺素现货供应,凡在我公司购买该产品均可享受免费的技术咨询服务,年中降价>>低价格促销:elisa试剂盒,Amrecso原装试剂、抗体、等相关试剂,产品品种齐全,价格优惠。产品质量,服务质量均是一流,您尽可放心购买!
BCIP/NBT即用型显色试剂盒 100ml
BTN130862 DAPI干粉 DAPI Powder
ARB10794 人抗风疹病毒IgM抗体(Anti-RV IgM)含量测试 Human anti-rubella virus igM antibody,anti-rv igM ELISA KIT
PA饱和水溶液(1.22%) 100ml|500ml
ARB11333 人胎球蛋白A(FETU-A)含量检测 Human fetuin a,fetu-a ELISA KIT
B1001 驴血清(辐照灭菌)
BTN100878 Western印迹膜封膜液 Western Blot Blocking Buffer
BTN81215 一站式Western印迹套装(显色法) One-Stop Western Blotting Pack
PY08-019 TTC-沙堡氏琼脂平板 9CM 10皿/盒,用于霉菌和酵母菌的培养
D-缬*酸 Molecular sieves type 13X 640-68-6
ARB12024 大鼠β干扰素(IFN-β/IFNB)elisa检测说明书 Rat interferon β,ifn-β/ifnb ELISA KIT
肝素*检测试剂盒(天青A微板法) 100T
25988-63-0 Poly-L-Lysine多聚-L-赖*酸(3-7万)
植酸*盐水合物 Acridone 123408-98-0
ARB13736 兔胸腺细胞球蛋白(ATG)检测服务
RN1701 Acryl Carrier 核酸助沉剂
BL1074 超低分子量标准蛋白质
ARB12896 小鼠生长激素释放多肽(GHRP)代做ELISA实验 Mouse growth hormone releasing Peptide,ghrp ELISA KIT
乙酰螺旋霉素 Cytosine 24916-51-6
我公司倾力为客户提供最优 、最全、最有效的左甲状腺素等科研试剂产品,质量被全国各大院校科研机构认可。 同时,我们售前,售中,售后全程为您服务。欢迎来电咨询!
本公司免费技术支持,由专业的技术人员和销*(代"售")人员为科研用户提供全面的技术支持和完善的售前、售中、售后服务。百奥莱博暑期大促,凡够买我司各种生物试剂、抗体、ELISA试剂盒、抗原、血清、血浆、左甲状腺素、脱纤维血、抗凝血、裂解血、分子生物学试剂、培养基等优质试剂,均可享受超低会员价,各种高品质科研试剂及各种规格包装均可定制,如有需要请联*(代"系")我们。
北京百莱博科技有限公司专业生产供应销*(代"售")生物试剂、化学试剂、抗原抗体、血清血浆、Elisa试剂盒,更多试剂产品需求,欢迎来电咨询选购左甲状腺素标准品大量库存促销。
风险提示:丁香通仅作为第三方平台,为商家信息发布提供平台空间。用户咨询产品时请注意保护个人信息及财产安全,合理判断,谨慎选购商品,商家和用户对交易行为负责。对于医疗器械类产品,请先查证核实企业经营资质和医疗器械产品注册证情况。
文献和实验我最近在网上看到有公司在ELISA试剂盒的促销,好划算啊 我想把这个好消息,好资源与大家分享 几年来,博士德的ELISA试剂盒以优良的品质、卓越的性价比和良好的售后服务受到广大科研工作者的青睐。更因其品种齐全、操作简单、检测时间短、所需样品少而成为细胞因子检测的经典产品。公司生产的近270多种 ELISA 试剂盒,涉及分子生物学、分子免疫学、细胞生物学等生命科学研究的各个领域。公司总部位于武汉,代理商经销商遍及全国各地,形成了覆盖全国的有效服务网络,训练有素的专业人员能为客户提供技术
技术资料暂无技术资料 索取技术资料










