万千商家帮你免费找货
0 人在求购买到急需产品
- 详细信息
- 技术资料
- 保存条件:
2-8℃
- 保质期:
2年
- 英文名:
Parishin
- 库存:
无限
- 供应商:
瓦兰生物
- CAS号:
62499-28-9
- 规格:
20mg
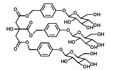
中文名称 派立辛
英文名称 Parishin
别名:巴利森苷
CAS 62499-28-9
分子式 C45H56O25
分子量 996.91
溶解性 甲醇和水
分子量 996.91
溶解性 甲醇和水
性状 白色结晶粉末
【产品编号】BIO-0702
【来源】
【药理性质】
【规格】98%,99% by HPLC
【包装】10mg,20mg,50mg,100mg,1g,100g......或根据客户要求提供相应包装
【包装】10mg,20mg,50mg,100mg,1g,100g......或根据客户要求提供相应包装
【干燥失重】≤0.2%
【贮 存】 密封避光保存,2-8℃。
【用途】本品仅用于实验室科研含量测定。
【检测条件】乙*:0.05磷酸溶液 18:82 230NM (仅供参考)
【注意事项】本品应在低温干燥保存,特殊产品要在氮气下保存,长时间保存不当含量会有所降低。
【有效期】 2年
风险提示:丁香通仅作为第三方平台,为商家信息发布提供平台空间。用户咨询产品时请注意保护个人信息及财产安全,合理判断,谨慎选购商品,商家和用户对交易行为负责。对于医疗器械类产品,请先查证核实企业经营资质和医疗器械产品注册证情况。
技术资料暂无技术资料 索取技术资料
派立辛
¥1300










