相关产品推荐更多 >
万千商家帮你免费找货
0 人在求购买到急需产品
- 详细信息
- 文献和实验
- 技术资料
- 保存条件:
4℃
- 保质期:
3年
- 英文名:
Pepstatin
- 库存:
531
- 供应商:
北京百奥莱博科技有限公司
- 规格:
5mg
特别声明:本产品及我公司所售其他产品均为科研类试剂产品,严禁用于药物、医疗及其他非科研用途。
北京百奥莱博专业生产销售北京胃蛋白酶抑制剂多少钱,我公司供应的分子生物学试剂品类齐全,且具有优势价格,欢迎新老客户垂询订购。
北京百奥莱博科技有限公司专业生产供应北京胃蛋白酶抑制剂多少钱,产品信息:
类别:蛋白质研究
英文名:Pepstatin
| 产品名 | CAS号 | 包装规格 |
| 胃蛋白酶抑制剂 | 26305-03-3 | 5mg |
产地:国产|进口
CAS:26305-03-3
品牌:百奥莱博
规格:5mg
英文名:Pepstatin
Pepstatin,一种高度选择性酸性蛋白酶抑制剂,可与多种酸性蛋白酶(如胃蛋白酶、高血压蛋白原酶、组织蛋白酶、凝乳酶以及蛋白酶B 等)按照1:1的比例结合从而抑制其活性。Pepatatin还可抑制γ-分泌酶和逆转录酶,但不会抑制巯基蛋白酶、中性蛋白酶、丝氨酸蛋白酶等。
本品常作为一种组分与其他功能蛋白酶抑制剂共同使用,如蛋白酶抑制剂Cocktail(Yeasen Cat# 20123)。常见各种功能蛋白酶系列储存液浓度为:1)bestatin:1.7 mM,选择性抑制氨肽酶;2)E-64:0.22mM,选择性抑制半胱氨酸蛋白酶;3)Pepstatin A :2.5mM,选择性抑制天冬氨酰蛋白酶;4)AEBSF:18 mM,选择性抑制丝氨酸蛋白酶;5)disodium EDTA:86 mM,选择性抑制金属蛋白酶。
在配制本品储存液时,其浓度必须满足所用有机试剂用于工作液时至少做1000倍稀释,如可配制1-2.5mM的储存液。本品有效工作液浓度1µM,典型工作浓度范围0.5-1.0µg/ml。
英文别名:pepstatin A
CAS:26305-03-3
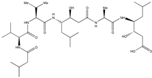
分子式:C34H63N5O9
分子量:685.9
外观:白色粉末
熔点:220-240℃
纯度:≥75%
溶解性:溶于乙醇、甲醇、DMSO,不溶于水
序列:Isoval-Val-Val-Sta-Ala-Sta
储存条件:4℃,有效期3年
结构式:

北京胃蛋白酶抑制剂多少钱专业优质供应商:北京百奥莱博科技有限公司
关键词:胃蛋白酶抑制剂,pepstatin A,26305-03-3
我公司是一家集研发、销售、实验室技术服务于一体的高科技企业。 多年来一直处于行业前沿。我们专业经营培养基、生化试剂、胃蛋白酶抑制剂、进口ELISA试剂盒、化工产品、实验室消耗品、实验室耗材以及实验室器材。产品涉及分子生物学、细胞生物学、细菌学、遗传学、免疫学、生物化学、蛋白质学、细胞治疗等领域。
欲了解更多北京胃蛋白酶抑制剂多少钱的品牌、产地、价格及说明书等产品信息,请致电北京百奥莱博科技有限公司,我们将竭诚为您服务,另外,以下产品正在火爆促销:
| 编号 | 类别 | 名称 |
| SY0175 | 报告基因检测 | GRE-GFP报告基因质粒 |
| SY0274 | RNA纯化 | 快速核酸银染试剂盒 |
| SY0504 | 细胞凋亡与增殖 | 5-溴脱氧尿嘧啶核苷 |
| SY0478 | 细胞凋亡与增殖 | AnnexinV-APC/7-AAD细胞凋亡检测试剂盒 |
| SY0067 | 报告基因检测 | RBP-JK萤火虫荧光素酶报告基因质粒 |
| SY0581 | 探针标记及检测 | 细胞衰老β-半乳糖苷酶染色试剂盒 |
| SY0031 | 核酸扩增(PCR) | 2×Long PCR Master Mix(含染料) |
| SY0044 | 核酸扩增(PCR) | 脱氧鸟苷三磷酸溶液(100 mM)(dGTP) |
| SY0143 | 报告基因检测 | YY1 Luc荧光素酶报告基因质粒 |
| SY0308 | 蛋白质研究 | 曲拉通X-100(分子生物学级) |
| SY0777 | 免疫检测 | 免疫染色用二抗稀释液 |
| SY0239 | 报告基因检测 | 腔肠素hcp |
| SY0726 | 二抗 | Alexa Fluor 488标记驴抗兔IgG(H+L) |
| SY0475 | 细胞凋亡与增殖 | TUNEL细胞凋亡检测试剂盒(FITC) |
| SY0179 | 报告基因检测 | FOXO-GFP报告基因质粒 |
| SY0043 | 核酸扩增(PCR) | 脱氧胸苷三磷酸溶液(100 mM)(dTTP) |
| SY0778 | 免疫检测 | 免疫染色用一抗二抗稀释液 |
| SY0552 | 探针标记及检测 | Hoechst 33342 |
| SY0443 | 蛋白质研究 | 人源高密度脂蛋白 |
| SY0280 | 克隆与表达 | 多片段一步法(快速/无缝)克隆试剂盒 |
| SY0207 | 报告基因检测 | ATF1-GF报告基因质粒 |
| SY0072 | 报告基因检测 | MTF1-Luc荧光素酶报告基因质粒 |
| SY0605 | 其他细胞生物学试剂 | 聚凝胺 |
| SY0652 | 一抗 | 小鼠抗HA-Tag单克隆抗体 |
| SY0220 | 报告基因检测 | MEF1-GFP报告基因质粒 |
我公司正在火爆促销蛋白质研究系列产品,欢迎您的垂询选购北京胃蛋白酶抑制剂多少钱。
风险提示:丁香通仅作为第三方平台,为商家信息发布提供平台空间。用户咨询产品时请注意保护个人信息及财产安全,合理判断,谨慎选购商品,商家和用户对交易行为负责。对于医疗器械类产品,请先查证核实企业经营资质和医疗器械产品注册证情况。
文献和实验,直到全部溶解,用 HCl 调节 PH 值到 7.4; 2.加 10 ml 10% 的 NP-40; 3.加 2.5 ml 10% 的去氧胆酸钠,搅拌,直到溶液澄清; 4.加 1 ml 100 mM 的 EDTA,用量筒定容到 100 ml,2~8 ℃ 保存; 5.理论上,蛋白酶和磷酸酯酶抑制剂应该在使用当天同时加入(抑蛋白酶肽,亮抑酶肽, 胃蛋白酶抑制剂各 100 μl;PMSF,Na3VO4,NaF 各 500 μl),但是 PMSF 在水溶液中很不稳定,30 分钟就会降解一半,所以 PMSF 应该
胃蛋白酶抑制剂(pepstantin) l)抑制酸性蛋白酶如胃蛋白酶,血管紧张肽原酶,组织蛋白酶D和凝乳酶; 2)1mg/ml溶于甲醇中; 3}储存液在4℃一周内稳定,-20℃稳定6个月; 4)1作浓度:0.7ug/ml(1umol/L) 5)在水中不溶解。 亮抑蛋白酶肽(leupeptin) 1)抑制丝氨酸和巯基蛋白酶,如木瓜蛋白酶,血浆酶和组织蛋白酶B; 2)lOmg/ml溶于水; 3)储存液4℃稳定一周,-20℃稳定6个月; 4)工作浓度0.5mg
它作甚? 小pig 厄,读的时候不知道,当时只想做临床型就不用搞什么科研,谁知道后来安排到了科研型。再说老板怎么说也是个科室主任,我也料不到课题都没有。。。唉,悲剧的我。。。。 北京rnai 看你课题的选择,不过做一个RNAi实验真的没有1w的话真的很难做下来。 小pig 北京rnai wrote: 看你课题的选择,不过做一个RNAi实验真的没有1w
技术资料暂无技术资料 索取技术资料










