相关产品推荐更多 >
万千商家帮你免费找货
0 人在求购买到急需产品
- 详细信息
- 询价记录
- 文献和实验
- 技术资料
- 库存:
544
- 供应商:
北京百奥莱博科技有限公司
- 英文名:
Poly-L-lysine, Mw 150,000-300,000
- 规格:
25mg
特别声明:本产品及我公司所售其他产品均为科研类试剂产品,严禁用于药物、医疗及其他非科研用途。
北京现货多聚L-赖氨酸(分子量15万~30万)批发由专业试剂供应商北京百奥莱博提供,用于科研目的生化试验项目,本产品质量好,且极具价格优势,深为用户称道,了解更多多聚L-赖氨酸(分子量15万~30万)等蛋白质研究产品请联系我司咨询订购。
名称:北京现货多聚L-赖氨酸(分子量15万~30万)批发
英文名:Poly-L-lysine, Mw 150,000-300,000
CAS:25988-63-0
编号:SY0461
产地:国产|进口
品牌:百奥莱博
本品为多聚-L-赖氨酸(Poly-L-lysine),分子量为150,000-300,000,适用于细胞培养。另外,以氢溴酸(HBr)的形式提供,约1个赖氨酸残基结合1分子的氢溴酸,使其以稳定的结晶固体形式提供,并具有更强的水溶性。用作细胞培养基质,推荐使用量为:对于25cm2的培养板需要0.1mg/ml的聚赖氨酸溶液约0.5ml-1.0ml。
多聚赖氨酸(poly-lysine)是一种带正电荷的氨基酸聚合物,能够结合于DNA,红细胞膜或任何带负电荷蛋白,是一种非特异性的细胞粘附因子,促进细胞吸附到固相基质上。作用机理在于其可增强细胞膜表面的负电荷离子和固相基质表面(如细胞培养皿,载玻片等)的静电相互作用。当吸附到培养表面后,多聚赖氨酸提高用于细胞结合的阳离子结合位点数。多聚赖氨酸分子量的大小与粘度相关,即分子量较低,粘度较低;分子量较高,粘度较高,提供的粘附位点也较多。分子量>30,000的聚赖氨酸适用于促进细胞粘附到固体基质。
多聚赖氨酸(poly-lysine)有两种常见亚型,D-和L-型。由于多聚赖氨酸是细胞结合的非特异性粘附因子,因此两种亚型都可用作包被固体基质,在细胞培养中都可促进细胞的贴壁生长。
中文别名:多聚赖氨酸溶液(L型)
英文别名:Poly-L-lysine Solution; PLL; Poly-L-lysine hydrobromide Solution
CAS:25988-63-0
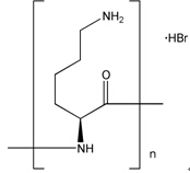
分子式:L-Lys-(L-Lys)n-L-Lys·xHBr
分子量:150,000-300,000
外观:白色至类白色粉末
溶解性:溶于水(50mg/ml)
储存条件:-20℃干燥,有效期4年
结构式

注意事项
1)注意在细胞培养相关应用中,某些细胞会消化多聚 L-赖氨酸并吸收,摄入过多的多聚 L-赖氨酸会产生一定的细胞毒性。因此,遇到这种情况需选用多聚 D-赖氨酸(Poly-D-lysine),如多聚D-赖氨酸(5 mg/ml),分子量:150,000-300,000,细胞培养级,货号:SY0464。
2)将若想去除本品中的HBr,可将本品溶于中性缓冲液,可透析除去盐离子。
3)为了您的安全和健康,请穿实验服并戴一次性手套操作。
想要了解更多关于北京现货多聚L-赖氨酸(分子量15万~30万)批发的价格、品牌、厂家、说明书、促销信息,请和我们联系。此外我公司还销售下面的产品:
KT109 多重PCR扩增试剂盒
F030805 BIOTIN标记山羊抗小鼠IgG抗体 Goat Anti-Mouse IgG*BIOTIN
PY02-003 SS琼脂 250克
阿特拉津 Ceftriaxone sodium 1912-24-9
BL0546 PHA-P 植物血球凝集素P
ARB12253 大鼠血管紧张素Ⅱ转化酶(ACEⅡ)含量分析 Rat angiotensin Ⅱ converting enzyme,aceⅡ ELISA KIT
DN0901 中量/大量组织/细胞基因组DNA提取试剂盒
ARB13900 猪血栓调节蛋白(TM)代做ELISA实验 Porcine thrombomodulin,tm ELISA KIT
HC0089 离心管(连盖)
BTN130585 小鼠抗CBP标签单抗 Anti CBP-Tag Mouse Mab
F030636 FITC标记山羊抗猪IgG抗体 Polyclonal Goat Anti-Pig IgG*FITC
PY02-078 卵黄琼脂培养基基础 250克
J0102 猪抗口蹄疫病毒(FMDV)血清
ARB13414 鸡8羟基脱氧鸟苷(8-OHdG)含量测试 Chicken 8-hydroxy-desoxyguanosine,8-ohdg ELISA KIT
L-高苯丙氨酸乙酯盐酸盐 TBPB 90891-21-7
ARB13258 小鼠嗜酸粒细胞趋化因子(ECF)含量检测 Mouse eosinophil chemotactic factor,ecf ELISA KIT
HC0159 吸头盒
北京现货多聚L-赖氨酸(分子量15万~30万)批发关键词:25988-63-0,多聚L-赖氨酸,分子量15万~30万,多聚赖氨酸溶液(L型)
·小牛肠碱性磷酸酶
编号:SY0388
英文名称:Alkaline Phosphatase (30 U/μl), Calf Intestine (CIAP)
规格:1000U
本品为小牛肠来源的碱性磷酸酶,可以降解几乎所有磷酸单酯,但是该酶不能水解磷酸二酯或磷酸三酯。Alkaline Phosphatase,中文名碱性磷酸酶,可将DNA、RNA的5’端磷酸基团去除,常用于阻止载体的自连作用:在分子克隆实验中,DNA连接酶催化DNA连接时需要有磷酸基团的存在,载体在经酶切后会在切点端保留一个磷酸基团。而载体经碱性磷酸酶去磷酸化后因5’ 端无磷酸基团,因而不可以和自身3’ 端连接。因此连接反应中载体本身会优先发生的连接反应被阻止,提高了目的片段插入率。另外,碱性磷酸酶还可制备用于5’端标记的DNA模板,以及用于该酶蛋白的脱磷酸作用等。
来源:携带小牛肠碱性磷酸酶表达质粒的酵母
质量控制(Quality Control):无核酸外切酶、核酸内切酶、核糖核酸酶污染
热灭活(Thermal Inactivation):在螯合剂存在下,65℃加热30min,99%活性不可逆丧失;使用苯酚,可使酶完全失活。
储存液条件(Storage conditions):10 mM Tris-HCl (pH8.0), 1 mM MgCl2, 50mM KCl, 0.1 mM ZnCl2, 50% glycerol.
活性定义:在pH9.8, 37℃条件下,以对硝基苯酚磷酸盐(p-nitrophenylphosphate)为底物,1分钟生成1µmol硝基酚(p-nitrophenol)所用的碱性磷酸酶量定义为1个活力单位。
最佳pH(Optimal pH):该酶在底物浓度高的情况下其最佳反应pH为10,在底物浓度低时,最佳pH为8,此时该酶活性较高浓度底物时稍低。
优化体系(Optimal Buffer):AP Buffer (500 mM Tris-HCl, pH9.0; 10 mM MgCl2)
储存条件:-20℃
使用方法:
1 DNA去磷酸化
① 在1.5ml离心管中加入下列试剂:
无菌ddH2O————Up to 50µl
DNA 片段*————1-20pmol
Alkaline Phosphatase————1-2µl
10×AP buffer————5µl
【*】:单链DNA或含5’端突出末端的DNA推荐低温下孵育,平末端DNA或含3’突出末端的DNA建议在较高温度下孵育。
② 混匀上述试剂,于37℃或50℃孵育30min。或者37℃孵育15min后,再于50℃孵育15min。
2 酚氯*(代"仿")法抽提DNA
① 苯酚/氯*(代"仿")/异戊醇(25:24:1)抽提2次。
【注】:推荐在酚提取前将其在含5 mM EDTA, 0.5% SDS ,50 μg/ml Proteinase K的溶液中56℃孵育30min以彻底灭活碱性磷酸酶。在酚提取前于75℃孵育10min,灭活效果更佳。
② 氯*(代"仿")/异戊醇(24:1)抽提。
3 乙醇沉淀DNA
① 加入2.5µl 3M NaCl(终浓度150mM).
② 加入125µl(2.5倍体积)预冷乙醇,混匀后于-20℃放置30-60min,沉淀DNA。
4 溶解DNA
离心,彻底去除乙醇后,将DNA溶于适量去离子水(<20µl)。
北京现货多聚L-赖氨酸(分子量15万~30万)批发关键词:25988-63-0,多聚L-赖氨酸,分子量15万~30万,多聚赖氨酸溶液(L型)
ARB13666 兔白细胞介素1(IL-1)ELISA代测服务 Rabbit interleukin 1,IL-1ELISA KIT
ARB11587 人基质裂解素(ST3)酶标法分析 Human stromelysin-3,st3 ELISA KIT
ARB11335 human胎盘泌乳素(PL)酶免分析 Human placetal lactogen,pl ELISA KIT
004001 小牛胸腺DNA 50mg|100mg
ARB10661 人血管紧张素Ⅰ(ANGⅠ)ELISA检测服务
ARB11079 人肾上腺皮质抗体(ACA)检测服务 Human adrenal cortex antibody,aca ELISA KIT
ARB12331 大鼠角化细胞内分泌因子(KAF)/双调蛋白(AR)elisa检测 Rat keRatinocyte autocrine factor/amphiregulin,kaf/ar ELISA KIT
ARB13596 兔子免疫球蛋白A(IgA)含量分析 Rabbit immunoglobulin a,IgA ELISA KIT
ARB13805 豚鼠转化生长因子β1(TGF-β1)含量检测 Guinea pig transforming growth factor β1,tgf-β1 ELISA KIT
F040314 马IgG抗原 Horse IgG
ARB14171 小鼠流行性出血热抗体(EHF-Ab)elisa检测操作说明书
F020232 兔抗驴IgG抗体 Rabbit Anti-Donkey IgG
北京百莱博科技有限公司专业生产供应销售生物试剂、化学试剂、抗原抗体、血清血浆、Elisa试剂盒,更多试剂产品需求,欢迎来电咨询选购北京现货多聚L-赖氨酸(分子量15万~30万)批发。
风险提示:丁香通仅作为第三方平台,为商家信息发布提供平台空间。用户咨询产品时请注意保护个人信息及财产安全,合理判断,谨慎选购商品,商家和用户对交易行为负责。对于医疗器械类产品,请先查证核实企业经营资质和医疗器械产品注册证情况。
- 作者
- 内容
- 询问日期
文献和实验多聚赖氨酸(Poly-L-Lysine)的配制、保存、使用总结
,我都是放一夜,第二天吸掉晾干就用,当然要紫外消一下.我觉得时间长点没什么大碍。 我们这里的老师说,多聚赖氨酸不能用紫外线照射。 1.用赖氨酸包被培养板和培养瓶时,应该选用多聚左旋赖氨酸(分子量为15-30万) ; 2.感觉你“浓度为50ng/1ml”有些低,我一般最后多聚赖氨酸使用浓度达到20-30ug/ml; 3.包被时间一般为6-7h,或者过夜也可; 4.使用时应该先用灭菌水洗三次+PBS(起平衡盐作用)洗一次,洗液的量应该大于包被液的量; 5.“多聚赖氨酸可以在培养瓶中放多长
,加入培养板或培养瓶能均匀覆盖底部就可,放置在无菌操作台中过夜。第二天早上用时先用双蒸水冲洗三遍再用。 十八、我的问题是多聚赖氨酸可以在培养瓶中放多长时间,太长了会有影响吗? 答:我曾用过多聚赖氨酸包被培养瓶,但浓度是0.1mg/ml,我都是放一夜,第二天吸掉晾干就用,当然要紫外消一下.我觉得时间长点没什么大碍。 我们这里的老师说,多聚赖氨酸不能用紫外线照射。 1.用赖氨酸包被培养板和培养瓶时,应该选用多聚左旋赖氨酸(分子量为15-30万
。 我们这里的老师说,多聚赖氨酸不能用紫外线照射。 1.用赖氨酸包被培养板和培养瓶时,应该选用多聚左旋赖氨酸(分子量为15-30万) ; 2.感觉你“浓度为50ng/1ml”有些低,我一般最后多聚赖氨酸使用浓度达到20-30ug/ml; 3.包被时间一般为6-7h,或者过夜也可; 4.使用时应该先用灭菌水洗三次+PBS(起平衡盐作用)洗一次,洗液的量应该大于包被液的量; 5.“多聚赖氨酸可以在培养瓶中放多长
技术资料暂无技术资料 索取技术资料










