相关产品推荐更多 >
万千商家帮你免费找货
0 人在求购买到急需产品
- 详细信息
- 文献和实验
- 技术资料
- 保存条件:
4°C
- 英文名:
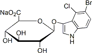
X-GLCU, NA (X-GLCA, NA, 5-BROMO-4-CHLOR 10017
- 库存:
99
- 供应商:
Biotium
- CAS号:
12954-41-9
X-GlcU, Na ( 5-Bromo-4-chloro-3-indolyl-β-D-glucuronide, sodium salt), also known as X-GlcA, Na, is similar to X-GlcU, CHA (<https://biotium.com/product/x-glcu-cha-also-called-bcig-or-5-bromo-4-chloro-3-indolyl-b-dglucuronidecyclohexylammonium-salt/”>10016), but has better water solubility.
- White solid soluble in water or DMSO
- Store desiccated at 4°C and protect from light
- C14H12BrClNNaO7
- MW: 444.6
- [12954-41-9]
风险提示:丁香通仅作为第三方平台,为商家信息发布提供平台空间。用户咨询产品时请注意保护个人信息及财产安全,合理判断,谨慎选购商品,商家和用户对交易行为负责。对于医疗器械类产品,请先查证核实企业经营资质和医疗器械产品注册证情况。
文献和实验Clonality - X Chromosome Inactivation Assay
can utilize X chromosome inactivation (methylation) to determine the clonality status of a tumor or premalignant lesion in females. The technique is based on a methylation-sensitive restriction enzyme and analysis of a polymorphic locus on the X chromosome
Notes on Making Rat x Y3 Monoclonal Antibody Producing Hybridomas
throughout the procedure. d) Plate the entire fusion out in just 120 x 1ml cultures in 6 x 'Linbro' 24 well plates, using DMEM + 20% FCS (containing penniclin + streptomicin, Na pyruvate and glutamine). e) DO NOT use Isoves medium (IMDM) as this will encourage
Clonality - X Chromosome Inactivation Assay
Clonality - X Chromosome Inactivation Assay This method was successful in our lab using prostate tissue and for our specific objectives. Investigators must be aware that they will need to tailor the following protocol for their own research












