相关产品推荐更多 >
万千商家帮你免费找货
0 人在求购买到急需产品
- 详细信息
- 技术资料
- 英文名:
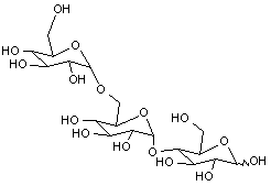
Panose
- 供应商:
上海汇谱仪器有限公司
- CAS号:
33401-87-5
| Cat. Number |
210093
|
| Chemical Name |
潘糖 Panose
|
| CAS Number |
33401-87-5
|
| Category |
Oligosaccharides
|
| Mol. Formula |
C18H32O16
|
| Mol. Weight |
504.44
|
| Qty 1 |
50mg
|
| Qty 2 |
100mg
|
| Appearance |
White crystalline powder
|
| Application Notes |
≥97% Biochemicals
|
| Synonym |
O-α-D-Glucopyranosyl-(1→6)-O-α-D-glucopyranosyl-(1→4)-D-glucopyranose
|
| Storage condition |
RT
|
风险提示:丁香通仅作为第三方平台,为商家信息发布提供平台空间。用户咨询产品时请注意保护个人信息及财产安全,合理判断,谨慎选购商品,商家和用户对交易行为负责。对于医疗器械类产品,请先查证核实企业经营资质和医疗器械产品注册证情况。
技术资料暂无技术资料 索取技术资料
潘糖 Panose
询价






