相关产品推荐更多 >
万千商家帮你免费找货
0 人在求购买到急需产品
- 详细信息
- 技术资料
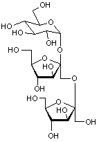
- 英文名:
1-Kestose
- 供应商:
上海汇谱仪器有限公司
- CAS号:
470-69-9
| Chemical Name |
蔗果三糖 1-Kestose
|
| CAS Number |
470-69-9
|
| Category |
Fructooligosaccharides
|
| Mol. Formula |
C18H32O16
|
| Mol. Weight |
504.44
|
| Qty 1 |
25mg
|
| Qty 2 |
50mg
|
| Appearance |
白色或类白色的结晶粉末
|
| Application Notes |
99.0+% (HPLC) 成份分析用
|
| Synonym |
O-beta-D-Fructofuranosyl-(2->1)-beta-D-fructofuranosyl-alpha-D-glucopyranoside
|
| Solubility |
易溶于水,微溶于乙醇和丙酮
|
| Storage condition |
RT
|
| References |
比旋光度 :[α]D20 +28~+32° (c=5, H2O) 低聚果糖标准品 ——蔗果三糖、蔗果四糖、蔗果五糖 |
风险提示:丁香通仅作为第三方平台,为商家信息发布提供平台空间。用户咨询产品时请注意保护个人信息及财产安全,合理判断,谨慎选购商品,商家和用户对交易行为负责。对于医疗器械类产品,请先查证核实企业经营资质和医疗器械产品注册证情况。
技术资料暂无技术资料 索取技术资料






