相关产品推荐更多 >
万千商家帮你免费找货
0 人在求购买到急需产品
- 详细信息
- 技术资料
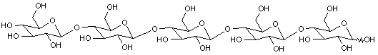
- 英文名:
Cellopentaose
- 供应商:
上海汇谱仪器有限公司
- CAS号:
2240-27-9
| Cat. Number |
210100
|
| Chemical Name |
纤维五糖 Cellopentaose
|
| CAS Number |
2240-27-9
|
| Category |
Oligosaccharides
|
| Mol. Formula |
C30H52O26
|
| Mol. Weight |
828.72
|
| Qty 1 |
5mg
|
| Qty 2 |
10mg
|
| Appearance |
Off-White Solid
|
| Application Notes |
99% Standards for PPC, TLC, HPLC
|
| Synonym |
纤维5糖
D-Cellopentaose (Glc1-b-4)4-D-Glc |
| Storage condition |
+4°C
|
风险提示:丁香通仅作为第三方平台,为商家信息发布提供平台空间。用户咨询产品时请注意保护个人信息及财产安全,合理判断,谨慎选购商品,商家和用户对交易行为负责。对于医疗器械类产品,请先查证核实企业经营资质和医疗器械产品注册证情况。
技术资料暂无技术资料 索取技术资料
纤维五糖 Cellopentaose
询价





