相关产品推荐更多 >
万千商家帮你免费找货
0 人在求购买到急需产品
- 详细信息
- 询价记录
- 文献和实验
- 技术资料
- 保质期:
有效期1年
- 英文名:
Ionomycin, Free Base
- 库存:
大量
- 供应商:
翌圣生物科技(上海)股份有限公司
- CAS号:
56092-81-0
- 保存条件:
-20℃避光保存
- 规格:
1mg(10mg/mL)
离子霉素(Ionomycin),一种来源于Streptomyces conglobatus的聚醚类窄谱抗生素,有效作用于G+菌。常用作一种有效的钙离子载体,高度选择性结合钙离子(Ca2+ >Mg2+ >>Sr2+=Ba2+),通过直接刺激钙池调控钙内流(Store- operated calcium entry)跨越生物膜而增强钙离子内流。离子霉素可动员细胞内钙离子存储,提高胞内钙离子水平,常作为一种工具用以钙离子介导的细胞内信号通路研究。
翌圣提供游离酸形式和钙盐形式的离子霉素,本品溶于100 µL乙醇(即浓度是10 mg/mL)。另提供钙盐形式的离子霉素(货号:50401ES03),以粉末形式提供。
产品性质
| 英文别名(English Synonym) |
11,19,21-trihydroxy-4,6,8,12,14,18,20-heptamethyl-22-[(2S,2'R,5S,5'S)-octahydro-5'-[(1R)-1-hydroxyethyl]-2,5'-dimethyl[2,2'-bifuran]-5-yl]-9-oxo-,(4R,6S,8S,10Z,12,14R,16E,18R,19R,20S,21S)-10,16-docosadienoic acid |
| CAS号(CAS NO.) |
56092-81-0 |
| 分子式(Formula) |
C41H72O9 |
| 分子量(Molecular Weight) |
709.0 |
| 外观(Appearance) | 液体(溶于乙醇:10 mg/mL) |
| 纯度(Purity) |
≥95% |
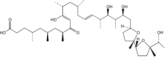
| 结构式(Structure) |
|
运输和保存方法
冰袋运输。-20℃避光保存,有效期1年。
注意事项
1)为了您的安全和健康,请穿实验服并戴一次性手套操作。
2)粉末溶解前请先短暂离心,以保证产品全在管底。
3)本产品仅用于科研用途,禁止用于人身上。
使用方法
第一次使用,可将储存液分装成单次用量,保存在-20℃或者更低温度。
本品是乙醇溶液,若是想用其他溶剂,可在缓速的液氮气体流内简单挥发乙醇,再用预期溶剂重溶即可。 可直接用预热的培养基或者缓冲液稀释到需要的工作液浓度,常用的有效浓度为:1-10 μM。可参考文献或者根据具体的细胞类型,达到的实验目的来进行摸索和优化最适的浓度。
客户使用该产品发表的科研文献(部分)
[1] Zhao M, Duan N, Wang Y, et al. CD5+ B lymphocytes secrete IL-10 rather than TGF-β1 which control the immune response in autoimmune haemolytic anaemia/Evans syndrome[J]. Autoimmunity, 2019, 52(1): 12-20.
[2] Chen R, Ning Y, Zeng G, et al. The miR-193a-5p/NCX2/AKT axis promotes invasion and metastasis of osteosarcoma[J]. Journal of Cancer, 2021, 12(19): 5903.
[3] Xu S, Cheng X, Wu L, et al. Capsaicin induces mitochondrial dysfunction and apoptosis in anaplastic thyroid carcinoma cells via TRPV1-mediated mitochondrial calcium overload[J]. Cellular Signalling, 2020, 75: 109733.
[4] Ma H, Tan Y, Wen D, et al. DC-CTL targeting carbonic anhydrase IX gene combined with iAPA therapy in the treatment of renal cell carcinoma[J]. Human vaccines & immunotherapeutics, 2021, 17(11): 4363-4373.
HB220601
风险提示:丁香通仅作为第三方平台,为商家信息发布提供平台空间。用户咨询产品时请注意保护个人信息及财产安全,合理判断,谨慎选购商品,商家和用户对交易行为负责。对于医疗器械类产品,请先查证核实企业经营资质和医疗器械产品注册证情况。
- 作者
- 内容
- 询问日期
文献和实验[1] Zhao M, Duan N, Wang Y, et al. CD5+ B lymphocytes secrete IL-10 rather than TGF-β1 which control the immune response in autoimmune haemolytic anaemia/Evans syndrome[J]. Autoimmunity, 2019, 52(1): 12-20.
[2] Chen R, Ning Y, Zeng G, et al. The miR-193a-5p/NCX2/AKT axis promotes invasion and metastasis of osteosarcoma[J]. Journal of Cancer, 2021, 12(19): 5903.
[3] Xu S, Cheng X, Wu L, et al. Capsaicin induces mitochondrial dysfunction and apoptosis in anaplastic thyroid carcinoma cells via TRPV1-mediated mitochondrial calcium overload[J]. Cellular Signalling, 2020, 75: 109733.
[4] Ma H, Tan Y, Wen D, et al. DC-CTL targeting carbonic anhydrase IX gene combined with iAPA therapy in the treatment of renal cell carcinoma[J]. Human vaccines & immunotherapeutics, 2021, 17(11): 4363-4373.
相关专题 离子霉素分子式 C41H70O9C,分子量: 747.07。是一种由ATCC产生的链霉菌属的抗生素,实验过程中常被当做钙离子载体 使用穿过各种生物膜,还可用于提高细胞内的Ca离子水平以及诱导神经细胞凋亡。 离子霉素是从美国标准菌库中产生出来的,其钙盐的分子量为746。离子霉素是对钙离子有亲和力的离子载体 ,可以使其从胞外进入细胞溶胶,或者从细胞内的库释放到细胞溶胶内。离子霉素也可结合镁离子等,但其结合作用比钙离子弱。离子霉素
重磅!Science 子刊揭示 T 细胞受体的「秘密生活」及其在免疫反应中的作用
经钙离子载体离子霉素(ionomycin)处理后,TMEM16F 对促进 T 细胞激活有潜在的作用。为了探索 TMEM16F 在调节 T 细胞激活中的分子机制,研究人员检测了在免疫突触形成过程中 TMEM16F 的亚细胞定位,发现 TMEM16F 存在于免疫突触中。研究发现 TMEM16F 是 T 细胞中主要的细胞质膜混杂酶(scramblase), 在细胞质膜表达,并可能在免疫突触的 TCR 信号中发挥作用。图片来源:Science Signaling既往研究表明 TCR 刺激后免疫突触内 ORAI
刚刚去BD网站,发现一个优惠活动,送BD绿色荧光蛋白表达载体,原价是6000千元的,赶快贴在这里,大家赶快去要呀,是个好东东!! Free AcGFP green monomer vector while supplies last! Commemorative Promotion: Ten Years in Fluorescent Proteins Dear Researchers, Over the past ten years, your feedback













