相关产品推荐更多 >
万千商家帮你免费找货
0 人在求购买到急需产品
- 详细信息
- 文献和实验
- 技术资料
- 库存:
现货
- 保质期:
一年
- 供应商:
上海经科化学科技有限公司
- 保存条件:
-20℃
- 规格:
1g
产品简介
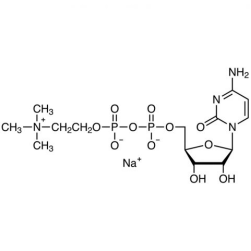
科研用生化试剂。被用作CDP(核苷二磷酸)激酶(2.7.4.6)的底物,以产生CTP来支持DNA和RNA的生物合成以及核糖核苷酸还原酶生成产物dCMP。
别名:胆碱胞嘧啶核甙二磷酸酯单钠盐;胆碱胞嘧啶核苷二磷酸酯单钠盐;胞二磷胆碱钠;胞啶二磷胆碱钠;
英文名称:Citicoline sodium
CAS:33818-15-4
分子式:C14H25N4NaO11P2
分子量:510.31
外观(性状):白色结晶或结晶性粉末
纯度:≥98%
溶解性:100mg/mL溶于水

有效期
-20℃,密封保存1年
注意事项
1. 本产品仅限于专业人员的科学研究用,不得用于临床诊断或治疗,不得用于食品或药品。
2. 为了您的安全和健康,请穿实验服并戴一次性手套操作。
风险提示:丁香通仅作为第三方平台,为商家信息发布提供平台空间。用户咨询产品时请注意保护个人信息及财产安全,合理判断,谨慎选购商品,商家和用户对交易行为负责。对于医疗器械类产品,请先查证核实企业经营资质和医疗器械产品注册证情况。
文献和实验该产品被引用文献
棕色小玻璃瓶,标准包装10mg,20mg,50mg,100mg,或根据客户要求提供相应包装
技术资料文献支持
胞磷胆碱钠 Citicoline sodium
¥65










