相关产品推荐更多 >
万千商家帮你免费找货
0 人在求购买到急需产品
- 详细信息
- 询价记录
- 文献和实验
- 技术资料
- 保存条件:
冷藏
- 保质期:
长期
- 英文名:
DAPI dihydrochloride
- 库存:
615
- 供应商:
北京百奥莱博科技有限公司
- 规格:
10mg
特别声明:本产品及我公司所售其他产品均为科研类试剂产品,严禁用于药物、医疗及其他非科研用途。
DAPI双链DNA染料 细胞凋亡与增殖由专业试剂供应商北京百奥莱博提供,用于科研目的生化试验项目,本产品质量好,且极具价格优势,深为用户称道,了解更多DAPI双链DNA染料等细胞凋亡与增殖产品请联系我司咨询订购。
名称:DAPI双链DNA染料 细胞凋亡与增殖
规格:10mg
产地:国产|进口
编号:SY0495
品牌:百奥莱博
英文名:DAPI dihydrochloride
DAPI,也称DAPI dihydrochloride,是一种可以穿透细胞膜的蓝色荧光染料,和双链DNA结合后可以产生比DAPI自身强20多倍的荧光。和EB(ethidium bromide)相比,对双链DNA的染色灵敏度要高很多倍。因为DAPI是含有特定AT序列DNA的一种嵌入剂,它能像Hoechst染料一样粘附在DNA双螺旋的小沟区。尽管DAPI不能通过活细胞膜,但却能穿透扰乱的细胞膜而对核染色。DAPI具有很高的光漂白承受水平,能用来检测酵母线粒体DNA,叶绿体DNA,病毒DNA,microplasm DNA以及染色体DNA。DAPI-DNA复合物的激发和发射波长分别为360nm和460nm。
DAPI染色常用于细胞凋亡检测,染色后用荧光显微镜观察或流式细胞仪检测。DAPI也常用于普通的细胞核染色以及某些特定情况下的双链DNA染色。推荐工作浓度为0.5-10μg/ml。
CAS:28718-90-3
分子式:C16H17Cl2N5
分子量:350.25
纯度:>90% (from N)
注意事项
1)DAPI对人体有一定刺激性,请注意适当防护。
2)荧光染料都存在淬灭的问题,建议染色后尽量当天完成检测。
3)为减缓荧光淬灭可以使用抗荧光淬灭封片液。
4)为了您的安全和健康,请穿实验服并戴一次性手套操作。
更多有关DAPI双链DNA染料 细胞凋亡与增殖的价格及使用说明等,请联系我们的业务经理王欣女士咨询,我公司还销售以下产品:
·多聚L-赖氨酸(分子量15万~30万)
编号:SY0461
英文名称:Poly-L-lysine, Mw 150,000-300,000
规格:25mg
本品为多聚-L-赖氨酸(Poly-L-lysine),分子量为150,000-300,000,适用于细胞培养。另外,以氢溴酸(HBr)的形式提供,约1个赖氨酸残基结合1分子的氢溴酸,使其以稳定的结晶固体形式提供,并具有更强的水溶性。用作细胞培养基质,推荐使用量为:对于25cm2的培养板需要0.1mg/ml的聚赖氨酸溶液约0.5ml-1.0ml。
多聚赖氨酸(poly-lysine)是一种带正电荷的氨基酸聚合物,能够结合于DNA,红细胞膜或任何带负电荷蛋白,是一种非特异性的细胞粘附因子,促进细胞吸附到固相基质上。作用机理在于其可增强细胞膜表面的负电荷离子和固相基质表面(如细胞培养皿,载玻片等)的静电相互作用。当吸附到培养表面后,多聚赖氨酸提高用于细胞结合的阳离子结合位点数。多聚赖氨酸分子量的大小与粘度相关,即分子量较低,粘度较低;分子量较高,粘度较高,提供的粘附位点也较多。分子量>30,000的聚赖氨酸适用于促进细胞粘附到固体基质。
多聚赖氨酸(poly-lysine)有两种常见亚型,D-和L-型。由于多聚赖氨酸是细胞结合的非特异性粘附因子,因此两种亚型都可用作包被固体基质,在细胞培养中都可促进细胞的贴壁生长。
中文别名:多聚赖氨酸溶液(L型)
英文别名:Poly-L-lysine Solution; PLL; Poly-L-lysine hydrobromide Solution
CAS:25988-63-0
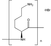
分子式:L-Lys-(L-Lys)n-L-Lys·xHBr
分子量:150,000-300,000
外观:白色至类白色粉末
溶解性:溶于水(50mg/ml)
储存条件:-20℃干燥,有效期4年
结构式

注意事项
1)注意在细胞培养相关应用中,某些细胞会消化多聚 L-赖氨酸并吸收,摄入过多的多聚 L-赖氨酸会产生一定的细胞毒性。因此,遇到这种情况需选用多聚 D-赖氨酸(Poly-D-lysine),如多聚D-赖氨酸(5 mg/ml),分子量:150,000-300,000,细胞培养级,货号:SY0464。
2)将若想去除本品中的HBr,可将本品溶于中性缓冲液,可透析除去盐离子。
3)为了您的安全和健康,请穿实验服并戴一次性手套操作。
DAPI双链DNA染料 细胞凋亡与增殖关键词:DAPI dihydrochloride,28718-90-3,DAPI双链DNA染料
·免疫染色用一抗稀释液
编号:SY0776
英文名称:Primary Antibody Diluent for Imunostaining
规格:100ml
本产品可用于免疫染色时一抗工作液的稀释和配制,制备的一抗工作液可于4℃保存和使用至少6个月,且可反复多次使用,不仅节约了宝贵的抗体,又能节省时间,简化操作。
配制好的一抗工作液可直接用于相关免疫实验,如免疫细胞化学(ICC)或免疫组化实验(IHC)。
使用方法
根据一抗的使用说明书用本稀释液进行一定倍数的稀释,需同时考虑到目的抗原的表达量。一抗稀释后可直接用于免疫染色,染色结束后可回收稀释的一抗,4℃保存。【注意】为了提高抗体反复使用次数,建议在4℃进行一抗孵育。
注意事项
1)本一抗稀释液含有叠氮钠,因其会抑制过氧化物酶(HRP)活性,请不要用其对过HRP标记的一抗进行稀释。
2)为了您的安全和健康,请穿实验服并戴一次性手套操作。
储存条件:4℃,有效期一年。
·硫酸链霉素
编号:SY0530
英文名称:Streptomycin Sulfate
规格:100g
硫酸链霉素为一种氨基糖苷类抗生素,作用于革兰氏阳性细菌和革兰氏阴性细菌。主要与细菌核糖体30S亚单位结合,抑制细菌蛋白质的合成。
英文名称:Streptomycin Sulfate
CAS No:3810-74-0
分子量:1457.38
分子式:(C21H39N7O12)2·3H2SO4
级别:USP
溶解性:溶于水(50 mg/ml),使用时需过滤除菌
储存条件:2-8℃
DAPI双链DNA染料 细胞凋亡与增殖关键词:DAPI dihydrochloride,28718-90-3,DAPI双链DNA染料
1,3-二苯脲 2-Deoxy-D-glucose 102-07-8
PY08-053 Baird-Parker琼脂 9CM 10皿/盒,用于分离金黄色葡萄球菌
ARB11783 人溶血补体(Hc)elisa检测 Human hemolytic complement,hc ELISA KIT
有机硅消泡剂 Z-D-Phenylalaninol
003004 牛血浆 100ml|500ml
ARB12265 大鼠肌酸激酶同工酶MB(CK-MB)Elisa方法检测 Rat creatine kinase mb isoenzyme,ck-mb ELISA KIT
二乙酸萤光素 L-Cysteine 596-09-8
ARB10641 人血管内皮细胞生长因子C(VEGF-C)代做ELISA实验 Human vascular endothelial cell growth factor c,vegf-c ELISA KIT
PY01-103 麦芽糖 250克
ARB11823 人精氨酸酶(Arg)血清中含量检测 Human arginase,arg ELISA KIT
ARB14270 猪免疫球蛋白G(IgG)Elisa定量检测
CYB163025 羊抗人白蛋白-RBITC
71-44-3 Spermine 精胺
BTN111009 端粒酶重复片段扩增试剂盒 TRAP Kit
北京百莱博科技有限公司专业生产供应销售生物试剂、化学试剂、抗原抗体、血清血浆、Elisa试剂盒,更多试剂产品需求,欢迎来电咨询选购DAPI双链DNA染料 细胞凋亡与增殖。
风险提示:丁香通仅作为第三方平台,为商家信息发布提供平台空间。用户咨询产品时请注意保护个人信息及财产安全,合理判断,谨慎选购商品,商家和用户对交易行为负责。对于医疗器械类产品,请先查证核实企业经营资质和医疗器械产品注册证情况。
- 作者
- 内容
- 询问日期
文献和实验(Hoechst 33342),HO 33258 (Hoechst 33258), DAPI。三种种染料与DNA的结合是非嵌入式的,主要结合在DNA的A-T碱基区。紫外光激发时发射明亮的蓝色荧光。 Hoechst是与DNA特异结合的活性染料,储存液用蒸馏水配成1mg/ml的浓度,使用时用PBS稀释,终浓度为10 ug/ml。 DAPI为半通透性,用于常规固定细胞的染色。储存液用蒸馏水配成1mg/ml的浓度,使用终浓度一般为10 ug/ml。 结果评判:细胞凋亡过程中细胞核染色质的形态学改变分为三期
萨染色、瑞氏染色等。凋亡细胞的染色质浓缩、边缘化,核膜裂解、染色质分割成块状和凋亡小体等典型的凋亡形态。 2. 荧光显微镜和共聚焦激光扫描显微镜 一般以细胞核染色质的形态学改变为指标来评判细胞凋亡的进展情况。常用的DNA特异性染料有:HO 33342 (Hoechst 33342),HO 33258 (Hoechst 33258), DAPI。三种染料与 DNA的结合是非嵌入式的,主要结合在DNA的A-T碱基区。紫外光激发时发射明亮的蓝色荧光。Hoechst是与DNA特异结合的活性染料
imnini 各位专家,有谁能比较详细的讲解一下影响细胞增殖和迁移的细胞内信号通路? dream82 STAT3介导的信号通路对细胞增殖和迁移都有重要的意义。当然还有很多通路调节细胞增殖和迁移。我主要做STAT3 signaling,所以比较了解。stat3为正常细胞增殖所必须,STAT3敲除的老鼠是胚胎致死的。而绝大多数肿瘤细胞中STAT3都是持续激活的,持续激活的STAt3转录激活下游许多与增殖有关的target gene
技术资料暂无技术资料 索取技术资料









