相关产品推荐更多 >
万千商家帮你免费找货
0 人在求购买到急需产品
- 详细信息
- 文献和实验
- 技术资料
- 保存条件:
低温保存
- 库存:
大量
- 供应商:
上海晶抗生物工程有限公司
- CAS号:
113443-70-2
- 规格:
20mg
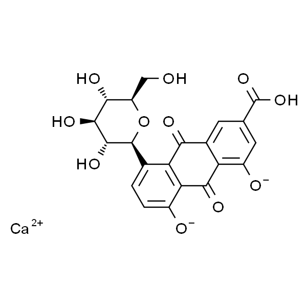
英文名称: Rhein-8-Glucoside
英文别名: 2-Anthroic acid, 9,10-dihydro-9,10-dioxo-5-beta-D-glucopyranosyloxy-4-hydroxy-, calcium salt; 5-beta-D-Glucopyranosyloxy-9,10-dihydro-4-hydroxy-9,10-dioxo-2-anthroic acid calcium salt; 8-Glucosylrhein; Glucorein; Glucorhein; Rhein-8-glucoside calcium salt; calcium (1S)-1,5-anhydro-1-(7-carboxylato-5-hydroxy-4-oxido-9,10-dioxo-9,10-dihydroanthracen-1-yl)-D-glucitol
CAS号: 113443-70-2
分子式: C21H16CaO11
分子量: 484.4231
InChI: InChI=1/C21H18O11.Ca/c22-5-11-16(26)18(28)19(29)20(32-11)7-1-2-9(23)14-13(7)15(25)8-3-6(21(30)31)4-10(24)12(8)17(14)27;/h1-4,11,16,18-20,22-24,26,28-29H,5H2,(H,30,31);/q;+2/p-2/t11-,16-,18+,19-,20+;/m1./s1
购买【大黄酸-8-O-β-D-葡萄糖苷 HPLC≥98%】,如有任何疑问欢迎您随时联系我公司业务员,另外,近期大黄酸-8-O-β-D-葡萄糖苷 HPLC≥98%公司展开了一项回馈客户的大型促销活动,优惠无限。
风险提示:丁香通仅作为第三方平台,为商家信息发布提供平台空间。用户咨询产品时请注意保护个人信息及财产安全,合理判断,谨慎选购商品,商家和用户对交易行为负责。对于医疗器械类产品,请先查证核实企业经营资质和医疗器械产品注册证情况。
文献和实验大鼠 N- 乙酰 - β -D- 氨基葡萄糖苷酶( NAG ) 酶联免疫分析 试剂盒使用说明书 本试剂仅供研究使用 目的:本试剂盒用于测定大鼠血清,血浆及相关液体样本中N- 乙酰- β-D- 氨基葡萄糖苷酶(NAG ) 的 含量。 实验原理: 本试剂盒应用双抗体夹心法测定标本中 大鼠 N- 乙酰 - β -D- 氨基葡萄糖苷酶( NAG ) 水平。用纯化的 大鼠 N- 乙酰 - β -D
邻硝基苯-β-吡喃半乳糖苷 O-nitrophenyl-β-D-galactopyranoside
缩写为 ONPG。是广泛利用于β -半乳糖苷酶活力测定的底物。水解后可游离出邻硝基酚,由于邻硝基酚在碱性条件下呈黄色( 420毫微米光吸收),所以容易进行比色定量。另外利用这种性质,还可用于分离各种代谢调节突变株。
指 2分子 D-葡萄糖α -1, 4成键的二糖。按化学系统命名法称为 4-O-α -D-葡萄吡喃糖基 -( 1→ 4) -α -D-葡萄吡喃糖。由于用麦芽或从麦芽抽提出的糖化酶(淀粉酶)作用于淀粉溶液生成的化合物,所以产生这一名称。作为天然的淀粉的代谢产物,并不象蔗糖那样最初是由生物细胞合成利用的二糖物质。具有比蔗糖甜度低的良好甜味,发酵性能也佳,所以以淀粉为原料的制造麦芽糖的工业很早以来就很发达。可被α -葡萄糖苷酶分解成 D-葡萄糖,因此动物
技术资料暂无技术资料 索取技术资料










